You can boost your SSC MTS / SSC GD 2026 exam preparation with this SSC MTS Mock Test - 1 (available with detailed solutions).. This mock test has been designed with the analysis of important topics, recent trends of the exam, and previous year questions of the last 3-years. All the questions have been designed to mirror the official pattern of SSC MTS / SSC GD 2026 exam, helping you build speed, accuracy as per the actual exam.
Mock Test Highlights:
Sign up on EduRev for free and get access to these mock tests, get your All India Rank, and identify your weak areas to improve your marks & rank in the actual exam.
Mrs. Vijaya takes a total of 9 hours 50 minutes in walking a distance and running back to same place where she started. She could walk both ways in 12 hours 20 minutes. The time taken by her to run both ways is:
Detailed Solution: Question 1
Two pipes A and B can fill an empty tank in 8 hours and 12 hours respectively. They have opened alternately for 1 hour each, starting with pipe A first. In how many hours will the empty tank be filled?
Detailed Solution: Question 2
Direction: Study the data carefully and answer the following question.
The Pie-chart given below shows distribution of number of bags sold by five sellers.

Bags sold by C and E together is what percent less than bags sold by B and D together?
Detailed Solution: Question 3
A TV set is being sold for Rs. X in Delhi. A dealer went to Chandigarh and bought the TV at 20% discount (from the price of Delhi). He spends Rs. 600 on transport. Thus, he sold the set in Delhi for Rs. X making(100/7)% profit what is the value of X?
Detailed Solution: Question 4
In an objective type test of 90 questions, 5 marks are allotted for every correct answer and 2 marks are deducted for every wrong answer. After attempting all the 90 questions, a student got a total of 387 marks. What is the number of incorrect responses?
Detailed Solution: Question 5
Detailed Solution: Question 6
Let the compound ratio of ratios (x ∶ 2) and (9 ∶ y) is 3 ∶ 4, then find the compound ratio of ratios (x + y) ∶ 5 and 2 ∶ y.
Detailed Solution: Question 7
Direction: The following line graph gives the ratio of the amounts of imports by a company to the amount of exports from that company over the period from 1995 to 2001.

If the imports in 1998 was Rs. 250 crores and the total exports in the years 1998 and 1999 together was Rs. 500 crores, then the imports in 1999 was?
Detailed Solution: Question 8
A copper wire is bent in the shape of a square of area 81 cm2. If the same wire is bent from of a semicircle the radius (in cm) of the semicircle is (Take π = 22/7)
Detailed Solution: Question 9
1.01,1.1,0.11 and 0.101
The product of the smallest decimal number and the largest decimal number will be:
Detailed Solution: Question 10
Ritika purchased 'x' kg wheat at Rs. 30 kg and sold 8 kg of this at Rs. 'x' per kg and remaining at Rs. 45/kg. Overall profit percent earned is 10%, then what quantity of wheat Ritika sold at Rs. 45/kg?
Detailed Solution: Question 11
A chair is marked for Rs. 210 and sold for Rs. 189. Find the discount rate for this transaction.
Detailed Solution: Question 12
Detailed Solution: Question 13
A car moves at the speed of 108 km/hr after repairing and moves at the speed of 72 km/hr before repairing. It covers a distance of x km in 3 hours after repairing. How much time will it take to cover a distance of 5 x km before repairing?
Detailed Solution: Question 14
The ratio of the volume of first and second cylinder is 32 ∶ 9 and the ratio of their heights is 8 ∶ 9. If the area of the base of the second cylinder is 616 cm2, then what will be the radius of the first cylinder?
Detailed Solution: Question 15
What will be the compound interest on Rs. 14,000 for 2 years at the rate of 10% per annum compounded annually?
Detailed Solution: Question 16
If 2a + 3b = 8 and ab = 5, then find the value of 4a2 + 9b2.
Detailed Solution: Question 17
Trains running at 47 meters/second cross a signal in 13 seconds. Find out the length of the train (in meters)
Detailed Solution: Question 18
The ratio of incomes of P and Q is 1 ∶ 2. Ratio of income of Q and R is 3 ∶ 2. If one-third of P's income is Rs. 4400 less than the half of P's income, then what is the Q's income?
Detailed Solution: Question 19
In an exam, a student got 40 marks and still failed by 20 percent marks. If the passing percentage is 40 percent, then what are the maximum marks of the exam?
Detailed Solution: Question 20
Which letter-cluster will replace the question mark (?) to complete the given series?
MWYP, QAWN, ?, YISJ, CMQH
Detailed Solution: Question 21
Pointing to a lady in the photograph, Sonia said, "She is my paternal grandmother's only daughter-in-law". How is Sonia related to that lady?
Detailed Solution: Question 22
Prateek starts walking from his home and goes 40 m towards the north-east. Then he turns left and walks 30 m. After that he turns left and walks 40 m. Then he turns left and walks 60 m. How far and in which direction is he from his home now?
Detailed Solution: Question 23
Directions: In the question below are given four statements followed by four conclusions numbered I, II, III, and IV. You have to take the given statements to be true even if they seem to be at variance with commonly known facts. Read all the conclusions and then decide which of the given conclusions logically follows from the given statements disregarding commonly known facts.
Statements:
Some ants are birds.
All birds are animals.
No animal is a reptile
Some reptiles are humans
Conclusions:
I. Some humans are animals
II. No reptiles are ants
III. Some animals are ants
IV. Some ants are reptiles
Detailed Solution: Question 24
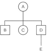
P + Q means ‘P is the father of Q’
P - Q means ‘P is the mother of Q’
P * Q means ‘P is the sister of Q’
P % Q means ‘P is the brother of Q’
If A - B % C * D + E, then how is A related to E?
Detailed Solution: Question 25
Which one set of letters when sequentially placed in the gaps in the given letter series shall complete it?
WX _ WW _ _ Y _ W _ WXX _ Y _ Y
Detailed Solution: Question 26
Study the given pattern carefully and select the number that can replace the question mark (?) in it.

Detailed Solution: Question 27
In the given number series what number will come in place of the Question Mark Symbol?
748, 737, 715, 682, 638,?
Detailed Solution: Question 28
In a certain code language, 'EXEMPT' is coded as 'FYFUQN' and 'FINISH' is coded as 'OJGITJ'. How will 'EXPIRE' be coded in that language?
Detailed Solution: Question 29
Select the number which can be placed at the sign of the question mark (?) from the given alternatives.

Detailed Solution: Question 30
116 docs|20 tests |