JEE Exam  >  JEE Tests  >  UGEE REAP Mock Test- 6 - JEE MCQ

UGEE REAP Mock Test- 6 - JEE MCQ


Test Description

30 Questions MCQ Test - UGEE REAP Mock Test- 6

UGEE REAP Mock Test- 6 for JEE 2025 is part of JEE preparation. The UGEE REAP Mock Test- 6 questions and answers have been prepared according to the JEE exam syllabus.The UGEE REAP Mock Test- 6 MCQs are made for JEE 2025 Exam. Find important definitions, questions, notes, meanings, examples, exercises, MCQs and online tests for UGEE REAP Mock Test- 6 below.
Solutions of UGEE REAP Mock Test- 6 questions in English are available as part of our course for JEE & UGEE REAP Mock Test- 6 solutions in Hindi for JEE course. Download more important topics, notes, lectures and mock test series for JEE Exam by signing up for free. Attempt UGEE REAP Mock Test- 6 | 50 questions in 120 minutes | Mock test for JEE preparation | Free important questions MCQ to study for JEE Exam | Download free PDF with solutions
UGEE REAP Mock Test- 6 - Question 1

In a certain code language, if the word SINGER is codedas XNSLJW, then how is the word DANCER coded in that language?

Detailed Solution for UGEE REAP Mock Test- 6 - Question 1


∴ IFSHJW is the code for DANCER

UGEE REAP Mock Test- 6 - Question 2

Which of the following pairs of friends play football ?

Detailed Solution for UGEE REAP Mock Test- 6 - Question 2

E and A play Football.
To find out which pair of friends play football:
1. Identify who doesn't play football:

  • The tallest (unknown) does not play football.
  • B does not play football.
  • G does not play football.

2. Identify football players:

  • There are two football players.
  • E and A are not excluded from playing football.

Thus, the pair of friends playing football is: EA

UGEE REAP Mock Test- 6 - Question 3

Select the appropriate option in place of underlined part of the sentence.
Increased productivity necessary reflects greater efforts made by the employees.

Detailed Solution for UGEE REAP Mock Test- 6 - Question 3

The original sentence is “Increased productivity necessary reflects greater efforts made by the employees,” which is grammatically incorrect because “necessary” is an adjective and cannot modify the verb “reflects.”
An adverb, such as “necessarily,” is required. Option C, “Increase in productivity necessarily,” replaces the underlined part, resulting in “Increase in productivity necessarily reflects greater efforts made by the employees,” which is grammatically correct.
Thus, the correct option is C.

UGEE REAP Mock Test- 6 - Question 4

Based on this information, which of the following must be true?

Detailed Solution for UGEE REAP Mock Test- 6 - Question 4

To determine which statement must be true, we analyze all possible configurations of A, B, and C as knights or knaves, ensuring their statements are consistent.

  • Case 1: A is a knight (tells the truth).
    • A says "B is a knave," so B is a knave (lies).
    • B says "C is a knave," but since B lies, this is false, so C is not a knave, meaning C is a knight.
    • C says "A is a knight," and since C is a knight, this is true, confirming A is a knight.
    • Result: A is a knight, B is a knave, C is a knight.
    • Check options:
      • A (knight) and B (knave): different types.
      • B (knave) and C (knight): different types.
      • A (knight) and C (knight): same type.
  • Case 2: A is a knave (lies).
    • A says "B is a knave," but since A lies, this is false, so B is not a knave, meaning B is a knight.
    • B says "C is a knave," and since B is a knight, this is true, so C is a knave.
    • C says "A is a knight," but since C lies, this is false, confirming A is a knave.
    • Result: A is a knave, B is a knight, C is a knave.
    • Check options:
      • A (knave) and B (knight): different types.
      • B (knight) and C (knave): different types.
      • A (knave) and C (knave): same type.
  • Conclusion:
    • In both possible cases:
      • Case 1: A knight, B knave, C knight → A and C are the same type (knights).
      • Case 2: A knave, B knight, C knave → A and C are the same type (knaves).
    • Option C ("A and C are the same type") holds true in all scenarios, while A, B, and D do not.

