| Table of contents | |
| Integration Of A Binomial Differential | |
| Integration by Substitution | |
| Integration Using Trigonometric Identities | |
| Solved Examples: | |
| Integration by Parts: | |
| Integration by Partial Fractions |
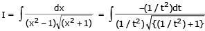
Consider the integral dx
If we change the variable from x to θ by the substitution x = a sinθ, then the identity
1 – sin2θ = cos2θ
allows us to get rid of the roots sign because
Notice the difference between the substitution u = a2 – x2 (in which the new variable is a function of the old one) are the substitution x = a sin θ (the old variable is a function of the new one).
In general, we can make a substitution of the form x = g(t) by using the Substitution Rule in reverse. To make our calculations simpler, we assume that g has an inverse function; that is, g is one-to-one.
This kind of substitution is called inverse substitution.
We can make the inverse substitution x = a sin θ provided that it defines a one-to-one function. This can be accomplished by restricting θ to lie in the interval [–π/2, π/2].
Ex.1 Evaluate where a > 0
Sol.
We let x = a secθ, where 0 < θ < π/2 or π < θ < 3π/2. Then dx = a sec θ tan θ dθ and
Ex.2 Integrate
Sol.
Ex.3 Integrate (3x + 1) / (2x2 – 2x + 3).
Sol. Here (d/dx) (2x2 – 2x + 3) = 4x – 2.
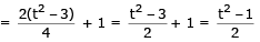
Ex.4 Integrate
Sol.
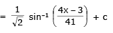
Ex.5 Evaluate dx.
Sol.
Certain types of integrals of algebraic irrational expressions can be reduced to integrals of rational functions by a appropriate change of the variable. Such transformation of an integral is called its rationalization.
Ex.1 Evaluate
Sol.
Rationalizing the denominator, we have
Ex.2 Evaluate I =
Sol. The least common multiple of the numbers 3 and 6 is 6, therefore we make the substitution
x = t6, dx = 6t5 dt.
Ex.3 Evaluate I =
Sol. The integrand is a rational function of therefore we put 2x – 3 = t6, whence
Returning to x, we get
Ex.4 Evaluate
Sol.
Let x = t3 ⇒ dx = 3t2 then
Ex.5 Evaluate I =
Sol. The integrand is a rational function of x and the expression therefore let us introduce the substitution
Ex.1 Integrate
Sol.
Put 4x + 3 = t2, so that 4dx = 2tdt and (2x + 1)
Ex.2 Evaluate
Sol.
Put (x + 2) = t2, so that dx = 2t dt, Also x = t2 – 2.
∴
dividing the numerator by the denominator
Ex.3 Integrate
Sol.
Put (x + 1) = t2, so that dx = 2t dt. Also x = t2 – 1.
Ex.4 Integrate
Sol.
Put (1 + x) = 1/t, so that dx = – (1/t2) dx.
Also x = (1/t) – 1.
Ex.5 Evaluate
Sol.
Put x = 1/t, so that dx = – (1/t2) dt.
∴
Now put 1 + t2 = z2 so that t dt = z dz. Then
[∵ t = 1/x]
The integral where m, n, p are rational numbers, is expressed through elementary functions only in the following three cases :
Case I : p is an integer. Then, if p > 0, the integrand is expanded by the formula of the binomial; but if p < 0, then we put x = tk, where k is the common denominator of the fractions and n.
Case II : is an integer. We put a + bxn = tα, where α is the denominator of the fraction p.
Case III :+ p is an integer we put a + bxn = tαxn, where a is the denominator of the fraction p.
Ex.1 Evaluate I =
Sol.
Here p = 2, i.e. an integer, hence we have case I.
Ex.2 Evaluate I =
Sol.
i.e. an integer.we have case II. Let us make the substitution. Hence ,
Ex.3 Evaluate I =
Sol.
Here p = – 1/2 is a fraction, m+1/2 = -5/2 also a fraction, but m+1/n + p/2 = -5/2 -1/2 = -3 is an integer, i.e. we have case III, we put 1 + x4 = x4/2,
Hence
Substituting these expression into the integral, we obtain
Returning to x, we get I =
Let g be a function whose range is an interval l, and let f be a function that is continuous on l. If g is differentiable on its domain and F is an antiderivative of f on l, then f(g(x))g'(x) dx = F(g(x)) + C.
If u = g(x), then du = g'(x) and f(u) du = F(u) + C .
1. Choose a substitution u = g(x). Usually, it is best to choose the inner part of a composite function, such as a quantity raised to a power.
