Class 12 Exam  >  Class 12 Notes  >  Atoms - Chapter Notes, Class 12, Physics

Atoms - Chapter Notes, Class 12, Physics PDF Download

4Atomic model

A model is simply a set of hypothesis based on logical & scientific facts.

Theory : When any model satisfies majority of scientific queries by experimental verification then it is termed as theory otherwise, model is simply not accepted.

In Nutshell we can say that every theory is a model but every model is not a theory. So, after more & more clarity about the substances, various new models like Dalton, Thomseon, Rutherford, Bohr etc came into the pictures.

4.1 Dalton's atomic model :

(i) Every element is made up of tiny indivisible particles called atoms.

(ii) Atoms of same element are identical both in physical & chemical properties while atoms of different elements are different in their properties.

(iii) All elements are made up of hydrogen atom. The mass of heaviest atom is about 250 times the mass of hydrogen atom while radius of heaviest atom is about 10 times the radius of hydrogen atom.

(iv) Atom is stable & electrically neutral.

Reason of Failure of model :

After the discovery of electron by U. Thomson (1897), it was established that atom can also be divide. Hence the model was not accepted.

4.2 Thomson's atomic model (or Plum-pudding model)

(i) Atom is a positively charged solid sphere of radius of the order of 10-10 m in which electrons are embedded as seeds in a watermelon

(ii) Total charge in a atom is zero & so, atom is electrically neutral.

Achievements of model :

Explained successfully the phenomenon of thermionic emission, photoelectric emission & ionization

4.3 Type of line spectrum

(a) Emission line spectrum :

When an atomic gas or vapour at a pressure less than the atmospheric pressure is excited by passing electric discharge, the emitted radiation has spectrum which contains certain specific bright lines only. These emission lines constitute emission spectrum. These are obtained when electron jumps from excited states to lower states. The wavelength of emission lines of different elements are different. For one element the emission spectrum is unique. It is used for the determination of composition of an unknwon substance.

(b) Absorption line spectrum :

When white light is passed through a gas, the gas is found to absorb light of certain wavelength, the bright background on the photographic plate is then crossed by dark lines that corresponds to those wavelengths which are absorbed by the gas atoms.

The absorption spectrum consists of dark lines on bright background. These are obtained due to absorption of certain wavelengths, resulting into transition of atom from lower energy states to higher energy states. (The emission spectrum consists of bright lines on dark background.)

Failure of the model :

(i) It could not explain the line spectrum of H-atom

(ii) It could not explain the Rutherford's a - particle scattering experiment

4.4 Ruthorford's Atomic Model

In 1911, Earnest Ruthorford performed a critical experiment that showed that Thomson's model could not be correct. In this experiment a beam of positively charged alpha particles (helium nuclei) was projected into a thin gold foil. It is observed that most of the alpha particles passed through the foil as if it were empty space. But some surprising results are also seen. Several alpha particles are deflected from their original direction by large angles. Few alpha particles are observed to be reflected back, reversing their direction of travel as shown in figure-l.2.

If Thomson model is assumed true that the positive charge is spreaded uniformly in the volume of an atom then the alpha particle can never experience such a large repulsion due to which it will be deflected by such large angles as observed in the experiment. On the basis of this experiment Ruthorford presented a new atomic model.

In this new atomic model it was assumed that the positive charge in the atom was concentrated in a region that was small relative to the size of atom. He called this concentration of positive charge, the nucleus of the atom. Electrons belonging to the atom were assumed to be moving in the large volume of atom outside the nucleus. To explain why these electrons were not pulled into the nucleus, Ruthorford said that electrons revolve around the "nucleus in orbits around the positively charged nucleus in the same manner as the planets orbit the sun. The corresponding atomic model can be approximately shown in figure.

Reason of Failure of model :

1. It could not explain the line spectrum of H-atom.

Justification : According to Maxwell's electromagnetic theory every accelerated moving charged particle radiates energy in the form of electromagnetic waves & therefore duringh revolution of e- in circular orbit its frequency will contanously vary (i.e. decrease) which will result in the conitnuous emission of lines & therefore spectrum of atom must be continuous but in reality, one obtains line spectrum for atoms.

2. It could not explain the stablity of atoms.

Justification : Since revolving electron will continuously radiates energy & therfore radii of circular path will continuously decrease & in a time of about 10-8sec revolving electron must fall down in a nucleus by adopting a spiral path

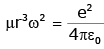
Determination of distance of closest approach :

When a positively charged particle approaches towards stationary nucleus then due to repulsion between the two, the kinetic energy of positively charged particle gradually decreases and a stage comes when its kinetic energy becomes zero & from where it again starts retracting its original path.

