Computer Science Engineering (CSE) Exam  >  Computer Science Engineering (CSE) Notes  >  Classification of Systems - Digital Signal Processing, Engineering

Classification of Systems - Digital Signal Processing, Engineering - Computer Science Engineering (CSE) PDF Download

Classification of Systems

1. a. Static systems or memory less system. (Non Linear / Stable)

Ex. y(n) = a x (n)

= n x(n) + b x3(n)

= [x(n)]2 = a(n-1) x(n)

Classification of Systems - Digital Signal Processing, Engineering - Computer Science Engineering (CSE)

If its o/p at every value of ‘n’ depends only on the input x(n) at the same value of ‘n’ Do not include delay elements. Similarly to combinational circuits.

b. Dynamic systems or memory.

If its o/p at every value of ‘n’ depends on the o/p till (n-1) and i/p at the same value of ‘n’ or previous value of ‘n’.

Ex. y(n) = x(n) + 3 x(n-1)

= 2 x(n) - 10 x(n-2) + 15 y(n-1)

Similar to sequential circuit.

2. Ideal delay system. (Stable, linear, memory less if nd=0)

Ex. y (n) = x(n-nd)

nd is fixed = +ve integer.

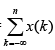
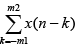
3. Moving average system. (LTIV ,Stable)

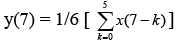
y(n) = 1/ (m1+m2+1)    Classification of Systems - Digital Signal Processing, Engineering - Computer Science Engineering (CSE)

This system computes the nth sample of the o/p sequence as the average of (m1+m2+1) samples of input sequence around the nth sample.

Classification of Systems - Digital Signal Processing, Engineering - Computer Science Engineering (CSE)

If   M1=0; M2=5

Classification of Systems - Digital Signal Processing, Engineering - Computer Science Engineering (CSE)

= 1/6 [x(7) + x(6) + x(5) + x(4) + x(3) + x(2)]

y(8) = 1/6 [x(8) + x(7) + x(6) + x(5) + x(4) + x(3)]

So to compute y (8), both dotted lines would move one sample to right.

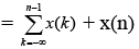
4. Accumulator.      ( Linear , Unstable )

y(n) = Classification of Systems - Digital Signal Processing, Engineering - Computer Science Engineering (CSE)

Classification of Systems - Digital Signal Processing, Engineering - Computer Science Engineering (CSE)

= y(n-1) + x(n)

x(n) = { …0,3,2,1,0,1,2,3,0,….}

y(n) = { …0,3,5,6,6,7,9,12,12…}

O/p at the nth sample depends on the i/p’s till nth sample 

Ex: 

x(n) = n u(n) ; given y(-1)=0.  i.e. initially relaxed.

y(n) =  Classification of Systems - Digital Signal Processing, Engineering - Computer Science Engineering (CSE)

Classification of Systems - Digital Signal Processing, Engineering - Computer Science Engineering (CSE)

5. Linear Systems.

If y1(n) & y2(n) are the responses of a system when x1(n) & x2(n) are the respective inputs, then the system is linear if and only if 

Classification of Systems - Digital Signal Processing, Engineering - Computer Science Engineering (CSE)

=  y1(n) + y2(n)   (Additive property)

Classification of Systems - Digital Signal Processing, Engineering - Computer Science Engineering (CSE)   (Scaling or Homogeneity)

The two properties can be combined into principle of superposition stated as

Classification of Systems - Digital Signal Processing, Engineering - Computer Science Engineering (CSE)

Otherwise non linear system.

6. Time invariant system.

Is one for which a time shift or delay of input sequence causes a corresponding shift in the o/p sequence.

Classification of Systems - Digital Signal Processing, Engineering - Computer Science Engineering (CSE) TIV
≠                                 TV

7. Causality.

A system is causal if for every choice of no the o/p sequence value at index n= no depends only on the input sequence values for n ≤no.

y(n) = x(n) + x(n-1) causal.

y(n) = x(n) + x(n+2) + x(n-4)  non causal.

