CUET Exam  >  CUET Tests  >  Mathematics: CUET Mock Test - 7 - CUET MCQ

Mathematics: CUET Mock Test - 7 - CUET MCQ


Test Description

30 Questions MCQ Test - Mathematics: CUET Mock Test - 7

Mathematics: CUET Mock Test - 7 for CUET 2025 is part of CUET preparation. The Mathematics: CUET Mock Test - 7 questions and answers have been prepared according to the CUET exam syllabus.The Mathematics: CUET Mock Test - 7 MCQs are made for CUET 2025 Exam. Find important definitions, questions, notes, meanings, examples, exercises, MCQs and online tests for Mathematics: CUET Mock Test - 7 below.
Solutions of Mathematics: CUET Mock Test - 7 questions in English are available as part of our course for CUET & Mathematics: CUET Mock Test - 7 solutions in Hindi for CUET course. Download more important topics, notes, lectures and mock test series for CUET Exam by signing up for free. Attempt Mathematics: CUET Mock Test - 7 | 50 questions in 60 minutes | Mock test for CUET preparation | Free important questions MCQ to study for CUET Exam | Download free PDF with solutions
Mathematics: CUET Mock Test - 7 - Question 1

If Rs. x is the monthly increase in subscription amount, then the number of subscribers are

Detailed Solution for Mathematics: CUET Mock Test - 7 - Question 1

Calculation:
Given, cable network provider in a small town has 500 subscribers nd he used to collect Rs. 300 per month from each subscriber.
Now, for every increase of Rs. 1, one subscriber will discontinue the service.
⇒ If Rs. x is the monthly increase in subscription amount, then x subscribers will discontinue the service.
⇒ Number of subscribers remaining = 500 - x
∴ If Rs. x is the monthly increase in subscription amount, then the number of subscribers are (500 - x)

Mathematics: CUET Mock Test - 7 - Question 2

Total revenue 'R' is given by (in Rs.)

Detailed Solution for Mathematics: CUET Mock Test - 7 - Question 2

Calculation:
According to the question, for every increase of Rs. 1, one subscriber will discontinue the service.
⇒ If Rs. x is the monthly increase in subscription amount, then x subscribers will discontinue the service.
⇒ Number of subscribers = 500 - x
⇒ Subscription amount = 300 + x
⇒ Total revenue, R = (500 - x)(300 + x)

Mathematics: CUET Mock Test - 7 - Question 3

The number of subscribers which gives the maximum revenue is

Detailed Solution for Mathematics: CUET Mock Test - 7 - Question 3

Calculation:

Let the increase in monthly charge is x
Total Revenue, R = (500 - x)(300 + x)
⇒ R = 150000 + 200x - x2
For maximum revenue, dR/dx = 0 and d2R/dx2 < 0
⇒ 0 + 200 - 2x = 0
⇒ x = 100
Also, d2R/dx2 = -2 < 0
⇒ x = 100 is a maxima.
∴ Number of subscribers = 500 - x = 500 - 100 = 400
∴ The number of subscribers which gives the maximum revenue is 400.

Mathematics: CUET Mock Test - 7 - Question 4

What is increase in changes per subscriber that yields maximum revenue?

Detailed Solution for Mathematics: CUET Mock Test - 7 - Question 4

Calculation:
Total Revenue, R = (500 - x)(300 + x)
⇒ R = 150000 + 200x - x2
For maximum revenue, dR/dx = 0 and d2R/dx2 < 0
⇒ 0 + 200 - 2x = 0
⇒ x = 100
Also, d2R/dx2 = -2 < 0
⇒ x = 100 is a maxima.
∴ Increase in changes per subscriber that yields maximum revenue is 100.