Thus, the correct answer is C.

UGEE REAP Mock Test- 6 - Question 5

At the beginning of a party, each present person shook hands with all other people present, and in all there were 28 handshakes. In the midst of the party, 2 persons left due to an emergency. Now, the number of males and females present in the party was equal. At the end, each female shook hands only with every female present, and each male shook hands only with every male present. What is the total number of handshakes that took place at the party?

Detailed Solution for UGEE REAP Mock Test- 6 - Question 5

Initially, 8 people: (8/2) = 28 handshakes.
2 leave, leaving 6 (3 males, 3 females, e.g., from 4M+4F, 1M+1F leave).
At end: Females (3/2) = 3, males (3/2) = 3, total 6 handshakes.
Total: 28 + 6 = 34.

UGEE REAP Mock Test- 6 - Question 6

In a network system, each person has to include four more persons under him and such a chain should continue. The person at any level would get Re 1 commission per person below him in his group. If a person earns Rs 84, find the number of persons under him, in his group earning zero amount.

Detailed Solution for UGEE REAP Mock Test- 6 - Question 6

The total earnings are Rs 84, meaning there are 84 people below. The structure is as follows:

  • Level 1: 4 people (earn Re 1 each for those below)
  • Level 2: Each of the 4 has 4, totaling 16
  • Level 3: 1614 = 64

People at Level 3 earn zero as they have no one under them. Thus, 64 is correct.

The answer matches option B, so no changes are needed to the question or options.

UGEE REAP Mock Test- 6 - Question 7

If the objective function of the given is maximise z = 22x + 18y, then its optimal value occur at

Detailed Solution for UGEE REAP Mock Test- 6 - Question 7

At (0, 0), z = 0 
At (16, 0), z = 352
At (8, 12), z = 392
At (0, 20), z = 360
It can be observed that max z occur at (8, 12). Thus, z will attain its optimal value at (8, 12).

UGEE REAP Mock Test- 6 - Question 8
If a linear programming problem (LPP) admits an optimal solution at two consecutive vertices of a feasible region, then
Detailed Solution for UGEE REAP Mock Test- 6 - Question 8

The optimal solution occurs at every point on the line joining these two points.

  • If an LPP (Linear Programming Problem) has optimal solutions at two consecutive vertices, it means the entire line segment between these vertices is optimal.
  • This happens because the objective function has the same value at both vertices, making every point along the line equally optimal.
UGEE REAP Mock Test- 6 - Question 9

In a certain code language, if the word CORRECT is coded as ORCCRET, then what is the code for the word KINGDOM?

Detailed Solution for UGEE REAP Mock Test- 6 - Question 9

The code is obtained by rearranging the letters in the order of positions 2, 4, 6, 1, 3, 5, 7 of the original word.
For CORRECT (C, O, R, R, E, C, T), this gives O (2), R (4), C (6), C (1), R (3), E (5), T (7) → ORCCRET.
For KINGDOM (K, I, N, G, D, O, M), this gives I (2), G (4), O (6), K (1), N (3), D (5), M (7) → IGOKNDM, which is option A.

UGEE REAP Mock Test- 6 - Question 10

Despite the new medicines _________ in treating diabetes, it is not _________ widely.

Detailed Solution for UGEE REAP Mock Test- 6 - Question 10

The sentence is looking for a contrast as it is joined by the conjunction ‘despite’. The best pair of words that can fit the context of the sentence is ‘effectiveness – prescribed’. Though the medicine is ‘effective’ in treating diabetes, it is not being ‘prescribed’ widely. A new medicine cannot have a ‘prescription’ or ‘availability’ for treating a disease. ‘Proscribed’ means forbidden by law. In case we use ‘acceptance – proscribed’, the sentence will not make any sense because it will mean that though the medicine is accepted widely, it is not forbidden by law.

UGEE REAP Mock Test- 6 - Question 11

The students _________ the teacher on teachers’ day for twenty years of dedicated teaching.

Detailed Solution for UGEE REAP Mock Test- 6 - Question 11

Felicitated is correct because it means to express congratulations or good wishes. This fits the context of honouring the teacher on Teacher's Day.