Definition The distance of closest approach is the minimum distance of a stationary nucleus with a positively charged particle making head on collision from a point where its kinetic energy becomes zero. Suppose a positively charged particle A of charge q1 = (=z1e) approaches from in finity towards a stationary nucleus of charge z2e then,

Suppose a positively charged particle A of charge q1 (= z1 e) approaches from in finity towards a stationry nucleus of charge z2e then,

Let at point B, kinetic energy of particle A becomes zero then by the law of conservation of energy at point A & B,

TEA = TEB

KEA + PEA = KEB + PEB

E + 0 = 0 + (in joule) Therefore, 

Ex.15 An a-particle whith kinetic energy 10 MeV is heading towards a stationary point-nucleus of atomic number 50. Calculate the distance of closest approach.

Sol. Therefore, TEA = TEB

Therefore, 10 × 106 e = 

r0 = 1.44 × 10-14 m

r0 = 1.44 × 10-4 A

Ex.16 A beam of a - particles of velocity 2.1 × 107 m/s is scattered by a gold (z = 79) foil. Find out the distance of closest approach of the a- particle to the gold nucleus. The value of charge/mass for α - particle is 4.8 × 107 c/kg.

Sol. 

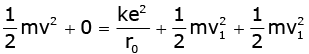
Ex.17 A proton moves with a speed of 7.45 × 105 m/s directing towards a free proton originally at rest. Find the distance of closest approach for the two protons.

Sol. → v = 7.45 × 105 m/s u = 0

By the law of cons. of energy  ...(1)

By the cons. of momentum mv + 0 = mv1 + mv1

Therefore,

∴ v =  ∴ v/2

From equation (1) 

5 Bohr's Model of an Atom

Between 1913 and 1915 Niels Bohr developed a quantitative atomic model to the Hydrogen atom that could account for its spectrum. The model incorporated the nuclear model of the atom proposed by Rutherford on the basis of his experiments. We shall see that this model was successful in its ability to predict the gross features of the spectrum emitted by Hydrogen atom. This model was developed specifically for Hydrogenic atoms. Hydrogenic atoms are those which consist of a nucleus with positive charge + Ze (Z = atomic number, e = charge of electron) and a single electron. More complex electron-electron interactions in an atom are not accounted in the Bohr's Model that's why it was valid only for one electron system or hydrogenic atoms.

The Bohr model is appropriate for one electron systems like H, He+, Li+2 etc. and it was successful upto some extent in explaining the features of the spectrum emitted by such hydrogenic atoms. However this model is not giving a true picture of even these simple atoms. The true picture is fully a quantum mechanical affair which is different from Bohr model in several fundamental ways. Since Bohr model incorporates aspects of some classical and some modern physics, it is now called semiclassical model Bohr has explained his atomic model in three steps called postulates of Bohr's atomic model. Lets discuss one by one.

5.1 First Postulate

In this postulate Bohr incorporate and analyses features of the Rutherford nuclear model of atom. In this postulate it was taken that as the mass of nucleus is so much greater then the mass of electron, nucleus was assumed to be at rest and electron revolves around the nucleus in an orbit. The orbit of electron is assumed to be circular for simplicity. Now the statement of first postulate is "During revolution of electron around the nucleus in circular orbit, the electric coulombian force on electron is balanced by the centrifugal force acting on it in the rotating frame of reference." c

If electron revolves with speed v in the orbit of radius r. Then relative to rotating frame attached with electron, the centrifugal force acting on it is

 ...(1)

The coulombian force acting on electron due to charge of nucleus (+Ze) is

 ...(2)

Now according to first postulate from equation (1) & (2) we have

or   ...(3)

 

Equation (3) is called equation of Bohr's first postulate.

