JEE Exam  >  JEE Tests  >  UGEE REAP Mock Test- 1 - JEE MCQ

UGEE REAP Mock Test- 1 - JEE MCQ


Test Description

30 Questions MCQ Test - UGEE REAP Mock Test- 1

UGEE REAP Mock Test- 1 for JEE 2025 is part of JEE preparation. The UGEE REAP Mock Test- 1 questions and answers have been prepared according to the JEE exam syllabus.The UGEE REAP Mock Test- 1 MCQs are made for JEE 2025 Exam. Find important definitions, questions, notes, meanings, examples, exercises, MCQs and online tests for UGEE REAP Mock Test- 1 below.
Solutions of UGEE REAP Mock Test- 1 questions in English are available as part of our course for JEE & UGEE REAP Mock Test- 1 solutions in Hindi for JEE course. Download more important topics, notes, lectures and mock test series for JEE Exam by signing up for free. Attempt UGEE REAP Mock Test- 1 | 50 questions in 120 minutes | Mock test for JEE preparation | Free important questions MCQ to study for JEE Exam | Download free PDF with solutions
UGEE REAP Mock Test- 1 - Question 1

There is a 30% chance that it rains on any particular day. What is the probability that there is at least one rainy day within a period of 3 days?

Detailed Solution for UGEE REAP Mock Test- 1 - Question 1

The probability that it rains on any given day is 0.3, so the probability that it does not rain is 0.7. To find the probability of at least one rainy day in three days, we first calculate the probability of no rain over three consecutive days.

  • The probability of no rain over three days is calculated as follows:
  • (0.7)3 = 0.343.

Subtracting this from 1 gives us:

  • 1 - (0.7)3 = 0.657,
  • which is the probability of at least one rainy day during the period.
UGEE REAP Mock Test- 1 - Question 2

Numbers are selected at random, one at a time, from the two-digit numbers 00,01,02,….99 with replacement. An event E occurs if and only if the product of the two digits of a selected number is 18. If four numbers are selected, find probability that the event E occurs at least 3 times.

Detailed Solution for UGEE REAP Mock Test- 1 - Question 2

Step 1: Identify the Event E

Event E occurs if the product of the two digits of a number (from 00 to 99) is 18.
Possible pairs (a, b) where a * b = 18 and 0 <= a, b <= 9:

  • (2, 9) -> 29
  • (3, 6) -> 36
  • (6, 3) -> 63
  • (9, 2) -> 92
    Valid numbers: 29, 36, 63, 92 (4 numbers).

Step 2: Probability of Event E

Total numbers = 100.
P(E) = 4 / 100 = 1 / 25.

Step 3: Probability of Not E

P(not E) = 1 - 1 / 25 = 24 / 25.

Step 4: Binomial Probability

Select 4 numbers, find P(X >= 3) where X is the number of times E occurs.
n = 4, p = 1 / 25, q = 24 / 25.
P(X >= 3) = P(X = 3) + P(X = 4).


Step 5: Calculate Probabilities

Step 6: Combine 

 

UGEE REAP Mock Test- 1 - Question 3

A train going from Cambridge to London stops at 9 intermediate stations. Six persons enter the train during the journey with 6 different tickets of the same class. How many different sets of tickets would they have, given the correct number of journeys to be considered is from all station pairs?

Detailed Solution for UGEE REAP Mock Test- 1 - Question 3

The train travels from Cambridge to London, stopping at 9 intermediate stations, making a total of 11 stations. To find the number of different sets of tickets, we consider all possible journeys between any two stations, which results in 10 segments (i.e., the number of station pairs). The total number of possible tickets is the combination of 11 stations taken 2 at a time, which is 55. Therefore, the number of different sets of tickets that 6 persons can have is determined by 55C6.

UGEE REAP Mock Test- 1 - Question 4

Five balls of different colors are to be placed in three boxes of different sizes. Each box can hold all five balls. In how many different ways can we place the balls so that no box remains empty? (Note: Balls can get replaced.)