Mathematics: CUET Mock Test - 7 - Question 5

The maximum revenue generated is

Detailed Solution for Mathematics: CUET Mock Test - 7 - Question 5

Calculation:
Total Revenue, R = (500 - x)(300 + x)
⇒ R = 150000 + 200x - x2
For maximum revenue, dR/dx = 0 and d2R/dx2 < 0
⇒ 0 + 200 - 2x = 0
⇒ x = 100
Also, d2R/dx2 = -2 < 0
⇒ x = 100 is a maxima.
∴ Maximum revenue = R (at x = 100)
= (500 - 100)(300 + 100)
= 400 × 400
= Rs. 160000
∴ The maximum revenue generated is Rs. 160000.

Mathematics: CUET Mock Test - 7 - Question 6
The general solution of the differential equation ydx − xdy = 0 is
Detailed Solution for Mathematics: CUET Mock Test - 7 - Question 6

Concept:

Differential Equations by Variable Separable Method

If the coefficient of dx is the only function of x and coefficient of dy is only a function of y in the given differential equation then we can separate both dx and dy terms and integrate both separately.

Calculation:

Given: ydx - xdy = 0

xdy = ydx

Integrating both sides, we get

Since ln x + ln y = ln (xy) will be:

⇒ y = cx

Solution of the differential equation represents straight line passing through origin.

Mathematics: CUET Mock Test - 7 - Question 7
If are coplanar, then what is equal to?
Detailed Solution for Mathematics: CUET Mock Test - 7 - Question 7

CONCEPT:

Properties of Scalar Triple Product

  • [a b c] = [b c a] = [c a b]
  • [a b c] = - [b a c] = - [c b a] = - [a c b]
  • [(a + b) c d] = [a c d] + [b c d]
  • [λa, b c] = λ [a b c]
  • Three non-zero vectors are coplanar if and only if [a b c] = 0

CALCULATION:

Given: are coplanar i.e

and

As we know that, [a b c] = [b c a] = [c a b]

As we know that, [λa, b c] = λ [a b c]

As we know that, vectors are coplanar if and only if [a b c] = 0

Hence, correct option is 3.

Mathematics: CUET Mock Test - 7 - Question 8

If A and B are two events such that P(A⋃B) = 5/6, P(A⋂B) = 1/3, P(B) = ½, then the events A and B are

Detailed Solution for Mathematics: CUET Mock Test - 7 - Question 8

P (A⋃B) = P (A) + P (B) – P (A⋂B)


= 4/6
= 2/3
We have, P(A).P(B) = P(A⋂B), for independent events.
P(A).P(B) = (2/3) × (1/2) = 1/3
This is equal to P(A⋂B).
Thus events A and B are independent events.
[Note that, for mutually exclusive events, P (A⋂B) = 0. Also, for mutually exhaustive events, P (A⋃B) = 1. Both of these conditions are not true here.]

Mathematics: CUET Mock Test - 7 - Question 9

If A, B, C are three mutually exclusive and exhaustive events such that if P(B) = 3/2 P(A) and P(C) = 1/2 P(B), then P(A) = _______

Detailed Solution for Mathematics: CUET Mock Test - 7 - Question 9

Given:
A, B, and C are three mutually exclusive and exhaustive events such that if P(B) = 3/2 P(A) and P(C) = 1/2 P(B).

Concept:
If A, B, and C are three mutually exclusive and exhaustive events then,
P (A U B U C) = P(A) + P(B) + P(C) = 1

Explanation:
According to the question,
A, B, and C are three mutually exclusive and exhaustive events such that if P(B) = 3/2 P(A) and P(C) = 1/2 P(B).


Also,
P (A U B U C) = 1


Hence, option 4 is correct.

Mathematics: CUET Mock Test - 7 - Question 10

If A and B are two events such that P(A) ≠ 0 and P(A) ≠ 1, then

Detailed Solution for Mathematics: CUET Mock Test - 7 - Question 10

Mathematics: CUET Mock Test - 7 - Question 11

The given graph is for which equation?

Detailed Solution for Mathematics: CUET Mock Test - 7 - Question 11

There are 2 curves.