5.2 Second Postulate

In the study of atom, Bohr found that while revolving around the nucleus the orbital angular momentum of the electron was restricted to only certain values, we say that the orbital angular momentum of the electron is quantized. He therefore took this as a second postulate of the model. The statement of second Postulate is, Bohr proposed that -"During revolution around the nucleus, the orbital angular momentum of electron L could not have just any value, it can take up only those values which are integral multiples of Plank's Constant divided by 2π i.e. h/2π"

Thus the angular momentum of electron can be written as

L =  ...(1)

Where n is a positive integer, known as quantum number. In an orbit of radius r if an electron (mass m) revolves at speed v, then its angular momentum can be given as

L = mvr ...(2)

Now from equation (1) and (2), we have for a revolving electron

mvr =  ...(3)

Equation (3) is known as equation of second postulate of Bohr model. Here the quantity  occurs so frequently in modern physics that, for convenience, it is given its own designation h, pronounced as "h-bar."

h =  1.055 × 10-34 J-s ...(4)

5.3 Third Postulate

While revolution of an electron in an orbit its total energy is taken as sum of its kinetic and electric potential energy due to the interaction with nucleus. Potential energy of electron revolving in an orbit of radius r can be simply given as

U =  ...(1)

For kinetic energy of electron, we assume that relativistic speeds are not involved so we can use the classical expression for kinetic energy. Thus kinetic energy of electron in an orbit revolving at speed v can be given as

K = ...(2)

Thus total energy of electron can be given as

E = K + U = 

Here we can see that while revolving in a stable orbit, the energy of electron remains constant. From the purely classical viewpoint, during circular motion, as electron is accelerated, it should steadily loose energy by emitting electromagnetic radiations and it spiraled down into the nucleus and collapse the atom.

Bohr in his third postulate stated that "While revolving around the nucleus in an orbit, it is in stable state, it does not emit any energy radiation during revolution. It emits energy radiation only when it makes a transition from higher energy level (upper orbit) to a lower energy level (lower orbit) and the energy of emitted radiation is equal to the difference in energies of electron in the two corresponding orbits in transition. " If an electron makes a transition form a higher orbit n2 to a lower orbit n1 as shown in figure. Then the electron radiates a single photon of energy

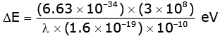
Here  and  are the total energies of electron in the two orbits n2 and n1. The emitted photon energy can be expressed as hn where n is the frequency of radiated energy photon. If A be the wavelength of photon emitted then the energy of emitted photon can also be given as

ΔE = hv = =  ...(1)

Similarly when energy is supplied to the atom by an external source then the electron will make a transition from lower energy level to a higher energy level. This process is called excitation of electron from lower to higher energy level. In this process the way in which energy is supplied to the electron is very important because the behaviour of the electron in the excitation depends only on the process by which energy as supplied from an external source. This we'll discuss in detail in later part of this chapter.

First we'll study the basic properties of an electron revolving around the nucleus of hydrogenic atoms.

5.4 Properties of Electron in Bohr's Atomic Model

Now we'll discuss the basic properties of an electron revolving in stable orbits, we call Bohr energy level. We have discussed that there are some particular orbits in which electron can revolve around the nucleus for which first and second postulates of Bohr model was satisfied. Thus only those orbits are stable for which the quantum number n = 1, 2, 3, ............ Now for nth orbit if we assume its radius is denoted by rn and electron is revolving in this orbit with speed vn. We can represent all the physical parameters associated with the electron in nth orbit by using a subscript n with the symbol of the physical parameters like rn, vn etc.

(a) Radius of nth Orbit in Bohr Model

Radius of electron in nth Bohr's orbit can be calculated using the first two postulates of the Bohr's model, using previous equations, we get

v

Substituting this value of vn in equation mvr = , we get

r

or  r​= 

or  r​= 

1.5.2 Velocity of Electron in nth Bohr's Orbit

By substituting the value of rn we can calculate the value of vn as

v=

or v

or v= 2.18 X106  X ∴ Z/n m /s

(b) Time period of Electron in nth Bohr's Orbit

Time period of electron of nth orbit is given by

(c) Current in nth Bohr's Orbit

Electrons revolve around the nucleus in the nth Bohr's Orbit then due to revolvution there is current in the orbit and according to the definition of current, the current in the nth orbit will be total coulombs passing through a point in one seconds, and in an orbit an electron passes through a point fn times in one second so the current in the nth orbit will be

In = fn × e

or In = 

(d) Energy of Electron in nth Orbit

We've discussed that in nth orbit during revolution the total energy of electron can be given as sum of kinetic and potential energy of the electron as

En = Kn + Un

Kinetic energy of electron in nth orbit can be given as

K

From equation of first postulate of Bohr Model we have for nth orbit

From equation

the potential energy of electron in nth orbit is given as

U

Thus total energy of ein nth orbit can given as

En = Kn + UR = 

CBSE, Class 12, IIT JEE, Syllabus, Preparation, AIPMT, NCERT, Important, Modern Physics,Question and Answer (Q & A) Here we can see that  which is a very useful relation, always followed by a particle revolving under the action of a force obeying inverse square law.