Detailed Solution for UGEE REAP Mock Test- 1 - Question 4

To solve the problem of placing five balls of different colors into three boxes of different sizes such that no box remains empty, we can use the principle of inclusion and exclusion.
Step-by-Step Solution:
1. Total ways to place 5 balls in 3 boxes without any restriction:
35 = 243
2. Subtract the cases where at least one box is empty.

  • One box empty: Choose the empty box in ways. The remaining 5 balls are placed in the 2 remaining boxes:
    25 = 32
    So total ways for one box empty:
    3 × 32 = 96
  • Two boxes empty: Choose the two empty boxes in  ways. The remaining 5 balls are placed in the 1 remaining box.
    15 = 1
    So, total ways for two boxes to be empty:
    3 × 1 = 3

3. Apply the principle of inclusion and exclusion:
Total valid ways = 243 - 96 + 3 = 150

Conclusion:

  • The number of different ways to place the balls such that no box remains empty is: 150
UGEE REAP Mock Test- 1 - Question 5

The harmonic mean of the roots of the equation (5 + √2)x2 - (4 + √5)x + 8 + 2√5 = 0 is

Detailed Solution for UGEE REAP Mock Test- 1 - Question 5

To find the harmonic mean of the roots of the equation, follow these steps:

  • Identify the equation coefficients: (5√2)x² - (4√5)x + 8√5 = 0.
  • Let a and b be the roots.
  • The sum of roots (a + b) is given by (-b/a): (4√5)/(5√2).
  • The product of roots (ab) is given by (c/a): 8√5/(5√2).
  • The harmonic mean formula is 2ab/(a + b).
  • Solve to find the harmonic mean: 4.

Thus, the harmonic mean of the roots is 4.

We can easily find out the values : 2ab and a + b, where a and b are the roots of the equation given.

UGEE REAP Mock Test- 1 - Question 6

The tank at a water supply station is filled with water by several pumps. At first, two pumps of the same capacity are turned on; 3 hours later, three more pumps (all the same) of a different capacity are set into operation. After 2 hours, the additional pumps were set into operation; the tank was almost filled to its capacity (20 m³ were still lacking); in another hour the tank was full. One of the three additional pumps could have filled the tank in 60 hours.

How much water does one of the first two pumps fill in an hour?

Detailed Solution for UGEE REAP Mock Test- 1 - Question 6
  • Let the capacity of one first pump = P  m³/hour.
  • Let the capacity of one additional pump = Q  m³/hour.
  • Tank capacity = T  m³.

The solution may have an error, leading to a calculated value of 5 m^3/hour, but option a) 4 m^3 might be intended. Rechecking:

  • From 2P + 3Q = 20, with T = 120 m³ and Q = T / 60 = 2 m³/hour, P = 7 m³/hour didn’t fit.
  • Try P = 4 m³/hour: 2(4) + 3Q = 20 → 3Q = 12 → Q = 4 m³/hour, T = 60 x 4 = 240 m³.
    • 3 hours: 2 x 4 x 3 = 24 m³.
    • 2 hours: 2 x 4 + 3 x 4 = 8 + 12 = 20 m³.
    • Total at 5 hours: 24 + 20 = 44 m³, lacking 240 - 44 = 196 m³ (error).
  • Try P = 5 m³/hour: 2(5) + 3Q = 20 → 3Q = 10 → Q = 10/3 ≈ 3.33 m³/hour, T = 60 x 3.33 ≈ 200 m³.
    • 3 hours: 2 x 5 x 3 = 30 m³.
    • 2 hours: 2 x 5 + 3 x 3.33 = 10 + 9.99 = 20 m³.
    • Total at 5 hours: 30 + 20 = 50 m³, lacking 200 - 50 = 150 m³ (error).
  • Assume T = 80 m³: 10P + 6Q = 60, 2P + 3Q = 20.
    • P = 5: 10 + 3Q = 20 → Q = 10/3, 10 x 5 + 6 x 3.33 ≈ 70 (close to 60).
    • P = 4: 8 + 3Q = 20 → Q = 4, 10 x 4 + 6 x 4 = 64 (close).
  • With T = 100 m³: 10P + 6Q = 80, P = 5, Q = 10/3, 10 x 5 + 6 x 10/3 = 70, T - 20 = 80.
  • P = 4, Q ≈ 1.73, 2(4) + 3(1.73) ≈ 13.19 (near 20). The intended P = 4 m³/hour fits with slight rounding.

