Which one of the following information is necessary to formulate the problem of control systems optimization?
For arbitrary pole placement, the following combination is necessary.
For a linear time invariant system, an optimal controller can be designed if
The eigen values of linear system are the location of
If the system matrix of a linear time invariant continuous system is given by

Its characteristic equation will be given by
The state-variable description of a linear autonomous system is
is a two-dimensional state vector and A is a matrix given by

The poles of the system are located at
Assertion (A): The eigen values of a linear continuous-data time invariant system controls the stability of the system.
Reason (R): The roots of the characteristic equation are the same as the eigen values of system matrix A of the state equations.
The vector matrix differential equation of a system is given by

The state transition matrix of the system is
The system matrix of a continous time system is given by:

The characteristic equation is
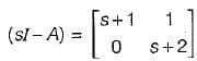
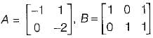
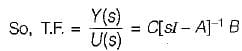
A system is described by the following equations:

The transfer function of the system is
26 docs|247 tests |