2. Compute du = g'(x) dx.
3. Rewrite the integral in terms of the variable u.
4. Evaluate the resulting integral in terms of u.
5. Replace u by g(x) to obtain an antiderivative in terms of x.
If g is a differentiable function of x, then
Some irrational functions can be changed into rational functions by means of appropriate substitutions.
In particular, when an integrand contains an expression of the form then the substitution u =
may be effective.
Some Standard Substitutions
In the integration of a function, if the integrand involves any kind of trigonometric function, then we use trigonometric identities to simplify the function that can be easily integrated.
Few of the trigonometric identities are as follows:

All these identities simplify integrand, that can be easily found out.
Ex.1 Evaluate (x2 +1)2 (2x) dx .
Sol. Letting g(x) = x2 + 1, we obtain g'(x) = 2x and f(g(x)) = [g(x)]2.
From this, we can recognize that the integrand and follows the f(g(x)) g'(x) pattern. Thus, we can write
Ex.2 Evaluate
Sol.
Ex.3 Evaluate
Sol.
Let u = x4 + 2 ⇒ du = 4x3 dx
Ex.4 Evaluate
Sol.
Let u = x3 – 2. Then du = 3x2 dx. so by substitution :
Ex.5 Evaluate
Sol. Let u = . Then u2 = x + 4, so x = u2 –4 and dx = 2u du.
Therefore
dx where u & v are differentiable functions.
Note : While using integration by parts, choose u & v such that
(a) dx v is simple &
(b) dx is simple to integrate.
This is generally obtained, by keeping the order of u & v as per the order of the letter in ILATE, where
I – Inverse function
L – Logarithmic function
A – Algebraic function
T – Trigonometric function
E – Exponential function
Remember This:
Proof:
Integrating by parts taking sin bx as the second function,
Again integrating by parts taking cos bx as the second function, we get
Transposing the term -a2/b2 I to the left hand side, we get
Ex.1 Integrate xn log x
Sol.
Ex.2 Evaluate dx
Sol.
Put sec–1 x = t so that
Then the given integral =
= t (log t – log e) + c = sec–1 x (log (sec–1 x) – 1) + c
Ex.3 Evaluate dx.
Sol.
Put x = cos θ so that dx = - sin θ dθ. the given integral
Ex.4 Evaluate
Sol.
We have
[ x3 = x(x2 + 1) - x]
integrating by parts taking x2 as the second function
Ex.5 Evaluate dx.
Sol.
(put, 2x + 2 = 3 tanθ ⇒ 2 dx = 3 sec2θ dθ )
We know that a Rational Number can be expressed in the form of p/q, where p and q are integers and q≠0. Similarly, a rational function is defined as the ratio of two polynomials which can be expressed in the form of partial fractions: P(x)/Q(x), where Q(x)≠0.
In this section, we show how to integer any rational function (a ratio of polynomials) by expressing it as a sum of simpler fractions, called partial fractions, that we already know how to integrate. To illustrate the method, observe that by taking the fractions 2/(x – 1) and 1/(x + 2) to a common denominator we obtain
If we now reverse the procedure, we see how to integrate the function on the right side of this equation
To see how the method of partial fractions works in general, let's consider a rational function
Where P and Q are polynomials. It's possible to express f as sum of simpler fractions provided that the degree of P is less than the degree of Q. Such a rational function is called proper. Recall that if P(x) =
where an ≠ 0, then the degree of P is n and we write deg (P) = n.
If f is improper, that is, deg(P) deg (Q), then we must take the preliminary step of dividing Q into P (by division) until a remainder R(x) is obtained such that deg (R) < deg(Q). The division statement is
where S and R are also polynomials. As the following example illustrates, sometimes this preliminary step is all that is required.
The next step is to factor the denominator Q(x) as far as possible . It can be shown that any polynomial Q can be factored as a product of linear factors (of the form ax + b) and irreducible quadratic factors
(of the form ax2 + bx + c, where b2 – 4ac < 0).
For instance, if Q(x) = x4 – 16, we could factor it as Q(x) = (x2 – 4) (x2 + 4) = (x – 2) (x + 2) (x2 + 4)
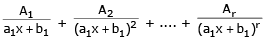
The third step is to express the proper rational function R(x)/Q(x) (from equation 1) as a sum of partial fractions of the form
A theorem in algebra guarantees that it is always possible to do this. We explain the details for the four cases that occur.
This means that we can write Q(x) = (a1x + b1) (a2x + b2) ... (akx + bk)
where no factor is repeated (and no factor is a constant multiple of another). In this case the partial fraction theorem states that there exist constants A1,A2,...,Ak such that.
These constants can be determined as in the following example.
Ex.2 Evaluate dx.
Sol. Since the degree of the numerator is less than the degree of the denominator, we don't need to divide.
