Single Stage Amplifiers - Electrical Engineering (EE) PDF Download

1 Introduction

V-I characteristics of an active device such as BJT are non-linear. The analysis of a non- linear device is complex. Thus to simplify the analysis of the BJT, its operation is restricted to the linear V-I characteristics around the Q-point i.e. in the active region. This approximation is possible only with small input signals. With small input signals transistor can be replaced with small signal linear model. This model is also called small signal equivalent circuit.

1.2 Two –Port  Devices and Network Parameters

Small signal low frequency transistor Models: 

All the transistor amplifiers are two port networks having two voltages and two currents. The positive directions of voltages and currents are shown in fig. 1.
 

                              Single Stage Amplifiers - Electrical Engineering (EE)
 

A two-port network is represented by four external variables: voltage Vand current  Iat the input port, and voltage Vand current  I2 at the output port, so that the two-port network can be treated as a black box modeled by the relationships between the four variables,V1,V2, I1,I2 . Out of four variables, two can be selected as independent variables and the other two as dependent variables. The dependent variables can be expressed in terms of independent variables. This leads to various two port parameters out of which the following three are important:

1.      Impedance parameters (z-parameters)

2.      Admittance parameters (y-parameters)

3.      Hybrid parameters (h-parameters)
 

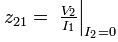
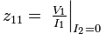
1 z-parameters

A two-port network can be described by z-parameters as

Single Stage Amplifiers - Electrical Engineering (EE)Single Stage Amplifiers - Electrical Engineering (EE)Single Stage Amplifiers - Electrical Engineering (EE)

In matrix form, the above equation can be rewritten as

Single Stage Amplifiers - Electrical Engineering (EE)Single Stage Amplifiers - Electrical Engineering (EE)

Where

Single Stage Amplifiers - Electrical Engineering (EE)Single Stage Amplifiers - Electrical Engineering (EE)    Input impedance with output port open circuited

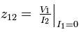
Single Stage Amplifiers - Electrical Engineering (EE)Single Stage Amplifiers - Electrical Engineering (EE)    Reverse transfer impedance with input port open circuited

Single Stage Amplifiers - Electrical Engineering (EE)Single Stage Amplifiers - Electrical Engineering (EE)  Forward transfer impedance with output port open circuited
Single Stage Amplifiers - Electrical Engineering (EE)  Output impedance with input port open circuited
 

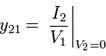
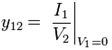
Y-parameters

A two-port network can be described by Y-parameters as
Single Stage Amplifiers - Electrical Engineering (EE)
In matrix form, the above equation can be rewritten as
Single Stage Amplifiers - Electrical Engineering (EE)

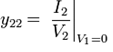
Single Stage Amplifiers - Electrical Engineering (EE)    Input admittance with output port short circuited

Single Stage Amplifiers - Electrical Engineering (EE)Single Stage Amplifiers - Electrical Engineering (EE)  Reverse transfer admittance with input port short circuited

Single Stage Amplifiers - Electrical Engineering (EE)Single Stage Amplifiers - Electrical Engineering (EE)   Forward transfer admittance with output port short circuited

Single Stage Amplifiers - Electrical Engineering (EE)Single Stage Amplifiers - Electrical Engineering (EE) Output admittance with input port short circuited
 

Hybrid parameters (h-parameters)

     If the input current I1 and output voltage V2 are taken as independent variables, the dependent variables V1 and I2 can be written as
  Single Stage Amplifiers - Electrical Engineering (EE)

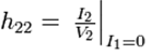
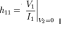
Where h11, h12, h21, h22 are called as hybrid parameters.

Single Stage Amplifiers - Electrical Engineering (EE)   Single Stage Amplifiers - Electrical Engineering (EE)  Input impedance with o/p port short circuited

Single Stage Amplifiers - Electrical Engineering (EE)    Reverse voltage transfer ratio with i/p port open circuited      

Single Stage Amplifiers - Electrical Engineering (EE)Single Stage Amplifiers - Electrical Engineering (EE)Forward voltage transfer ratio with o/p port short circuited

       Single Stage Amplifiers - Electrical Engineering (EE)   output impedance with i/p port open circuited

The document Single Stage Amplifiers - Electrical Engineering (EE) is a part of Electrical Engineering (EE) category.
All you need of Electrical Engineering (EE) at this link: Electrical Engineering (EE)

FAQs on Single Stage Amplifiers - Electrical Engineering (EE)

1. What is a single stage amplifier?
Ans. A single stage amplifier is a basic electronic device that amplifies a weak signal to a desired level using only one active device, such as a transistor or an operational amplifier. It is commonly used in audio applications and is the simplest form of an amplifier.
2. How does a single stage amplifier work?
Ans. A single stage amplifier works by taking a small input signal and increasing its amplitude using an active device. The active device, usually a transistor, amplifies the input signal by controlling the flow of current or voltage. This amplified signal is then outputted to the load or the next stage of the amplification process.
3. What are the advantages of using a single stage amplifier?
Ans. Some advantages of using a single stage amplifier include its simplicity, low cost, and ease of implementation. It requires fewer components compared to multi-stage amplifiers, reducing the complexity of the circuit. Additionally, single stage amplifiers have lower distortion and noise levels, allowing for a cleaner output signal.
4. What are the limitations of single stage amplifiers?
Ans. Single stage amplifiers have a few limitations, such as limited gain and bandwidth. Since they only consist of one active device, their overall gain is limited compared to multi-stage amplifiers. Additionally, the bandwidth of single stage amplifiers is narrower, meaning they may not be able to handle a wide range of frequencies effectively.
5. Can a single stage amplifier be used in high-power applications?
Ans. Generally, single stage amplifiers are not suitable for high-power applications due to their limited gain and power handling capabilities. They are more commonly used in low-power applications, such as audio amplification. For high-power applications, multi-stage amplifiers or specialized power amplifiers are typically used to provide the necessary amplification and power handling capabilities.
Download as PDF

Top Courses for Electrical Engineering (EE)

Related Searches

Sample Paper

,

Semester Notes

,

Free

,

mock tests for examination

,

video lectures

,

Objective type Questions

,

MCQs

,

Exam

,

Important questions

,

past year papers

,

Summary

,

Single Stage Amplifiers - Electrical Engineering (EE)

,

Previous Year Questions with Solutions

,

Viva Questions

,

Extra Questions

,

shortcuts and tricks

,

practice quizzes

,

Single Stage Amplifiers - Electrical Engineering (EE)

,

ppt

,

study material

,

pdf

,

Single Stage Amplifiers - Electrical Engineering (EE)

;