8. Stability.

For every bounded input |x(n)|≤B<∞ for all n, there exists a fixed +ve finite value By such that |y(n)|≤ B<∞

The document Classification of Systems - Digital Signal Processing, Engineering - Computer Science Engineering (CSE) is a part of Computer Science Engineering (CSE) category.
All you need of Computer Science Engineering (CSE) at this link: Computer Science Engineering (CSE)

FAQs on Classification of Systems - Digital Signal Processing, Engineering - Computer Science Engineering (CSE)

1. What is digital signal processing?
Ans. Digital signal processing (DSP) is a branch of engineering that deals with the manipulation and analysis of digital signals. It involves the use of mathematical algorithms to process and modify signals such as audio, images, and videos. DSP techniques are widely used in various applications such as telecommunications, audio and video compression, medical imaging, and many others.
2. What are the advantages of digital signal processing?
Ans. Digital signal processing offers several advantages over analog signal processing. Some of the key advantages include: 1. Flexibility: Digital signal processing allows for easy modification and manipulation of signals using mathematical algorithms. This provides greater flexibility in signal analysis and processing. 2. Accuracy: Digital signals can be processed with high precision and accuracy. This is because digital signals are represented by discrete values, eliminating the errors and noise associated with analog signals. 3. Reproducibility: DSP algorithms can be easily reproduced and implemented on different hardware platforms. This makes it easier to design and develop signal processing systems that can be deployed in various applications. 4. Signal Integrity: Digital signal processing techniques enable the removal of noise and distortion from signals, resulting in improved signal quality and integrity. 5. Efficiency: DSP algorithms can be optimized for efficient computation and memory usage, leading to faster and more efficient signal processing operations.
3. What are the different types of systems in digital signal processing?
Ans. There are two main types of systems in digital signal processing: 1. Continuous-time systems: These systems process continuous-time signals, which are represented by continuous values over time. Continuous-time systems involve operations such as filtering, modulation, and demodulation. 2. Discrete-time systems: These systems process discrete-time signals, which are represented by a sequence of discrete values at specific time intervals. Discrete-time systems involve operations such as sampling, quantization, and digital filtering.
4. How are digital signals represented in digital signal processing?
Ans. In digital signal processing, digital signals are represented by a sequence of discrete values. These values are typically represented in binary format using bits. Each value in the sequence corresponds to a specific point in time and represents the amplitude or magnitude of the signal at that point. The sampling rate determines the number of samples taken per second, and the bit depth determines the precision or resolution of each sample.
5. What are the applications of digital signal processing?
Ans. Digital signal processing has a wide range of applications in various fields. Some common applications include: 1. Audio and video processing: DSP is used in audio and video compression, noise cancellation, equalization, and enhancement. 2. Communications: DSP techniques are used in wireless communication systems, speech recognition, and error correction coding. 3. Medical imaging: DSP is used in medical imaging techniques such as MRI, CT scan, and ultrasound imaging for image enhancement and analysis. 4. Radar and sonar systems: DSP is used in radar and sonar systems for target detection, tracking, and signal processing. 5. Control systems: DSP is used in control systems for feedback control, filtering, and signal conditioning.
Download as PDF

Top Courses for Computer Science Engineering (CSE)

Related Searches

Engineering - Computer Science Engineering (CSE)

,

past year papers

,

shortcuts and tricks

,

Classification of Systems - Digital Signal Processing

,

MCQs

,

Previous Year Questions with Solutions

,

Objective type Questions

,

Free

,

Classification of Systems - Digital Signal Processing

,

Important questions

,

Classification of Systems - Digital Signal Processing

,

Engineering - Computer Science Engineering (CSE)

,

mock tests for examination

,

ppt

,

pdf

,

Extra Questions

,

Sample Paper

,

practice quizzes

,

Engineering - Computer Science Engineering (CSE)

,

Summary

,

Viva Questions

,

study material

,

Semester Notes

,

video lectures

,

Exam

;