You can prepare effectively for Class 10 Mathematics (Maths) Class 10 with this dedicated MCQ Practice Test (available with solutions) on the important topic of "Case Based Questions Test: Coordinate Geometry". These 10 questions have been designed by the experts with the latest curriculum of Class 10 2026, to help you master the concept.
Test Highlights:
Sign up on EduRev for free to attempt this test and track your preparation progress.
Direction: Read the following text and answer the below questions:
The class X students school in Krishnagar has been allotted a rectangular plot of land for their gardening activity. Saplings of Gulmohar are planted on the boundary at a distance of 1 m from each other. There is a triangular grassy lawn in the plot as shown in the figure. The students are to sow seeds of flowering plants on the remaining area of the plot.

Calculate the area of the triangle if A is the origin.
Detailed Solution: Question 1
Direction: Read the following text and answer the below questions:
The class X students school in Krishnagar have been allotted a rectangular plot of land for their gardening activity. Saplings of Gulmohar are planted on the boundary at a distance of 1 m from each other. There is triangular grassy lawn in the plot as shown in the figure. The students are to sow seeds of flowering plants on the remaining area of the plot.

What will be the coordinates of R, if C is the origin?
Detailed Solution: Question 2
Direction: Read the following text and answer the below questions:
The class X students school in Krishnagar have been allotted a rectangular plot of land for their gardening activity. Saplings of Gulmohar are planted on the boundary at a distance of 1 m from each other. There is triangular grassy lawn in the plot as shown in the figure. The students are to sow seeds of flowering plants on the remaining area of the plot.

Calculate the area of the triangles if A is the origin.
Detailed Solution: Question 3
Direction: Read the following text and answer the below questions:
The class X students school in Krishnagar have been allotted a rectangular plot of land for their gardening activity. Saplings of Gulmohar are planted on the boundary at a distance of 1 m from each other. There is triangular grassy lawn in the plot as shown in the figure. The students are to sow seeds of flowering plants on the remaining area of the plot.

Taking A as origin, find the coordinates of P.
Detailed Solution: Question 4
Direction: Read the following text and answer the below questions:
The class X students school in Krishnagar have been allotted a rectangular plot of land for their gardening activity. Saplings of Gulmohar are planted on the boundary at a distance of 1 m from each other. There is triangular grassy lawn in the plot as shown in the figure. The students are to sow seeds of flowering plants on the remaining area of the plot.

What will be the coordinates of Q, if C is the origin ?
Detailed Solution: Question 5
Direction: Read the following text and answer the below questions:
Aayush Starts walking from his house to office. Instead of going to the office directly, he goes to a bank first, from there to his daughter's school and then reaches the office.
(Assume that all distances covered are in straight lines). If the house is situated at (2, 4), bank at (5, 8), school at (13, 14) and office at (13, 26) and coordinates are in km.

What is the extra distance travelled by Aayush ?
Detailed Solution: Question 6
Direction: Read the following text and answer the below questions:
Aayush Starts walking from his house to office. Instead of going to the office directly, he goes to a bank first, from there to his daughter's school and then reaches the office.
(Assume that all distances covered are in straight lines). If the house is situated at (2, 4), bank at (5, 8), school at (13, 14) and office at (13, 26) and coordinates are in km.

What is the distance between Daughter's School and bank ?
Detailed Solution: Question 7
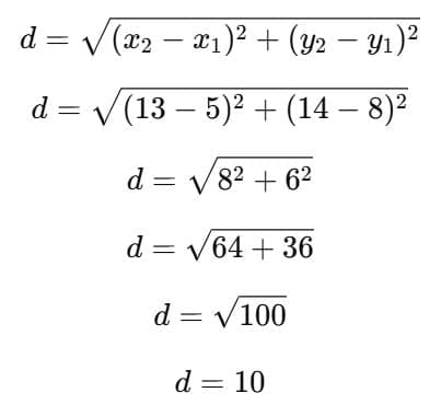
Direction: Read the following text and answer the below questions:
Aayush Starts walking from his house to office. Instead of going to the office directly, he goes to a bank first, from there to his daughter's school and then reaches the office.
(Assume that all distances covered are in straight lines). If the house is situated at (2, 4), bank at (5, 8), school at (13, 14) and office at (13, 26) and coordinates are in km.

What is the total distance travelled by Aayush to reach the office ?
Detailed Solution: Question 8
Direction: Read the following text and answer the below questions:
Aayush Starts walking from his house to office. Instead of going to the office directly, he goes to a bank first, from there to his daughter's school and then reaches the office.
(Assume that all distances covered are in straight lines). If the house is situated at (2, 4), bank at (5, 8), school at (13, 14) and office at (13, 26) and coordinates are in km.

What is the distance between house and bank ?
Detailed Solution: Question 9
Direction: Read the following text and answer the below questions:
Aayush Starts walking from his house to office. Instead of going to the office directly, he goes to a bank first, from there to his daughter's school and then reaches the office.
(Assume that all distances covered are in straight lines). If the house is situated at (2, 4), bank at (5, 8), school at (13, 14) and office at (13, 26) and coordinates are in km.

What is the distance between house and office ?
Detailed Solution: Question 10
118 videos|526 docs|45 tests |