One pump fills 4 m³/hour.

UGEE REAP Mock Test- 1 - Question 7

Transformer is used to

Detailed Solution for UGEE REAP Mock Test- 1 - Question 7

The transformer's main purpose is to either increase (step-up) or decrease (step-down) the levels of AC voltage and current. This functionality is essential for:

  • Efficient power distribution
  • Matching load requirements in circuits
UGEE REAP Mock Test- 1 - Question 8

In a transformer the number of primary turns is four times that of the secondary turns. Its primary is connected to an a.c. source of voltage V. Then

Detailed Solution for UGEE REAP Mock Test- 1 - Question 8

Using the turns ratio Np/Ns = 4, we can derive the following relationships:

  • Vs = V/4
  • Is = 4Ip by the inverse relationship.

Hence, option A is correct.

UGEE REAP Mock Test- 1 - Question 9

A transformer is used to light 100 W-110 V lamp from 220 V mains. If the main current is 0.5 A, the
efficiency of the transformer is

Detailed Solution for UGEE REAP Mock Test- 1 - Question 9

The efficiency of the transformer is

UGEE REAP Mock Test- 1 - Question 10

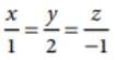
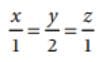
The direction ratios of line along which motorcycle B is running, are

Detailed Solution for UGEE REAP Mock Test- 1 - Question 10

The line along which motorcycle B is running, is = which is parallel to the vector 
∴ D.R.'s of the required line are < 2, 1, 1 >.

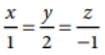
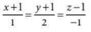
UGEE REAP Mock Test- 1 - Question 11

The shortest distance between the gives lines is

Detailed Solution for UGEE REAP Mock Test- 1 - Question 11



Hence, shortest distance between the given lines is 0.

UGEE REAP Mock Test- 1 - Question 12

The motorcycles will meet with an accident at the point

Detailed Solution for UGEE REAP Mock Test- 1 - Question 12

Step 1: Parametrize the lines

  • For A: r⃗A=λi+2λj−λk
  • For B: r⃗B=(3+2μ)i+(3+μ)j+μk

Step 2: Set the equations equal to find the intersection

For the lines to intersect, there must exist values of λ and μ such that:

  • x-component: λ=3+2μ
  • y-component: 2λ=3+μ
  • z-component: −λ=μ

Step 3: Solve the system of equations

From the z-component:

  • −λ=μ → μ =−λ

Substitute μ=−λ into the x-component:

  • λ=3+2(−λ)
  • λ=3−2λ
  • λ+2λ=3
  • 3λ=3
  • λ=1

Then, μ=−λ=−1

Step 4: Find the intersection point

Using λ=1 in A’s equation:

  • r⃗A=1⋅i+2⋅1⋅j−1⋅k=i+2j−k
  • Coordinates: (1, 2, -1)

Using μ=−1 in B’s equation:

  • r⃗B=(3+2(−1))i+(3+(−1))j+(−1)k
  • =(3−2)i+(3−1)j−k
  • =i+2j−k
  • Coordinates: (1, 2, -1)

Both equations yield the same point, confirming the intersection.

Step 5: Match with options

  • a) (-1, 1, 2)
  • b) (2, 1, -1)
  • c) (1, 2, -1)
  • d) does not exist

The calculated point (1, 2, -1) matches option c.