Now substituting the value of rn we get

En =

or 

or En

Substituting the value of constants in above equation we get

or En =

The above equation can be used to find out energies of electron in different energy level of different hydrogen atoms.

(e) Energies of Different Energy Level in Hydrogenic Atoms

By the use of above equation we can find out the energies of different energy levels. Students should remember these energies for first six level as

E1 = -13.6 Z2 eV

E2 = -3.40 Z2 eV

E3 = -1.51 Z2 eV

E4 = -0.85 Z2 eV

E= -0.54 Z2 ev

E6 = -0.36 Z2 eV

The above equations clearly shows that as the value of n increase, the difference between two consecutive energy levels decreases. It can be shown with the the help of figure, which shows the energy level diagram for a hydrogen atom.

Now if we multiply the numerator and denominator of above equation by ch we get

or En = - Rch × CBSE, Class 12, IIT JEE, Syllabus, Preparation, AIPMT, NCERT, Important, Modern Physics,Question and Answer (Q & A)

Where R = is defined as Rydberg Constant and the value of it is given as R = 10967800 m-1, which can be taken approximately as 107 m-1. For n = 1 and Z = 1 the energy is given as

E = -Rch joules and is called as One Rydberg Energy

1 Rydberg = 13.6 eV = 2.17 × 10-18 joules

Lets discuss some examples on Bohr's atomic model to understand it better.

Ex.18 What is the angular mometum of an electron in Bohr's Hydrogen atom whose energy is -3.4 eV ?

Sol. Energy of electron in nth Bohr orbit of hydrogen atom is given by,

E = 

Hence, -3.4 = 

or n2 = 4

or n = 2

The angular momentum of an electron in nth orbit is given as L= . Putting n = 2, we obtain

Thus, T is directly proportional to  or 

As T1 = 8T2, the above relation gives

 = 8 or n1 = 2n2

Thus the possible values of n1 and n2 are

n1 = 2, n2 = 1 ; n1= 4, n2 = 2; n1 = 6, n2 = 3 and so on .........

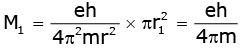
Ex.19 An electron in the ground state of hydrogen atom is revolving in anti-clockwise direction in the circular orbit of radius R as shown in figure

(i) Obtain an expression for the orbital magnetic dipole moment of the electron.

(ii) The atom is placed in a uniform magnetic induction B such that the plane normal of the electron orbit makes an anlge 30° with the magnetic induction. Find the torque experienced by the orbiting electron.

Sol. (i) According to Bohr's second postulate

 (As for n = 1 first only)

or CBSE, Class 12, IIT JEE, Syllabus, Preparation, AIPMT, NCERT, Important, Modern Physics,Question and Answer (Q & A)

We know that the rate of flow of charge is current. Hence current in first orbit is

Now from each equation 

Magnetic dipole moment, M1 = i × A1

or 

(ii) Torque on the orbiting electron in uniform magnetic field is

or t = MB sin 30°

or 

6. Excitation and Ionization of an Atom

According to third postulate of Bohr model we've discussed when some energy is given to an electron of atom from an external source it may make a transition to the upper energy level. This phenomenon we call excitation of electron or atom and the upper energy level to which the electron is excited is called excited state. To excite an electron to a higher state energy can be supplied to it ijn two ways. Here we'll discuss only the energy supply by an electromagnetic photon. Other method of energy supply we'll discuss later in this chapter.

According to Plank's quantum theory photon is defined as a packet of electromagnetic energy, which when absorbed by a physical particle, its complete electromagnetic energy is converted into the mechanical energy of particle or the particle utilizes the energy of photon in the form of increment in its mechanical energy. When a photon is supplied to an atom and an electron absorbs this photon, then the electron gets excited to a higher energy level only if the photon energy is equal to the difference in energies of the two energy levels involved in the transition.

For example say in hydrogen atom an electron is in ground state (energy E1 = -13.6 eV). Now it absorbs a photon and makes a transition to n = 3 state (Energy E3 = -1.51 eV) then the energy of incident photon must be equal to

CBSE, Class 12, IIT JEE, Syllabus, Preparation, AIPMT, NCERT, Important, Modern Physics,Question and Answer (Q & A) = (-1.51) - (13.6) eV = 12.09 eV

Now we'll see what will happen when a photon of energy equal to 11 eV incident on this atom. From the above calculation of energy differences of different energy levels we can say that if the electron in ground state absorbs this photon it will jump to a state some where between energy level n = 2 and n = 3 as shown in figure. When electron in ground state absorbs a photon of 11 eV energy, its total energy becomes

E = E1 + 11 = -13.6 + 11eV = -2.6 eV

As discussed in previous sections, in an atom electron can not take up all energies. It can exist only in some particular energy levels which have energy given as - 13.6/n2eV.

