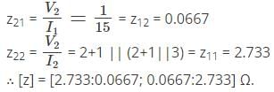
For the circuit given below, the value of z21 parameter is ____________

Consider a cube having resistance R on each of its sides. For this non-planar graph, the number of independent loop equations are _______________
Consider a series RL circuit in which current 12 A is flowing through R and current 16 A is flowing through L. The current supplied by the sinusoidal current source I is ____________
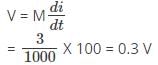
Two coils X and Y have self-inductances of 5 mH and 10 mH and mutual inductance of 3 mH. If the current in coils X change at a steady rate of 100 A/s, the emf induced in coil Y is ____________
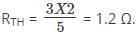
The Thevenin’s equivalent of a network is a 10 V source in series with 2 Ω resistances. If a 3 Ω resistance is connected across the Thevenin’s equivalent is _____________
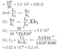
A parallel RLC circuit with R1 = 20, L1 = 1/100 and C1 = 1/200 is scaled giving R2 = 104, L2 = 10-4 and C2, the value of C2 is ___________
Consider an RL series circuit having resistance R = 3 Ω, inductance L = 3 H and is excited by 6V. The current after a long time after closing of switch is ____________
For the circuit given below, the value of z11 parameter is ____________.

Given two voltages, 50 ∠0 V and 75 ∠- 60° V. The sum of these voltages is ___________
Consider a circuit having resistances 16 Ω and 30 Ωis excited by a voltage V. A variable resistance R is connected across the 16 Ω resistance. The power dissipated in 30 Ω resistance will be maximum when value of R is __________
A 50 Hz current has an amplitude of 25 A. The rate of change of current at t = 0.005 after i = 0 and is increasing is ____________
A magnetic circuit has an iron length of 100 cm and air gap length 10 cm. If μr = 200 then which of the following is true?
Barletts Bisection Theorem is applicable to ___________
The energy stored in a coil is 108 J. The power dissipated instantaneously across the blades of switch after it is opened in 10 ms is ____________
If the diameter of a wire is doubled, the current carrying capacity of the wire is ___________