UGEE REAP Mock Test- 6 - Question 12

An athlete runs to and fro between points A and B at a speed of 10 km/h. A second athlete simultaneously runs from point B to A and back at a speed of 15 km/h. If they cross each other 12 min after the start, after how much time will they cross each other again?

Detailed Solution for UGEE REAP Mock Test- 6 - Question 12

Let the distance between points A and B be d km.
Since both athletes start simultaneously and move towards each other, their relative speed is 10 + 15 = 25 km/h.
They meet after 12 minutes, which is 12/60 = 0.2 hours.
Thus, the distance d = 25 × 0.2 = 5 km.
For two athletes moving back and forth between A and B, the time between consecutive meetings is 0.4 hours = 24 minutes.
Since they first meet at 12 minutes, the next meeting is at 12 + 24 = 36 minutes from the start.
Alternatively, at t = 36 minutes = 0.6 hours: Athlete 1 (speed 10 km/h, starting at A) reaches B (5 km) in 0.5 hours, then moves towards A for 0.1 hours, covering 1 km, so position = 5 - 1 = 4 km from A.
Athlete 2 (speed 15 km/h, starting at B) reaches A in 5/15 = 1/3 hours, then moves towards B for 0.6 - 1/3 = 4/15 hours, covering 15 x 4/15 = 4 km from A. Both are at 4 km from A at 36 minutes, confirming they meet again.
Therefore, the time from the start until they cross each other again is 36 minutes and the time after which they will meet again is 24 mins.

UGEE REAP Mock Test- 6 - Question 13
In a test of 10 multiple choice questions, each having 4 alternative answers, what is the total number of ways to select answers for all the questions?
Detailed Solution for UGEE REAP Mock Test- 6 - Question 13

Each of the 10 questions has 4 possible answers.

  • Each question can be answered in one of 4 ways.
  • Thus, the total number of ways to answer all questions is 410.
UGEE REAP Mock Test- 6 - Question 14

The midpoints of the adjacent sides of a square are joined. Again the midpoints of the adjacent sides of the newly formed figure are connected, and this process is repeated again and again. Calculate the sum of the areas of all such figures, given that the diagonal of outermost square is 6√2 cm.

Detailed Solution for UGEE REAP Mock Test- 6 - Question 14

The problem is about a square where, in each step, we draw a new square by joining the midpoints of the sides of the previous square. The goal is to find the sum of the areas of all these squares.

Step 1: Area of the outermost square

The diagonal of the outermost square is given as 6√2 cm. In a square, the diagonal (d) is related to the side length (s) by the formula:

d = s√2

Here, d = 6√2, so:

6√2 = s√2

Cancel out the √2 on both sides:

s = 6 cm

Now, the area of the outermost square is:

Area = side × side = 6 × 6 = 36 cm²

Step 2: Area of the next square

The next square is formed by joining the midpoints of the sides of the outer square. The side of this new square will be s / √2 (since the diagonal of this square is the same as the side of the previous square).

So, the side length of the next square is:

Side of new square = 6 / √2 = 6 × (1/√2) = 6 / √2 = 3√2 cm

The area of the next square is:

Area = (3√2)² = 9 × 2 = 18 cm²

Step 3: Sum of areas

We can see that the area of each successive square is half of the previous one. So, we have:

  • First square: 36 cm²

  • Second square: 18 cm²

  • Third square: 9 cm²

  • Fourth square: 4.5 cm²

  • And so on...

This forms a geometric series where the first term (a) is 36, and the common ratio (r) is 1/2.

The sum of an infinite geometric series is given by:

Sum = a / (1 - r)

Here, a = 36 and r = 1/2, so:

Sum = 36 / (1 - 1/2) = 36 / (1/2) = 36 × 2 = 72 cm²

Final Answer:

The sum of the areas of all the squares is 72 cm².

UGEE REAP Mock Test- 6 - Question 15

Solar radiation is

Detailed Solution for UGEE REAP Mock Test- 6 - Question 15

Solar radiation consists of electromagnetic waves, which are transverse in nature. This means their electric and magnetic fields:

  • Oscillate perpendicular to the direction of propagation.