When a photon of energy 11 eV is absorbed by an electron in ground state. The energy of electron becomes -2.6 eV of it will excite to a hypothetical energy level X some where between n = 2 and n = 3 as shown in figure, which is not permissible for an electron. Thus when in ground state electron can absorb only those photons which have energies equal to the difference in energies of the stable energy level with ground state. If a photon beam incident on H-atoms having photon energy not equal to the difference of energy levels of H-atoms such as 11 eV, the beam will just be transmitted without any absorption by the H-atoms.

Thus to excite an electron from lower energy level to higher levels by photons, it is necessary that the photon must be of energy equal to the difference in energies of the two energy levels involved in the transition.

As we know that for higher energy levels, energy of electrons is less. When an electron is moved away from the nucleus to ¥th energy level or at n = ¥, the energy becomes (zero) or the electron becomes free from the attraction of nucleus or it is removed from the atom. In fact when an electron is in an atom, its total energy is negative . This negative sign shows that electron in under the influence of attractive forces of nucleus. When energy equal in magnitude to the total energy of an electron in a particular energy level is given externally, its total energy becomes zero or we can say that electron gets excited to ¥th energy level or the electron is removed from the atom and atom is said to be ionized.

We know that removal of electron from an atom is called ionization. In other words, ionization is the excitation of an electron to n = ¥ level. The energy required to ionize an atom is called ionization energy of atom for the particular energy level from which the electron is removed. In hydrogen atoms, the ionization energy for nth state can be given as

or 

or 

When an electron absorbs a monochromatic radiation from an external energy source then it makes a transition from a lower energy level to a higher level. But this state of the electron is not a stable one. Electron can remain in this excited state for a very small internal at most of the order of 10-1 second. The time period for which this excited state of the electron exists is called the life time of the excited state. After the life time of the excited state the electron must radiate energy and it will jump to the ground state.

Let us assume that the electron is initially in n2 state and it will jump to a lower state n1 then it will emit a photon of energy equal to the energy difference of the two states n1 and n2 as

When DE is the energy of the emitted photon. Now substituting the values of and in above equation, we get

or 

or 

Here 13.6 Z2 can be used as ionization energy for n = 1 state for a hydrogenic atom thus the energy of emitted photon can also be written as

Equation can also be used to find the energy of emitted radiation when an electron jumos from a higher orbit n2 to a lower orbit n1. If l be the wavelength of the emitted radiation then

This energy can be converted to eV by dividing this energy by the electronic charge e, as if wavelength is given in A, the energy in eV can be given as

Substituting the values of h, c and e we get

 ...(a)

Here in above equation, lambda is in Å units

This equation is the most important in numerical calculations, as it will be very frequency used. From equation we have

or 

(As Rydberg Constant R = 13.6/hc eV)

Here CBSE, Class 12, IIT JEE, Syllabus, Preparation, AIPMT, NCERT, Important, Modern Physics,Question and Answer (Q & A) is called wave number of the emitted radiation and is defined as number of waves per unit length and the above relation is used to find the wavelength of emitted radiation when an electron makes a transition from higher level n2 to lower level n1 is called Rydberg formula. But students are advised to use equation (a) is numerical calculations to find the wavelength of emitted radiation using the energy difference in electron volt. If can be rearranged as

CBSE, Class 12, IIT JEE, Syllabus, Preparation, AIPMT, NCERT, Important, Modern Physics,Question and Answer (Q & A) No. of emission spectral lines : If the electron is excited to state with principal quantum number n then from the nth state, the electron may go to (n - 1)th state, ............, 2nd state or 1st state. So there are (n - 1) possible transitions starting from the nth state. The electron reaching (n - 1)th state may make (n - 2) different transitions. Similarly for other lower states. The total no. of possible transitions is (n - 1) + (n - 2) + (n - 3) + ..............2 + 1= 

CBSE, Class 12, IIT JEE, Syllabus, Preparation, AIPMT, NCERT, Important, Modern Physics,Question and Answer (Q & A) No. of absorption spectral lines : Since at ordinary temperatures, almost all the atoms remain in their lowest energy level (n = 1) & so absorption transition can start only from n = 1 level (not from n = 2, 3, 4, ..... levels). Hence, only Lyman seires is found in the absorption spectrum of hydrogen atom (which as in the emission spectrum, all the series are found No. of absorption spectral lines = (n - 1)

7. Spectral Series of Hydrogen Atom :

The wavelength of the lines of every spectral series can be calculated using the formula given by equation (a).