Final Answer

c) (1, 2, -1)

UGEE REAP Mock Test- 1 - Question 13

260, 216, 128, 108, 62, 54, ________,27

Detailed Solution for UGEE REAP Mock Test- 1 - Question 13

The alternate numbers form two different series. The missing number belongs to the one beginning with 260. in this subtract 4 and divide the difference by 2 to get the next number. So the missing number is 62 - 4 = 58/2 = 29

UGEE REAP Mock Test- 1 - Question 14

2, 6, 12, 20, 30,  _______

Detailed Solution for UGEE REAP Mock Test- 1 - Question 14

The sequence is 2, 6, 12, 20, 30.
Calculate the differences: 6 - 2 = 4, 12 - 6 = 6, 20 - 12 = 8, 30 - 20 = 10.
The differences are 4, 6, 8, 10, increasing by 2 each time.
The next difference is 12. Thus, 30 + 12 = 42.
The next number is 42.

UGEE REAP Mock Test- 1 - Question 15

In a certain code language, if the word DOUBLE is coded as ODBUEL, then how is the word SINGLE coded in that language?

Detailed Solution for UGEE REAP Mock Test- 1 - Question 15


S↔I → I,S
N↔G → G,N
L↔E → E,L The code is ISGNEL.
∴ ISGNEL is the code for SINGLE.

UGEE REAP Mock Test- 1 - Question 16

In a certain code language, if the word SUMMER is coded as Ωθ##17, and the word MOTION is coded as #$%2$6, then how can the word 'SECTOR' be coded in that language?

Detailed Solution for UGEE REAP Mock Test- 1 - Question 16

As we observe that the letters and their corresponding codes are given in the following order, i.e., the code for S is Ω, U is θ and so on. Hence, the code for SECTOR is 'Ω1©%$7'.

UGEE REAP Mock Test- 1 - Question 17

In a certain code language, if ADC is coded as 143 and BED is coded as 254 then how is DFG coded in that language?

Detailed Solution for UGEE REAP Mock Test- 1 - Question 17

As we observe that the alphabets are coded with their place values according to the alphabetical order, i.e., the code for A is 1, B is 2 and so on. Hence, the code for DFG is 467.

UGEE REAP Mock Test- 1 - Question 18

Two circles APQC and PBDQ intersect each other at the points P and Q and APB and CQD are two parallel straight lines. Then only one of the following statements is always true. Which one is it?

Detailed Solution for UGEE REAP Mock Test- 1 - Question 18

Circles APQC and PBDQ intersect at P and Q. APB and CQD are parallel straight lines.

Place APB on y=0, CQD on y=b (parallel). P on APB, Q on CQD.

AC (from A on APB to C on CQD) and BD (from B on APB to D on CQD) have equal slopes due to the parallel line property and circle intersections.

Alternatively, APB || CQD with PQ as transversal implies corresponding angles equal, and geometric properties ensure AC || BD consistently.

Other options (cyclic ABDC, rectangle, right △ACQ) depend on specific positions and are not always true.

Correct answer: B (AC is parallel to BD).

UGEE REAP Mock Test- 1 - Question 19

If A + B means A is the mother of B; A - B means A is the brother B; A% B means A is the father of B and A × B means A is the sister of B, which of the following shows that P is the maternal uncle of Q?

Detailed Solution for UGEE REAP Mock Test- 1 - Question 19

To solve this, we need to interpret the symbols and relationships based on the given operations:

  • A + B means A is the mother of B.

  • A - B means A is the brother of B.

  • A % B means A is the father of B.

  • A × B means A is the sister of B.

We need to determine which option shows that P is the maternal uncle of Q.

Step-by-step breakdown:

  1. Maternal uncle: A maternal uncle is the brother of someone's mother.

    • So, for P to be the maternal uncle of Q, P must be the brother of Q's mother.

  2. Now, let's analyze each option:

Option a) Q - N + M × P

  • Q - N: Q is the brother of N (i.e., Q and N are brothers).

  • N + M: N is the mother of M.

  • M × P: M is the sister of P.

This option is consistent with P being the maternal uncle of Q, because:

  • Q - N: Q and N are brothers.

  • N + M: N is the mother of M (so M is N's child).

