A horizontal supply curve parallel to the quantity axis implies that the elasticity of supply is
____________ is the apex bank for agriculture credit.
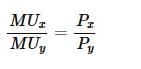
Directions: Read the following figure and answer the question.

Q. Which of the following represents the concept of trade-offs?
Nearly __________ percent of working population is engaged in the service sector.
Who expressed the view that "Economics should be neutral between ends"?
When ________________________, we know that the firms are earning just normal profits.
A situation of employment in which a person is apparently employed but his contribution to the production is almost nil is called ________ unemployment.
Suppose a department store has a sale on its silverware. If the price of a place-setting is reduced from Rs. 300 to Rs. 200 and the quantity demanded increases from 3,000 place-settings to 5,000 place-settings, what is the price elasticity of demand for silverware? (use Arc elasticity)
Directions: Use the given table to answer the question.

Q. What will be the total output when 2 hours of labour is employed?
Find the tax which is direct tax among the following
The average product of labour is maximised when marginal product of labour
Which of the following conditions is satisfied when a consumer is in equilibrium?
If the local pizzeria raises the price of a medium pizza from Rs. 60 to Rs. 100 and quantity demanded falls from 700 pizzas a night to 100 pizzas a night, the arc price elasticity of demand for pizzas is
What implication does resource scarcity have for the satisfaction of wants?
Directions: Read the following paragraph and answer the question.
In 1940, Hitler`s air force bombed Rotterdam, a beautiful city in Holland. Twenty five thousand homes, 1200 factories, 69 schools and 13 hospitals were destroyed. Nearly 75,000 people became homeless and 1000 people died. 35 % of the port was gutted by the German army.
If immediately after the war, Rotterdam rebuilt its port with the help of most up to date cranes, docks and cargo handling technology. By the end of the reconstruction, ships were loading and unloading faster and at lower cost than any where in the world. It became more efficient than it was before the destruction. This means
Directions: Read the following paragraph and answer the question.
In 1940, Hitler`s air force bombed Rotterdam, a beautiful city in Holland. Twenty five thousand homes, 1200 factories, 69 schools and 13 hospitals were destroyed. Nearly 75,000 people became homeless and 1000 people died. 35 % of the port was gutted by the German army.
Q. The above destruction would mean
Under ____________ market condition, firms make normal profits in the long run.
Directions: Use the table below to answer the question.

Q. The marginal cost of the sixth unit of output is
Directions: Use the table below to answer the question.

Q. The average fixed cost of two units of output is
According to the Planning Commission, a person is said to be below poverty line, if he is earning less than ___________ per capita per month for urban areas and less than ____________ per capita per month for rural areas.
Directions: Read the following figure and answer the question.

Q. Unemployment or underemployment of one or more resources is illustrated by production at point
Directions: Use the table to answer the question.

Q. What is the average product of the first three hours of labour?
Price-taking firms, i.e., firms that operate in a perfectly competitive market, are said to be "small" relative to the market. Which of the following best describes this smallness?
__________ unemployment may result when some workers are temporarily out of work while changing job.
Which of the following pairs of goods is an example of substitutes?
Directions: Use the information given in the table below to answer the following question.
Production Possibilities:

Q. According to Table 2, the opportunity cost of increasing Good A`s production from 2 to 4 units is equal to
58 videos|163 docs|52 tests |