Five special series are observed in the Hydrogen Spectrum corresponding to the five energy levels of the Hydrogen atom and these five series are named as on the names of their inventors. These series are

(1) Lyman Series

(2) Balmer Series

(3) Paschen Series

(4) Brackett Series

(5) Pfund Series

These spectral series are shown in figure-1.11.

(1) Lyman Series : The series consists of wavelength of the radiations which are emitted when electron jumps from a higher energy level to n = 1 orbit. The wavelength constituting this series lie in the Ultra Violet region of the electromagnetic spectrum.

For Lyman Series n1 = 1

and n2 = 2, 3, 4, .........

First line of Lyman series is the line corresponding to the trnasition n2 = 2 to n1 = 1, similarly second line of the Lyman series is the line corresponding to the transition n2 = 3 to n1 = 1.

(2) Balmer Series : The series consists of wavelengths of the radiations which are emitted when electron jumps from a higher energy level to n = 2 orbit. The wavelengths consisting this series lie in the visible region of the electromagnetic spectrum.

(3) Paschen Series : The series consists of wavelengths of the radiations which are emitted when electron jumps from a higher energy level to n = 3 orbit. The wavelengths constituting this series lie in the Near Infra Red region of the electromagnetic spectrum.

(4) Brackett Series : The series consists of wavelengths of the radiations which are emitted when electron jumps from a higher energy level to n = 4 orbit. The wavelengths constituting this series lie in the Infra Red region of the electromagnetic spectrum.

(5) Pfund Series : The series consists of wavelengths of the radiations which are emitted when electron jumps from a higher energy level to n = 5 orbit. The wavelengths constituting this series lie in the Deep Infra Red region of the electromagnetic spectrum.

We can find out the wavelengths corresponding to the first line and the last line for remaining four spectral series as mentioned in the case of Lyman Series.

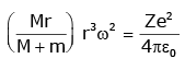
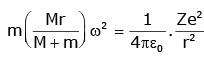
8. Application of nucleus motion on energy of atom

Let both the nucleus of mass M, charge Ze and electron of mass m, and charge e revolve about their centre of mass (CM) with same angular velocity (w) but different linear speeds. Let r1 and r2 be the distance of CM from nucleus and electron. Their angular velocity should be same then only their separation will remain unchanged in an energy level.

Let r be the distance between the nucleus and the electron. Then

Mr1 = mr2

r1 + r2 = r

Therefore,

Centripetal force to the electron is provided by the electrostatic force. So,

or 

or 

or 

where 

Moment of inertia of atom about CM,

According to Bohr's theory, 

Solving above euqations for r, we get

 and r = (0.529 A) 

Further electrical potential energy of the system.

  

and kinetic energy.  

v-speed of electron with respect to nucleus. (v = r w)

here 

Therefore,  = 

Therefore, Total energy of the system En = K + U

this expression can also be written as

The expression for En without considering the motion of proton is , i.e., m is replaced by m while considering the motion of nucleus.

 

IMPORTANT FORMULA

(1) Time period (T) : distance = time x speed

2πr = T × v

T = 

(2) Frequency of revolution

(3) Momentum of electron

(4) Angular velocity of electron 

(5) Current (1)

(6) Magnetic moment of electron (M)

M = i A


M = n   = Bohr magneton = 9.3 × 10-24 Amp. m2.
M ∝ n

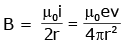
(7) Magnetic field of Magnetic induction at the centre   

 

9. ATOMIC COLLISION
In such collisions assume that the loss in the kinetic energy of system is possible only if it can excite or ionise.

