Civil Engineering (CE) Exam  >  Civil Engineering (CE) Notes  >  Expression for Electrical Conductivity based on Quantum

Expression for Electrical Conductivity based on Quantum - Civil Engineering (CE) PDF Download

Expression for electrical conductivity based on quantum theory
By applying Fermi-Dirac statistics and using Boltzmann transport equation, Sommerfield obtained the expression for electrical conductivity of metals. It is given by
Expression for Electrical Conductivity based on Quantum - Civil Engineering (CE)

 where m∗ is the effective mass of the electron in metals. Expression for resistivity can be written as

Expression for Electrical Conductivity based on Quantum - Civil Engineering (CE)

Merits of Quantum free electron theory 
The drawbacks of classical free electron theory were removed by Quantum theory. Some examples are given below.
1. Specific Heat:
According to classical theory electrons give significant contribution to specific heat of solids. But experimentally it was found that contribution to specific heat from electrons is negligibly small. According to quantum theory, When heat energy is supplied to solid, only those electron occupying energy levels closer to Fermi level absorb energy and get exited to higher energy levels. Thus only small percentage of electrons is capable of contributing to specific heat of the solid.
It can be shown that only the fraction (kT/ EF ) of electrons contribute to specific heat of solid.
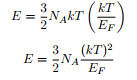
Thus according to the quantum free electron theory of metals energy of all the electrons in one-kilo mole of solid is given by
Expression for Electrical Conductivity based on Quantum - Civil Engineering (CE)

Where NA=Avogadro number,k=Boltzmann constant and T=Absolute temperature. Therefore the electronic specific heat is given by

Expression for Electrical Conductivity based on Quantum - Civil Engineering (CE)
Which is in agreement with the experimental result.

Temperature dependence of electrical conductivity:
According to classical theory σ ∝ 1/ √ T
But experimentally it is found that σ ∝ 1/T
Expression for electrical conductivity can be written as

Expression for Electrical Conductivity based on Quantum - Civil Engineering (CE)

Since EF is independent of temperature, vF is also independent of temperature. Then only λF is dependent on temperature. We know that even at very high temperature only electrons closer to Fermi energy get exited. Thus only small percentage of electrons contributes to the electrical conductivity. It can shown that at very temperatures λF is inversely proportional to the temperature. Therefore it follows that

σ ∝ 1/T
Which is agreement with the experimental results.

3. Dependence of electrical conductivity on electron concentration:
According to quantum free electron theory expression for electrical conductivity is given by
Expression for Electrical Conductivity based on Quantum - Civil Engineering (CE)

Note that σ depends on n , but n depends on EF , also vF depends on EF .
Thus there is no direct relationship between σ and n.

Expression for electron concentration from molecular data:
Let MA=Atomic weight, N=number of free electrons contributed by each atom to solid, D=is the density of the solid and NA=Avogadro number.
MA kg of solid contains NA atoms
1 kg of solid contains NA/Matoms
Unit volume of a solid weighs D kgs
Therefore unit volume of solid contains D(NA/MA) atoms Therefore number of electrons per unit volume is given by

n = NNAD/MA

 

The document Expression for Electrical Conductivity based on Quantum - Civil Engineering (CE) is a part of Civil Engineering (CE) category.
All you need of Civil Engineering (CE) at this link: Civil Engineering (CE)

FAQs on Expression for Electrical Conductivity based on Quantum - Civil Engineering (CE)

1. What is electrical conductivity and how is it related to quantum mechanics?
Ans. Electrical conductivity refers to the ability of a material to conduct electric current. In the context of quantum mechanics, electrical conductivity is related to the movement of electrons within a material. Quantum mechanics describes the behavior of particles at the atomic and subatomic levels, and it helps explain how electrons interact with the crystal lattice structure of a material to determine its conductivity.
2. How does quantum mechanics affect the electrical conductivity of materials?
Ans. Quantum mechanics plays a crucial role in determining the electrical conductivity of materials. It describes the behavior of electrons as both particles and waves, allowing for the understanding of phenomena like electron tunneling and quantum confinement. These quantum effects influence the movement of electrons within a material, affecting its conductivity properties.
3. Can quantum mechanics explain why some materials are better conductors than others?
Ans. Yes, quantum mechanics can provide insights into why certain materials exhibit higher electrical conductivity compared to others. It helps explain factors such as the energy band structure, electron mobility, and electron scattering within a material. These quantum phenomena determine the ease with which electrons can move and conduct electric current, leading to variations in conductivity among different materials.
4. How does temperature affect the electrical conductivity of materials in the context of quantum mechanics?
Ans. Quantum mechanics predicts that at higher temperatures, the increased thermal energy disrupts the orderly movement of electrons within a material. This disruption leads to more collisions between electrons and lattice vibrations, resulting in increased resistance and decreased electrical conductivity. Conversely, at lower temperatures, quantum effects such as superconductivity can emerge, where electrical resistance drops to zero due to the formation of electron pairs with opposite spins.
5. Are there any practical applications of understanding the quantum aspects of electrical conductivity?
Ans. Yes, understanding the quantum aspects of electrical conductivity has numerous practical applications. It is crucial in the development of electronic devices, such as transistors, semiconductors, and superconductors. Quantum mechanics also plays a vital role in the advancement of technologies like nanoelectronics and quantum computing, where the manipulation of electrons at the quantum level is essential. Additionally, it helps in designing materials with specific conductivity properties for various industries, including energy, telecommunications, and electronics.
Download as PDF

Top Courses for Civil Engineering (CE)

Related Searches

mock tests for examination

,

Summary

,

MCQs

,

Sample Paper

,

past year papers

,

Important questions

,

pdf

,

Expression for Electrical Conductivity based on Quantum - Civil Engineering (CE)

,

practice quizzes

,

Objective type Questions

,

Extra Questions

,

Viva Questions

,

ppt

,

Exam

,

Free

,

Expression for Electrical Conductivity based on Quantum - Civil Engineering (CE)

,

Previous Year Questions with Solutions

,

shortcuts and tricks

,

Expression for Electrical Conductivity based on Quantum - Civil Engineering (CE)

,

Semester Notes

,

video lectures

,

study material

;