Therefore, the correct answer is A.

UGEE REAP Mock Test- 6 - Question 16

What is the cause of greenhouse effect?

Detailed Solution for UGEE REAP Mock Test- 6 - Question 16

The greenhouse effect is primarily caused by greenhouse gases such as carbon dioxide and methane. These gases:

  • Absorb infrared radiation emitted from the Earth's surface.
  • Prevent this radiation from escaping into space.
  • Trap heat, which leads to warming the planet.
UGEE REAP Mock Test- 6 - Question 17

Ozone is found in

Detailed Solution for UGEE REAP Mock Test- 6 - Question 17

The ozone layer is primarily located in the stratosphere, approximately 15-30 kilometres above Earth's surface. It is formed when ultraviolet radiation causes oxygen molecules to split and recombine into ozone (O3), playing a crucial role in absorbing harmful UV-B and UV-C rays, thus protecting life on Earth.

While small amounts of ozone exist in the troposphere, the stratospheric ozone layer is:

  • The densest
  • The most significant
UGEE REAP Mock Test- 6 - Question 18

Three horses are grazing within a semi-circular field.
In the diagram given below, AB is the diameter of the semi-circular field with centre at O. Horses are tied up at P, R and S such that PO and RO are the radii of semi-circles with centres at P and R respectively and S is the centre of the circle touching the two semi-circles with diameters AO and OB. The horses tied at P and R can graze within the respective semi-circle and the horse tied at S can graze within the circle centered at S. The percentage of the area of the semi-circles with diameter AB that cannot be grazed by the horses is nearest to

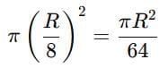
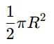
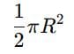
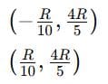
Detailed Solution for UGEE REAP Mock Test- 6 - Question 18


The large semicircle has a radius R (diameter AB = 2R) with an area:

Point S, at (0, 7R/8), is the center of a circle with radius R/8, grazing an area:

Horses at points P and R are tied at the tangency points of this circle with semicircles of diameters AO and OB.
Centers at 
Radius R/2
Approximate positions:

Each horse grazes a semicircle with radius:

Area of each grazed semicircle:

The total grazed area, after adjusting for overlaps, is approximately 72% of:

So, the un-grazed area is 28% of  which corresponds to option B.

UGEE REAP Mock Test- 6 - Question 19

If "METER" is coded as "1" then how will "ROGER" be coded as?

Detailed Solution for UGEE REAP Mock Test- 6 - Question 19

M is 13th letter in the English alphabetical order.
E is 5th letter, T is 20th letter, and R is 18th letter.

13 + 18 = 31
5 + 20 + 5 = 30
31 - 30 = 1
Similarly,
In ROGER,
R is 18th letter, O is 15th letter, G is 7th letter and E is 5th letter.

18 + 18 = 36
15 + 7 + 5 = 27
36 - 27 = 9
Hence, code for "ROGER" is 9.

UGEE REAP Mock Test- 6 - Question 20

Direction: Read the passage below and solve the questions based on it
In the figure given above, each hexagon is regular and has side measuring ‘a’ cm. It is also given that the last row has ‘n’ such regular hexagons and all the hexagons are inscribed by circles.


Suppose the above figure is a 3-D figure and each hexagon is inscribed by a sphere of maximum volume. The height of the hexagonal figure is just enough to contain the sphere, then find the volume of the shaded region (there are ‘n’ hexagonal figures of side ‘a’ in the last row).

Detailed Solution for UGEE REAP Mock Test- 6 - Question 20

UGEE REAP Mock Test- 6 - Question 21

The unruly crowd demanded that the accused be ______ without trial.

Detailed Solution for UGEE REAP Mock Test- 6 - Question 21

The correct word to complete the sentence is 'hanged' because it correctly uses the past participle form in passive voice for executing a person.

UGEE REAP Mock Test- 6 - Question 22

What is production requirement for March?

Detailed Solution for UGEE REAP Mock Test- 6 - Question 22
  • Safety Stock for March = 20% × 400 = 80 units

  • Opening Stock for March = 100 units

  • Required Production for March = (400 + 80) - 100 = 380 units

UGEE REAP Mock Test- 6 - Question 23

In which month production requirement is highest?