Ex.20

What will be the type of collision, if K = 14 eV, 20.4 eV, 22 eV, 24.18 eV (elastic/inelastic/perectly inelastic)

Sol. Loss in energy (ΔE) during the collision will be used to excite the atom or electron from one level to another.
According to quantum Mechanics, for hydrogen atom. ΔE = {0, 10.2 eV, 12.09 eV, .........., 13.6 eV}

According to Newtonion mechanics minimum loss = 0, (elastic collision) for maximum loss collision will be perfectly inelastic if neutron collides perfectly inelastically then,  Applying momentum conservation

final 

maximum loss

According to classical mechanics (ΔE) =[0, ]

 

(a) If K = 14 eV, According to quantum mechanics

(ΔE) = {0, 10, 2eV,   12.09 eV}

According to classical mechanics ΔE = [0, 7 eV]

loss = 0,

hence it is elastic collision speed of particle changes
 

(b) If K = 20.4 ev According to classical mechanics loss = [0, 10.2 eV]

According to quantum mechanics

loss = {0, 10.2 eV,  12.09 eV,...........}

loss = 0 elastic collision.

loss = 10.2 eVperfectly inelastic collision
 

(c) If K = 22 eV Classical mechanics ΔE = [0, 1]

Quantum mechanics ΔE = {0, 10.2 eV,  12.09 eV,.......}

loss = 0 elastic collision

loss = 10.2 e

Vinelastic collision

(d) If K = 24.18 eV According to classical mechanics ΔE = [0, 12.09 eV]

According to quantum mechanics ΔE = {0, 10.2 eV, 12.09 eV, .............13.6 eV}

loss = 0 elastic collision

loss = 10.2 eV inelastic collision

loss = 12.09 eV perfectly inelastic collision

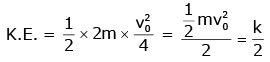
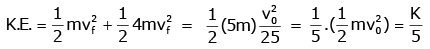
Ex.21 A He+ ion is at rest and is in ground state. A neutron with initial kinetic energy K collides head on with the He+ ion. Find minimum value of K so that there can be an inelastic collision between these two particle.

Sol. Here the loss during the collision can only be used to excite the atoms or electrons.
So according to quantum mechanics

loss = {0, 40.8eV,  48.3eV, ........., 54.4 eV} ...(1)

Now according to newtonion mechanics Minimum loss = 0 maximum loss will be for perfectly inelastic collision. let v0 be the initial speed of neutron and vf be the final common speed. 

so by momentum conservation mv0 = mvf + 4mvf

where m = mass of Neutron

∴ mass of He+ ion = 4m so final kinetic energy of system

maximum loss =

so loss will be

For inelastic collision there should be at least one common value other than zero is set (1) and (2)
 > 40.8 eV

K > 51 eV

minimum value of K = 51 eV

 

Ex.22 How many different wavelengths may be observed in the spectrum from a hydrogen sample if the atoms are excited to states with principal quantum number n ?

Sol. From the nth state, the atom may go to (n – 1)th state, ..........2nd state or 1st state. So there are (n – 1) possible transitions starting from the nth state. The atoms reaching (n – 1)th state may make (n – 2) different transitions. Similarly for other lower states. The total number of possible transitions is (n – 1) + (n – 2) + (n – 3) + ................ 2 + 1 

(Remember)

  • Calculation of recoil speed of atom on emission of a photon
    momentum of photon = mc = 

 

m - mass of atom According to momentum conservation
mv =  ...(i)

According to energy conservation

Since mass of atom is very large than photon

hence    can be neglected

recoil speed of atom = 

10. X-RAYS
It was discovered by ROENTGEN. The wavelenth of x-rays of found between 0.1 Å to 10 Å. These rays are invisble to eye. They are electromagnetic waves and have speed c = 3 × 108 m/s in vacuum. Its photons have energy around 1000 times move than the visible light.

When fast moving electrons having energy of order of several KeV strike the metallic target then x-rays are produced.

10.1 Produced of x-rays by coolidge tube : The melting point, specific heat capacity and atomic number of target should be high. When voltage is applied across the filament then filament on being heated emits electrons from it. Now  for giving the beam shape of electrons, collimator is used. Now when electron strikes the target then x-rays are produced. When electrons strike with the target, some part of energy is lost and converted into heat. Since target should not melt or it can absorbe heat so that the melting point, specific heat of target should be high.
Here copper rod is attached so that heat produced can go behind and it can absorb heat and target does not get heated very high.

Form one energetic electron, accelerating volage is increased.
Form one no. of photons voltage across filam entis increased.
The x-ray were analysed by mostly taking their spectrum

10.2 Variation of Intensity of x-rays with l is plotted as shown in figure.

1. The minimum wavelength corresponds to the maximum energy of the x-rays which in turn is equal to the maximum kinetic energy eV of the striking electrons thus

We see that cutoff wavelength λmin depends only on accelerating voltage applied between target and filament. It does not depend upon material of target, it is same for two different metals (Z and Z').

