Civil Engineering (CE) Exam  >  Civil Engineering (CE) Notes  >  Effect of Temperature and Impurity on Electrical Resistivity of Metals

Effect of Temperature and Impurity on Electrical Resistivity of Metals - Civil Engineering (CE) PDF Download

Effect of temperature and impurity on electrical resistivity of metals. 
Resistance of a conductor can be mainly attributed to two reasons, namely
1. Scattering of electrons with the vibrating lattice ions:
During their random motion electrons undergo scattering from ions, which are in the continuous state of vibrations. This scattering is called phonon scattering and gives rise to resistance of metals. The resistance depends on the number of scattering that electrons undergo. As the temperature of the metal increases amplitude of vibrations of the ions increases, thereby increasing the number of collisions. This leads to increase in resistance. This resistivity is called ideal resistivity denoted by ρph and is given by

Effect of Temperature and Impurity on Electrical Resistivity of Metals - Civil Engineering (CE)

τph=mean collision time assuming that there are no impurities.

2. Scattering of electrons by the presence of impurities present in the metal:
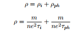
Scattering of electrons from the sites of impurities present in the metals such as dislocation joints, grain Boundaries, impurity atom, etc gives rise to resistivity called residual resistivity. It exists even at absolute zero temperature. It is temperature independent and denoted by ρi . It is given by 
Effect of Temperature and Impurity on Electrical Resistivity of Metals - Civil Engineering (CE)

where τi is the mean collision time assuming that scattering of electrons with the vibrating lattice ions is absent.
Thus net restivity of the conductor is given by
Effect of Temperature and Impurity on Electrical Resistivity of Metals - Civil Engineering (CE)

The above equation is called Matthiessens Rule, which states that the net resistivity of conductor is equal to the sum of the resistivity due to the phonon scattering which is temperature dependent and resistivity due to the presence of impurity which is temperature independent. 
A graph of ρ against T is as shown in the fig.

Effect of Temperature and Impurity on Electrical Resistivity of Metals - Civil Engineering (CE)

At absolute zero temperature ρ = ρi .As the temperature increases ρ(T) increases gradually for lower temperatures. At higher temperatures, ρ(T)increases rapidly overtaking the effect of ρi and becomes linearly dependent on temperature. Thus at higher temperatures the effect of impurity on resistivity becomes negligible and resistivity mainly depends on temperature.

Failure of classical free electron theory 
Though classical free electron theory successfully explained electrical conductivity in metals, thermal conductivity and other phenomenon, it could not explain number of other experimentally observed facts. This led to the failure of classical free electron theory of metals. Some of the important reasons, which led to the failure of the theory, are,
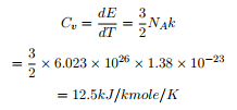
1. The specific heat of the Solids:
When heat is supplied to solids free electrons also absorb energy. Thus free electrons also contribute to the Specific heat of solids. This is called electronic specific heat. According to the free electron theory of metals energy of all the electrons in one-kilo mole of solid is given by
E = 3/2 NAkT

Where NA=Avagadro number, k=Boltzman constant and T=Absolute temperature. Therefore the electronic specific heat is given by 

Effect of Temperature and Impurity on Electrical Resistivity of Metals - Civil Engineering (CE)

But experimentally determined value of Cv is 100 times less that the above value. Thus contribution to specific heat from electrons is negligible small.

2. Dependence of conductivity on temperature: 
According to free electron theory of metals, electrical conductivity of a conductor is given by
Effect of Temperature and Impurity on Electrical Resistivity of Metals - Civil Engineering (CE)
It is clear from the above equation that σ ∝ √ 1/T
But experimentally it was found that σ ∝ 1/T

3. Dependence of conductivity on Electron concentration:
According to free electron theory of metals, electrical conductivity of conductor is given by
σ = ne2λ/√ 3mkT
It is clear from the above equation that σ ∝ n
The value of electron concentration and conductivity for some of the metals are given below

Effect of Temperature and Impurity on Electrical Resistivity of Metals - Civil Engineering (CE)

It is clear from the above table that there is no direct relationship between electron concentration and electrical conductivity. From the above discussion it is clear that there exists discrepancy between theoretical predictions and experimental observation. This led to the failure of classical free electron theory of metals.