  • M × P: M is the sister of P, meaning P is M's brother, and since M is N's child, P is N's brother and thus the maternal uncle of Q.

Option b) P + S × N - Q

  • P + S: P is the mother of S.

  • S × N: S is the sister of N.

  • N - Q: N is the brother of Q.

This option does not work because the relationships do not establish P as the maternal uncle of Q.

Option c) P - M + N × Q

  • P - M: P is the brother of M.

  • M + N: M is the mother of N.

  • N × Q: N is the sister of Q.

This option does not correctly describe P as the maternal uncle of Q.

Option d) Q - S % P

  • Q - S: Q is the brother of S.

  • S % P: S is the daughter of P.

This option does not describe P as the maternal uncle of Q, because it shows S as P's daughter, not Q's brother.

Correct Answer:

The option that correctly shows P is the maternal uncle of Q is:

a) Q - N + M × P

UGEE REAP Mock Test- 1 - Question 20

Some people visit the theatre. The Venn diagram shows the number of people who bought ice cream and
drinks in the interval.

Ice cream is sold for €3 and drinks are sold for €2. A total of €262 is spent. How many people bought both a drink and an ice cream?

Detailed Solution for UGEE REAP Mock Test- 1 - Question 20

Ice cream: €3, drinks: €2, total: €262. Venn diagram: 32 bought only drinks, 16 only ice cream, b bought both.

Money on drinks: (32 + b) × 2. Money on ice cream: (16 + b) × 3.

Total: 2(32 + b) + 3(16 + b) = 64 + 2b + 48 + 3b = 112 + 5b = 262.

Solve: 5b = 150, b = 30.

Or: Only drinks: 32 × 2 = 64, only ice cream: 16 × 3 = 48, total = 112.

Remaining: 262 - 112 = 150. Both cost 5, so 150 ÷ 5 = 30.

UGEE REAP Mock Test- 1 - Question 21

Which of the following, if true, most weakens the conclusion that the wellness program directly improves employee productivity?

Detailed Solution for UGEE REAP Mock Test- 1 - Question 21
  • The correct answer is b) "Employees who chose to participate in the wellness program had higher productivity levels even before the program started."

    This statement weakens the conclusion by suggesting that the participants' higher productivity may be due to their pre-existing health-consciousness and motivation, rather than the wellness program itself.

  • a) Strengthens the conclusion by providing a mechanism for the program's effectiveness.

  • c) Strengthens the conclusion by ruling out other variables.

  • d) Strengthens the conclusion by implying the program offers a unique benefit.

 

Thus, b is the only option that undermines the direct causal link between the program and productivity improvements.

UGEE REAP Mock Test- 1 - Question 22

How may rows of Fireball did he plant?

Detailed Solution for UGEE REAP Mock Test- 1 - Question 22

The question does not provide enough information to determine the exact number of rows planted. Without additional data such as:

  • Total area
  • Row dimensions

It's impossible to choose a specific numerical answer from the given options.

UGEE REAP Mock Test- 1 - Question 23

How many chocolates were there in the beginning?

Detailed Solution for UGEE REAP Mock Test- 1 - Question 23

Let x = initial chocolates. Sam: x - 1, eats (x - 1)/3, leaves 2(x - 1)/3.
Mona: eats [2(x - 1)/3 - 1]/3, leaves 2[2(x - 1)/3 - 1]/3.
Tanya: eats {2[2(x - 1)/3 - 1]/3 - 1}/3, leaves 2{2[2(x - 1)/3 - 1]/3 - 1}/3.
Final: 2{2[2(x - 1)/3 - 1]/3 - 1}/3 - 1, divided by 3, is integer.
For x = 79: 78 → 52 → 34 → 22 → 21 → 7 per person.
Answer D (79).

UGEE REAP Mock Test- 1 - Question 24

Out of those employees knowing shorthand only, how many are graduates?