We factor the denominator as 2x3 + 3x2 – 2x = x(2x2 + 3x – 2) = x(2x – 1) (x + 2)
Since the denominator has three distinct linear factors, the partial fraction decomposition of the integrand (2) has the form.
To denominator the values of A, B and C, we multiply both sides of this equation by the product of the denominators, x(2x – 1) (x + 2), obtaining.
(4) x2 + 2x – 1 = A(2x – 1) (x + 2) + Bx(x + 2) + Cx(2x – 1)
Expanding the right side of equation 4 and writing it in the standard form for polynomials, we get
(5) x2 + 2x – 1 = (2A + B + 2C) x2 + (3A + 2B – C) x – 2A
The polynomials in Equation 5 are identical, so their coefficients must be equal. The coefficient of x2 on the right side, 2A + B + 2C, must equal the coefficient of x2 on the left side-namely, 1. Likewise. The coefficients of x are equal and the constant terms are equal. This gives the following system of equation for A, B and C.
2A + B + 2C = 1 , 3A + 2B – C = 2 , – 2A = –1
Solving, we get
In integrating the middle term we have made the mental substitution u = 2x – 1, which gives du = 2dx and dx = du/2.
(6)
By way of illustration, we could write
but we prefer to work out in detail a simpler example.
Ex.3 Evaluate dx
Sol.
The first step is to divide. The result of long division is
The second step is to factor the denominator Q(x) = x3 – x2 – x + 1. Since Q(1) = 0, we know that x – 1 is a factor and we obtain x3 – x2 – x + 1 = (x – 1) (x2 – 1) = (x – 1) (x – 1)(x + 1) = (x – 1)2 (x + 1) Since the linear factor x – 1 occurs twice, the partial fraction decompositoin is
Multiplying by the least common denominator (x – 1)2 (x + 1), we get
(7) 4x = A(x – 1)(x + 1) + B(x + 1) + C(x – 1)2 = (A + C) x2 + (B – 2x) x + (–A + B + C)
Now we equate coefficients : A + C = 0,B – 2C = 4, –A + B + C = 0
Solving, we obtain A = 1, B = 2, and C = – 1, so
(8) where A and B are constants to be determined. For instance, the function givenby f(x) = x/[(x – 2)(x2 + 1) (x2 + 4)] has a partial fraction decomposition of the form
The term given in (8) can be integrated by completing the square and using the formula.
Ex.4 Evaluate dx
Sol.
Since x3 + 4x = x(x2 + 4) can't be factored further, we write
Multiplying by x(x2 + 4), we have 2x2 – x + 4 = A (x2 + 4) + (Bx + C) x = (A + B) x2 + Cx + 4A Equating coefficients, we obtain A + B =2 C = –1 4A = 4
Thus A = 1, B = 1 and C = –1 and
In order to integrate the second term we split it into to parts
We make the substitution u = x2 + 4 in the first of these integrals so that du = 2x dx. We evaluate the second integral by means of Formula 9 with a = 2.
occurs in the partial fraction decomposition of R(x)/Q(x), each of the terms in (10) can be integrated by first completing the square.
Ex.5 Write out the form of the partial fraction decomposition of the function
Sol.
Ex.6 Evaluate
Sol. The form of the partial fraction decomposition is
Multiplying by x(x2 + 1)2, we have –x3 + 2x2 – x + 1 = A(x2 + 1)2 + (Bx + C) x (x2 + 1) + (Dx + E)x
= A(x4 + 2x2 + 1) + B(x4 + x2) + C(x3 + x) + Dx2 + Ex = (A + B) x4 + Cx3 + (2A + B + D) x2 + (C + E) x + A
If we equate coefficient, we get the system A + B = 0 ,C = –1 ,2A + B + D = 2 ,C+E =–1 , A=1
Which the solution A = 1, B = –1, D = 1, and E = 0. Thus
We note that sometimes partial fractions can be avoided when integrating a rational function. For instance, although the integral
could be evaluated by the method of case III, it's much easier to observe that if u = x(x2 + 3) = x3 + 3x, then du = (3x2 + 3) dx and so
173 videos|510 docs|154 tests |
| 1. What are some standard integrals that are commonly used in calculus? | ![]() |
| 2. How can we integrate irrational functions in calculus? | ![]() |
| 3. How do we integrate expressions of the form ∫(ax + b)(cx + d)dx in calculus? | ![]() |
| 4. What is the process of integration by substitution and when is it used in calculus? | ![]() |
| 5. Can you explain the concept of integration by parts and provide an example in calculus? | ![]() |
173 videos|510 docs|154 tests |
![]() | Explore Courses for JEE exam |