You can prepare effectively for UPSC CSAT Preparation with this dedicated MCQ Practice Test (available with solutions) on the important topic of "Test: Mensuration- 2". These 10 questions have been designed by the experts with the latest curriculum of UPSC 2026, to help you master the concept.
Test Highlights:
Sign up on EduRev for free to attempt this test and track your preparation progress.
A right circular cone has height H and radius R. A small cone is cut off at the top by a plane parallel to the base. At what height above the base the section has been made?
Statement (I): H = 20 cm
Statement (II): Volume of small cone: volume of large cone : 1:15
Detailed Solution: Question 1
The surface area of a closed rectangular box, which is inscribed in a sphere, is 846 sq. cm., and the sum of the lengths of all its edges is 144 cm. The volume, in cubic cm, of the sphere is
Detailed Solution: Question 2
The coordinates of the three vertices of a triangle are: (1, 2), (7, 2), and (1, 10). Then the radius of the incircle of the triangle is
Detailed Solution: Question 3
In a right-angled triangle ABC, the altitude AB is 5 cm, and the base BC is 12 cm. P and Q are two points on BC such that the areas of ΔABP, ΔABQ and ΔABC are in arithmetic progression. If the area of ΔABC is 1.5 times the area of ΔABP, the length of PQ, in cm, is
Detailed Solution: Question 4
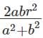
A triangle is drawn with its vertices on the circle C such that one of its sides is a diameter of C and the other two sides have their lengths in the ratio a : b. If the radius of the circle is r, then the area of the triangle is
Detailed Solution: Question 5
Cylindrical cans of cricket balls are to be packed in a box. Each can has a radius of 7 cm and height of 30 cm. Dimension of the box is l = 76 cm, b = 46 cm, h = 45 cm. What is the maximum number of cans that can fit in the box?
Detailed Solution: Question 6
A string is wound around two circular disk as shown. If the radius of the two disk are 40 cm and 30 cm respectively. What is the total length of the string?
Detailed Solution: Question 7
An inverted right circular cone has a radius of 9 cm. This cone is partly filled with oil which is dipping from a hole in the tip at a rate of 1cm2/hour. Currently the level of oil 3 cm from top and surface area is 36π cm2. How long will it take the cone to be completely empty?
Detailed Solution: Question 8
A square PQRS has an equilateral triangle PTO inscribed as shown:

What is the ratio of AΔPQT to AΔTRU?
Detailed Solution: Question 9
A spherical shaped sweet is placed inside a cube of side 5 cm such that the sweet just fits the cube. A fly is sitting on one of the vertices of the cube. What is the shortest distance the fly must travel to reach the sweet?
Detailed Solution: Question 10
205 videos|300 docs|137 tests |