Quantum free electron theory of metal 
Since classical free electron theory failed to account for the number of experimentally observed facts, Sommerfeld put forward a new theory, called quantum free electron theory, in the year 1928. The quantum free electron theory is based on following assumptions:
1. Though free electrons are free to move anywhere in the solid, they are bound within the boundary of the solid. Therefore, their energies are quantized according to quantum mechanics. Thus free electrons can have only discrete values of energy.
2. There exists large number of closely spaced energies for the electrons. Electrons are distributed among these energy levels according to Paulis exclusion principle, which states that there cannot be more than two electrons in any energy level.
3. The potential energy of the electrons remains uniform throughout the solid.
4. The force of repulsion between the electrons and force of attraction between electrons and lattice ions is neglected.

 

The document Effect of Temperature and Impurity on Electrical Resistivity of Metals - Civil Engineering (CE) is a part of Civil Engineering (CE) category.
All you need of Civil Engineering (CE) at this link: Civil Engineering (CE)

FAQs on Effect of Temperature and Impurity on Electrical Resistivity of Metals - Civil Engineering (CE)

1. How does temperature affect the electrical resistivity of metals?
Ans. Temperature has a significant effect on the electrical resistivity of metals. As the temperature increases, the resistivity of most metals also increases. This is due to the fact that at higher temperatures, the metal atoms vibrate more vigorously, causing more collisions with the electrons, impeding their flow and increasing resistance.
2. Can impurities in metals affect their electrical resistivity?
Ans. Yes, impurities present in metals can indeed affect their electrical resistivity. The presence of impurities introduces lattice defects and irregularities in the metal's crystal structure, which in turn leads to increased electron scattering. This scattering impedes the flow of electrons and increases the resistance, resulting in a higher resistivity.
3. How does the type and concentration of impurities influence the electrical resistivity of metals?
Ans. The type and concentration of impurities play a crucial role in determining the electrical resistivity of metals. Different impurities have different effects on the metal's crystal lattice and electron scattering. For example, impurities with higher atomic mass or larger atomic radius can cause more scattering and increase resistivity. Similarly, higher impurity concentrations generally result in higher resistivity due to increased electron scattering.
4. Are there any exceptions to the general trend of increasing resistivity with temperature?
Ans. Yes, there are exceptions to the general trend of increasing resistivity with temperature. Some metals, such as certain alloys or superconductors, exhibit a decrease in resistivity as temperature decreases. This phenomenon is known as superconductivity and occurs when the material's electrical resistance drops to zero below a certain critical temperature.
5. Can impurities have a positive effect on the electrical resistivity of metals?
Ans. In some cases, impurities can have a positive effect on the electrical resistivity of metals. For example, intentional doping of certain impurities in semiconductors can enhance their conductivity by introducing extra charge carriers. This controlled addition of impurities, known as doping, can help tailor the resistivity of metals for specific applications, such as in electronic devices.
Download as PDF

Top Courses for Civil Engineering (CE)

Related Searches

practice quizzes

,

study material

,

Semester Notes

,

Extra Questions

,

Free

,

mock tests for examination

,

Important questions

,

Sample Paper

,

past year papers

,

Objective type Questions

,

MCQs

,

Summary

,

Exam

,

Previous Year Questions with Solutions

,

ppt

,

pdf

,

Effect of Temperature and Impurity on Electrical Resistivity of Metals - Civil Engineering (CE)

,

Effect of Temperature and Impurity on Electrical Resistivity of Metals - Civil Engineering (CE)

,

shortcuts and tricks

,

video lectures

,

Effect of Temperature and Impurity on Electrical Resistivity of Metals - Civil Engineering (CE)

,

Viva Questions

;