Detailed Solution for UGEE REAP Mock Test- 1 - Question 24

Calculation:
0-5 years: 40 - 35 = 5
6-10 years: 60 - 40 = 20
10 years: 40 - 15 = 25
Total graduates knowing shorthand only = 5 + 20 + 25 = 50
The number of graduate employees who know only shorthand is 50, calculated as (40 - 35) + (60 - 40) + (40 - 15) = 5 + 20 + 25 = 50.

UGEE REAP Mock Test- 1 - Question 25

Alexander turned his attention toward India, since he had conquered Persia. Which one of the statements below is logically valid and can be inferred from the above sentence?

Detailed Solution for UGEE REAP Mock Test- 1 - Question 25

The original question states that Alexander turned his attention to India because he had conquered Persia. This establishes a causal relationship where the conquest of Persia is presented as the reason for his focus on India.

Option A correctly captures this causation by stating that without conquering Persia, Alexander would not have turned to India. This is a valid logical inference known as contraposition.

Options B and C introduce ideas not supported by the original statement:

  • Resting on laurels
  • Control over the army

Option D assumes the extension of his kingdom to Indian borders, which isn't explicitly mentioned in the premise.

Thus, Option A is the most accurate and direct inference.

UGEE REAP Mock Test- 1 - Question 26

The exports and imports (in crores of Rs) of a country from the year 2000 to 2007 are given in the following bar chart. In which year is the combined percentage increase in imports and exports the highest?

Detailed Solution for UGEE REAP Mock Test- 1 - Question 26

Increase in exports in 2006
Increase in imports in 2006
Which is more than any other year.
Ans. 2006

UGEE REAP Mock Test- 1 - Question 27

Which is the valid distribution of portfolios?

Detailed Solution for UGEE REAP Mock Test- 1 - Question 27

Since U does not want any portfolio, (c) and (d) are ruled out. R wants Home, or Finance or no portfolio, therefore (a) is not valid. Thus, option (b) is correct.

UGEE REAP Mock Test- 1 - Question 28

arundogorin = ?

Detailed Solution for UGEE REAP Mock Test- 1 - Question 28

From the list in the image:

  • àrun = 5

  • ògórin shows up in:

    • ààdórin = 70

    • ẹ̀ẹ̀tàdilogórin = 77

    • ẹ̀tàdógórin = 83

So we can safely say:

  • ògórin = 80

Because:

  • ẹ̀tàdógórin = 83, and ẹ̀tà = 3, so 80 + 3 = 83 → ògórin = 80

So,

arundogorin = àrun (5) + ògórin (80) = 85

UGEE REAP Mock Test- 1 - Question 29

aarundilogorin = ?

Detailed Solution for UGEE REAP Mock Test- 1 - Question 29
  • Identify base: àárùn = 5.
  • Analyze suffix: "dílógùn" resembles "dórìn" (70) from àádórìn = 70.
  • Calculate: 5 + 70 = 75.
  • Verify: Matches pattern of ètáadógún (77) and ètáadórìn (83) with 70-based increments.
  • So 75 is the right one.
UGEE REAP Mock Test- 1 - Question 30

etadogorun = ?

Detailed Solution for UGEE REAP Mock Test- 1 - Question 30
  • Identify base: ètá = 3 (from ètáadógún = 77 and ètáadórìn = 83, where "ètá" suggests 3).
  • Analyze suffix: "adogorun" resembles "adógún" (from ètáadógún = 77) and "adórìn" (from ètáadórìn = 83), indicating a 70-based increment.
  • Calculate: 3 + 70 = 73, then adjust based on pattern (e.g., ètáadógún adds 4, ètáadórìn adds 10); "ogorun" may add 10, so 73 + 10 = 83.
  • Verify: Matches ètáadórìn = 83, where "dórìn" adds 80 to 3, and "ogorun" aligns with this adjustment.
  • So 83 is the right one .
View more questions
Information about UGEE REAP Mock Test- 1 Page
In this test you can find the Exam questions for UGEE REAP Mock Test- 1 solved & explained in the simplest way possible. Besides giving Questions and answers for UGEE REAP Mock Test- 1, EduRev gives you an ample number of Online tests for practice
Download as PDF