The black curve is the graph of y = cotx
The red curve is the graph for y = cot-1x
This curve does not pass through the origin but approaches to infinity in the direction of x axis only.
The part of the curve that lies in the (x, y) coordinate gradually meets to the x-axis.
This graph lies above +x axis and –x axis.

Mathematics: CUET Mock Test - 7 - Question 12

What is the order of the matrix A= 

Detailed Solution for Mathematics: CUET Mock Test - 7 - Question 12

The given matrix A=  has 3 rows and 2 columns. Therefore, the order of the matrix is 3×2.

Mathematics: CUET Mock Test - 7 - Question 13

Which of the following is not a type of matrix?

Detailed Solution for Mathematics: CUET Mock Test - 7 - Question 13

Minor matrix is not a type of matrix. Scalar, diagonal, symmetric are various type of matrices.

Mathematics: CUET Mock Test - 7 - Question 14

Evaluate 

Detailed Solution for Mathematics: CUET Mock Test - 7 - Question 14


Mathematics: CUET Mock Test - 7 - Question 15

(a1, a2) ∈R implies that (a2, a1) ∈ R, for all a1, a2∈A. This condition is for which of the following relations?

Detailed Solution for Mathematics: CUET Mock Test - 7 - Question 15

The above is a condition for a symmetric relation.
For example, a relation R on set A = {1,2,3,4} is given by R={(a,b):a+b=3, a>0, b>0} 1+2 = 3, 1>0 and 2>0 which implies (1,2) ∈ R.
Similarly, 2+1 = 3, 2>0 and 1>0 which implies (2,1)∈R. Therefore both (1, 2) and (2, 1) are converse of each other and is a part of the relation. Hence, they are symmetric.

Mathematics: CUET Mock Test - 7 - Question 16

The given graph is for which equation?

Detailed Solution for Mathematics: CUET Mock Test - 7 - Question 16

The given form of equation can be written as,

The green curve is the graph of y = sinx
The blue curve is the graph for y = |sinx|
As sinx is enclosed by a modulus so the curve that lies in the negative y axis will come to the positive y axis.

Mathematics: CUET Mock Test - 7 - Question 17

Given a matrix A=  which of the elements aij follows the condition i=j.

Detailed Solution for Mathematics: CUET Mock Test - 7 - Question 17

The elements following the condition i=j will have the same row number and column number. The elements are a11, a22, a33 which in the matrix A are 2, 9 and 7 respectively.

Mathematics: CUET Mock Test - 7 - Question 18

Find a,b,c,d if  are equal matrices.

Detailed Solution for Mathematics: CUET Mock Test - 7 - Question 18

The two matrices  and  are equal matrices. Comparing the two matrices, we get a=3, b+c=2, c+d=3, b=-1
Solving the above equations, we get a=3, b=-1, c=3, d=0.

Mathematics: CUET Mock Test - 7 - Question 19

Find the value of x if 

Detailed Solution for Mathematics: CUET Mock Test - 7 - Question 19

Given that 
⇒3x2-2x=5(2)-3(3)
⇒3x2-2x=1
Solving for x, we get
x=1, –(1/3).

Mathematics: CUET Mock Test - 7 - Question 20

Evaluate 

Detailed Solution for Mathematics: CUET Mock Test - 7 - Question 20

Expanding along R1, we get


Δ=3(-15+8)+(18-12)+3(-12+15)
Δ=3(-7)+6+9=-6.