Detailed Solution for UGEE REAP Mock Test- 6 - Question 23

Based on the table provided, the production requirement for each month is calculated as Demand + Safety Stock - Opening Stock. Using the data:

  • January: 300 + 60 - 50 = 310
  • February: 500 + 100 - 60 = 540
  • March: 400 + 80 - 100 = 380
  • April: 100 + 20 - 80 = 40
  • May: 200 + 40 - 20 = 220
  • June: 300 + 60 - 40 = 320

Thus, the highest production requirement is in February.

UGEE REAP Mock Test- 6 - Question 24

In which month Opening stock is lowest?

Detailed Solution for UGEE REAP Mock Test- 6 - Question 24

The opening stock for each month is the safety stock from the previous month:

  • January: 50
  • February: 60 (20% of 300)
  • March: 100 (20% of 500)
  • April: 80 (20% of 400)
  • May: 20 (20% of 100)
  • June: 40 (20% of 200)

Therefore, the lowest opening stock is in May.

UGEE REAP Mock Test- 6 - Question 25

The ninth and the tenth of this month are Monday and Tuesday __________.

Detailed Solution for UGEE REAP Mock Test- 6 - Question 25

The ninth and the tenth of this month are Monday and Tuesday, respectively.

UGEE REAP Mock Test- 6 - Question 26

A locker can be opened by dialing a fixed three-digit code between 000 and 999. A stranger, who does not know the code, tries to open the locker by dialing three digits at random. Find the probability that the stranger succeeds at the sᵗʰ trial. (Assume that the stranger does not repeat unsuccessful combinations.)

Detailed Solution for UGEE REAP Mock Test- 6 - Question 26

With 1000 possible codes and no repetition, the correct code is equally likely to be any of the 1000 attempts.
Thus, the probability of success exactly on the sth trial is 1/1000 for 1 ≤ s ≤ 1000.

UGEE REAP Mock Test- 6 - Question 27

The strength of the earth's magnetic field varies from place to place on the earth’s surface, its value being of the order of 

Detailed Solution for UGEE REAP Mock Test- 6 - Question 27

The Earth's magnetic field strength typically ranges between 25 and 65 microteslas. This is equivalent to approximately 2.5 × 10-5 T to 6.5 × 10-5 T.

Among the given options, the correct order of magnitude for the Earth's magnetic field is:

  • 10-5 T (option C)
UGEE REAP Mock Test- 6 - Question 28

The value of angle of dip is zero at the magnetic equator because on it

Detailed Solution for UGEE REAP Mock Test- 6 - Question 28

At equator vertical component of magnetic fields is zero.

UGEE REAP Mock Test- 6 - Question 29
The angle of dip at a certain place, where the horizontal and vertical components of the earth's magnetic field are equal, is
Detailed Solution for UGEE REAP Mock Test- 6 - Question 29

Solution:

  • The horizontal and vertical components of the Earth's magnetic field are equal.
  • This means that tan δ (the tangent of the angle of dip) is equal to 1.
  • Thus, the angle of dip δ is 45°.
UGEE REAP Mock Test- 6 - Question 30

In a certain code language, 'AROUND' is coded as '5218241214' and 'FIX' is coded as '63624'. How will 'PLASTIC' be coded in that language?

Detailed Solution for UGEE REAP Mock Test- 6 - Question 30

Here consonants of the words are coded according to their positional values in English alphabetical series.

  • Consonants → same positional value

The Vowels are coded according to the opposite letter place value × 2.

  • Vowels → Opposite letter positional value × 2.

For AROUND = 52182412144

Similarly, 
For PLASTIC = ?

Hence, '1612521920363' is the correct answer.

View more questions
Information about UGEE REAP Mock Test- 6 Page
In this test you can find the Exam questions for UGEE REAP Mock Test- 6 solved & explained in the simplest way possible. Besides giving Questions and answers for UGEE REAP Mock Test- 6, EduRev gives you an ample number of Online tests for practice
Download as PDF