2. Charactristic X-rays The sharp peaks obtained in graph are known as characteristic x-rays because they are characteristic of target mateial λ1, λ2, λ3, λ4, ................. = charecteristic wavelength of material having atomic number Z are called characteristic x-rays and the spectrum obtained is called characteristic spectrum. If target of atomic number Z' is used then peaks are shifted.

Characteristic x-rays emission occurs when an energetic electron collides with target and remove an inner shell electron from atom, the vacancy created in the shell is filled when an electron from higher level drops into it. Suppose  vacancy created in innermost K-shell is filled by an electron droping from next higher level L-shell then Kα characteristic x-ray is obtained. If vaccany in K-shell is filled by an electron from M-shell, Kβ line is produced and so on similarly Lα, Lβ,................. Mα, Mβ lines are produced.

Ex.23 Find which is Ka and Kb
Sol. 

since energy difference of Kα is less than Kβ

ΔE < ΔK

1 is Kβ and 2 is Kα

Ex.24 Find which is Kα and Lα

Sol. ∴ ΔEKα > ΔELα

1 is Kαand 2 is Lα

11. MOSELEY'S LAW :

Moseley meaured the frequencies of characteristic x-rays for a large number of elements and plotted the square root of frequency against position number in periodic table. He discovered that plot is very closed to a straight line not passing through origin.

Moseley's observations can be mathematically expressed as

a and b are positive constrants for one type of x-rays & for all elements (indepedent of Z).

Moseley's Law can be derived on the basis of Bohr's theory of atom, frequency of x-rays is given by

by using the formula  

with modification for multi electron system. b →  known as screening constant or shielding effect, and (Z – b) is effective nuclear charge. for
K  line n1 = 1, n2  = 2

Here [b = 1 for Kα lines]

Ex.23 

Find in Z1 and Z2 which one is greater.

Sol.  . (Z – b)

If Z is greater then v will be greater, l will be less
∴ λ1 < λ2
∴ Z1 > Z2

The document Atoms - Chapter Notes, Class 12, Physics is a part of Class 12 category.
All you need of Class 12 at this link: Class 12

FAQs on Atoms - Chapter Notes, Class 12, Physics

1. What is the atomic structure?
Ans. The atomic structure refers to the arrangement of protons, neutrons, and electrons within an atom. At the center of the atom is the nucleus, which contains protons (positively charged particles) and neutrons (neutral particles). Orbiting around the nucleus are electrons (negatively charged particles). The atomic structure determines the properties and behavior of different elements.
2. How are atoms classified based on their atomic structure?
Ans. Atoms can be classified into different elements based on their atomic structure. Elements are substances that consist of only one type of atom. The number of protons in the nucleus of an atom determines its atomic number, which in turn identifies the element. For example, hydrogen atoms have one proton, carbon atoms have six protons, and oxygen atoms have eight protons.
3. What is the significance of electrons in the atomic structure?
Ans. Electrons play a crucial role in the atomic structure. They are negatively charged particles that orbit around the nucleus in specific energy levels or shells. The arrangement of electrons determines the chemical properties of an element. The outermost shell of electrons, known as the valence shell, is particularly important as it determines how atoms interact and form chemical bonds with other atoms.
4. How does the atomic structure explain the periodic table?
Ans. The atomic structure provides a basis for understanding the periodic table. The periodic table is a tabular arrangement of elements based on their atomic numbers and recurring chemical properties. Elements with similar atomic structures and properties are grouped together in the same column or group. The number of electrons in the valence shell determines an element's position in the periodic table and its reactivity.
5. Can the atomic structure of an atom change?
Ans. Yes, the atomic structure of an atom can change through various processes. These processes include nuclear reactions, such as radioactive decay or nuclear fusion, where the number of protons and neutrons in the nucleus can change. Additionally, electrons can be gained or lost, resulting in the formation of ions. However, the fundamental properties of an element are determined by its atomic structure, and any changes in the structure can lead to the formation of different elements.
Download as PDF

Top Courses for Class 12

Related Searches

Objective type Questions

,

past year papers

,

practice quizzes

,

Physics

,

Atoms - Chapter Notes

,

MCQs

,

ppt

,

Class 12

,

Sample Paper

,

Viva Questions

,

Exam

,

Atoms - Chapter Notes

,

study material

,

Free

,

Previous Year Questions with Solutions

,

Important questions

,

Physics

,

pdf

,

Extra Questions

,

Summary

,

Atoms - Chapter Notes

,

Semester Notes

,

Physics

,

Class 12

,

shortcuts and tricks

,

video lectures

,

mock tests for examination

,

Class 12

;