Mathematics: CUET Mock Test - 7 - Question 21

What is the value of 

Detailed Solution for Mathematics: CUET Mock Test - 7 - Question 21

Applying R1 → R1 + R2 + R3

This is equal to,

Applying C1 → C1 – C2 and C2 → C2 – C3

On simplifying, we get

= (Σab)3

Mathematics: CUET Mock Test - 7 - Question 22

f(x) = , Check if the follwing statement is true or false. Also give the correct relation among a, b and c

Detailed Solution for Mathematics: CUET Mock Test - 7 - Question 22

Here, f(x) = 
Multiplying and diving by abc,

On evaluating and simplifying both determinants, we get the following relation
= (a – b)(b – c)(c – a)

Mathematics: CUET Mock Test - 7 - Question 23

Which of the following is the formula for finding the area of a triangle with the vertices (x1,y1), (x2,y2), (x3,y3).

Detailed Solution for Mathematics: CUET Mock Test - 7 - Question 23

The area of a triangle with vertices (x1,y1), (x2,y2), (x3,y3) is given by

Mathematics: CUET Mock Test - 7 - Question 24

Which of the following is the formula for cofactor of an element aij?

Detailed Solution for Mathematics: CUET Mock Test - 7 - Question 24

The cofactor of an element aij, denoted by Aij is given by
Aij=(-1)i+j Mij, where Mij is the minor of the element aij.

Mathematics: CUET Mock Test - 7 - Question 25

Evaluate 

Detailed Solution for Mathematics: CUET Mock Test - 7 - Question 25



Δ=1(0-0)-0(0-1)+1(0-0)
Δ=0-0+0=0.

Mathematics: CUET Mock Test - 7 - Question 26

If the system of equation 2x + 5y + 8z = 0, x + 4y + 7z = 0, 6x + 9y + αz = 0 has a non trivial solution then what is the value of α?

Detailed Solution for Mathematics: CUET Mock Test - 7 - Question 26

Mathematics: CUET Mock Test - 7 - Question 27

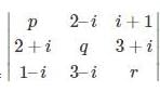
What will be the value of f(x) =  (p,q,r are real)

Detailed Solution for Mathematics: CUET Mock Test - 7 - Question 27

We are given a 3x3 determinant involving complex numbers:

f(x) = 

We are asked to find the nature of the value of this determinant — whether it is real, imaginary, zero, or cannot be predicted.

Step-by-step reasoning:

The determinant contains complex numbers like:

  • 2 - i and 2 + i

  • i + 1 and 1 - i

  • 3 + i and 3 - i

Notice that many of these elements are complex conjugates of each other. This symmetry in the matrix leads to cancellations of imaginary parts when you expand the determinant.

This is a typical behavior in matrices with complex-conjugate symmetry — their determinants simplify to real numbers.

Final Answer:

Option A: Real

Mathematics: CUET Mock Test - 7 - Question 28

What is the area of the triangle whose vertices are (0,1), (0,2), (1,5)?

Detailed Solution for Mathematics: CUET Mock Test - 7 - Question 28

The area of the triangle with vertices (0,1), (0,2), (1,5) is given by

Expanding along C1, we get
Δ=1/2{(0-0+1(1-2)}=1/2|-1|=1/2 sq.units.

Mathematics: CUET Mock Test - 7 - Question 29

What is the minor of the element 5 in the determinant Δ= 

Detailed Solution for Mathematics: CUET Mock Test - 7 - Question 29

The minor of element 5 in the determinant Δ=  is the determinant obtained by deleting the row and column containing element 5.
∴ M12 =2(4)-7(6)=-34.

Mathematics: CUET Mock Test - 7 - Question 30

Evaluate |A|2-5|A|+1, if A= 

Detailed Solution for Mathematics: CUET Mock Test - 7 - Question 30

Given that, A= 
|A|=(7(5)-5(4))=35-20=15
|A|2-5|A|+1=(15)2-5(15)+1=225-75+1=151.

View more questions
Information about Mathematics: CUET Mock Test - 7 Page
In this test you can find the Exam questions for Mathematics: CUET Mock Test - 7 solved & explained in the simplest way possible. Besides giving Questions and answers for Mathematics: CUET Mock Test - 7, EduRev gives you an ample number of Online tests for practice
Download as PDF