JEE Exam  >  JEE Tests  >  Test: Matrices- 1 - JEE MCQ

Test: Matrices- 1 - JEE MCQ


Test Description

25 Questions MCQ Test - Test: Matrices- 1

Test: Matrices- 1 for JEE 2025 is part of JEE preparation. The Test: Matrices- 1 questions and answers have been prepared according to the JEE exam syllabus.The Test: Matrices- 1 MCQs are made for JEE 2025 Exam. Find important definitions, questions, notes, meanings, examples, exercises, MCQs and online tests for Test: Matrices- 1 below.
Solutions of Test: Matrices- 1 questions in English are available as part of our course for JEE & Test: Matrices- 1 solutions in Hindi for JEE course. Download more important topics, notes, lectures and mock test series for JEE Exam by signing up for free. Attempt Test: Matrices- 1 | 25 questions in 25 minutes | Mock test for JEE preparation | Free important questions MCQ to study for JEE Exam | Download free PDF with solutions
Test: Matrices- 1 - Question 1

The number of all possible matrices of order 3×3 with each entry 0 if 1 is

Detailed Solution for Test: Matrices- 1 - Question 1

23x3 = 29 = 512.

The number of elements in a 3 X 3 matrix is the product 3 X 3=9.

Each element can either be a 0 or a 1.

Given this, the total possible matrices that can be selected is 29=512

Test: Matrices- 1 - Question 2

For what value of λ the following system of equations does not have a solution ? x + y + z = 6, 4x + λy - λz = 0, 3 x + 2y – 4 z = - 5

Detailed Solution for Test: Matrices- 1 - Question 2

Test: Matrices- 1 - Question 3

I2 is the matrix

Detailed Solution for Test: Matrices- 1 - Question 3

In linear algebra, the identity matrix, or sometimes ambiguously called a unit matrix, of size n is the n × n square matrix with ones on the main diagonal and zeros elsewhere. It is denoted by In, or simply by I if the size is immaterial or can be trivially determined by the context

Test: Matrices- 1 - Question 4

Let A be any m×n matrix, then A2 can be found only when

Detailed Solution for Test: Matrices- 1 - Question 4

The product of any matrix with itself can be found only when it is a square matrix.i.e. m = n.

Test: Matrices- 1 - Question 5

The order of the single matrix obtained from is

Detailed Solution for Test: Matrices- 1 - Question 5

Test: Matrices- 1 - Question 6

If A and B are square matrices of the same order, then(A+B)2 = A2+2AB+B2 implies

Detailed Solution for Test: Matrices- 1 - Question 6

If A and B are square matrices of same order , then , product of the matrices is not commutative.Therefore , the given result is true only when AB = BA.

Test: Matrices- 1 - Question 7

The value of λ, for which system of equations. x + y + z = 1, x + 2y + 2z = 3, x + 2y + λz = 4, have no solution is

Detailed Solution for Test: Matrices- 1 - Question 7

The given system is:

Therefore, the correct answer is: λ=2.

Test: Matrices- 1 - Question 8

If A is a matrix of order 3 × 4 , then each row of A has

Detailed Solution for Test: Matrices- 1 - Question 8

 

, therefore matrix A has 4 elements in each row

Test: Matrices- 1 - Question 9

If A and B are any two matrices, then

Detailed Solution for Test: Matrices- 1 - Question 9

Let matrix A is of order m x n , and matrix B is of order p x q . then , the product AB is defined only when n = p. that’s why, If A and B are any two matrices, then AB may or may not be defined.

Test: Matrices- 1 - Question 10

If, we are given a square matrix A then, Adj.(KA) = ….

Detailed Solution for Test: Matrices- 1 - Question 10

Adj.(KA) = Kn−1 Adj.A , where K is a scalar and A is a n x n matrix.

Test: Matrices- 1 - Question 11

Detailed Solution for Test: Matrices- 1 - Question 11

Test: Matrices- 1 - Question 12

If P is a matrix of order 2 × 3 and Q is a matrix of order 3 × 2, then PQ is of order

Detailed Solution for Test: Matrices- 1 - Question 12

Here, matrix P is of order 2 × 3 and matrix Q is of order 2 × 2 ,
then , the product PQ is defined only when : no. of columns in P = no. of rows in Q.
And the order of resulting matrix is given by : rows in P x columns in Q. = 2 x 2

Test: Matrices- 1 - Question 13

A square matrix A = [aij]n×n is called a lower triangular matrix if aij = 0 for

Detailed Solution for Test: Matrices- 1 - Question 13

A lower triangular matrix is given by : 
 ,

here , aij = 0 if i is less than j and

aij ≠ 0 if i is greater than j.

Test: Matrices- 1 - Question 14

The equations x + 2y + 2z = 1 and 2x + 4 y + 4z = 9 have

Detailed Solution for Test: Matrices- 1 - Question 14

Test: Matrices- 1 - Question 15

If then AT+ A = I2, if

Detailed Solution for Test: Matrices- 1 - Question 15


Test: Matrices- 1 - Question 16

The number of all the possible matrices of order 2 × 2 with each entry 0, 1 or 2 is

Detailed Solution for Test: Matrices- 1 - Question 16

To determine the number of possible 2×2 matrices where each entry can be 0, 1, or 2, we calculate the total number of combinations for each of the four independent entries.

  • Each entry has 3 choices.
  • There are 4 independent entries in a 2×2 matrix.
  • The total number of combinations is calculated as 34.
  • Therefore, the total number of possible matrices is 81.
Test: Matrices- 1 - Question 17

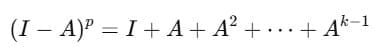
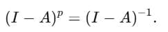
If Ak = 0, and (I − A)p = I + A + A2 + … + Ak − 1, then p is

Detailed Solution for Test: Matrices- 1 - Question 17

Let B = I + A + A2 +…+ Ak − 1 
Now multiply both sides by (I − A), we get

B(I − A) = (I + A + A2 + …+ Ak − 1)(I − A)
B(I − A) = I − A + A − A2 + A2 − A3 +… − Ak−1+Ak−1−Ak
B(I − A) = I − Ak = I, since Ak = 0

B(I − A) = I

⇒ B = (I − A)−1
Hence (I−A)−1 = I + A + A2 +…+ Ak−1 
Thus p = −1

Test: Matrices- 1 - Question 18

A square matrix  A = [aij]n×n is called an upper triangular if aij = 0 for

Detailed Solution for Test: Matrices- 1 - Question 18

Upper Triangular matrix is given by  :
.
 Here, aij=0 , if i is greater than j.and aij ≠ 0, if I is less than j.

Test: Matrices- 1 - Question 19

If A and B are two matrices such that AB = A and BA = B, then which one of the following is correct?

Detailed Solution for Test: Matrices- 1 - Question 19

Let A and B be two matrices such that AB = A and BA = B Now, consider AB = A Take Transpose on both side (AB)T = A
⇒ AT = BT ⋅ AT ...(1)
Now, BA = B 
Take, Transpose on both side (BA)T = B
⇒ BT = AT⋅BT…(2)
Now, from equation (1) and (2). we have AT = (AT . BT)A
AT=AT(BTAT)
= AT(AB)T(∵(AB)T = BT = BTAT)
= AT ⋅ A
Thus, AT = (AT)2

Test: Matrices- 1 - Question 20

If A is any square matrix, then

Detailed Solution for Test: Matrices- 1 - Question 20

For any square matrix A, both (A + AT) is symmetric and (A - AT) is skew-symmetric. Therefore, options A and B are true.

  • (A + AT) is symmetric.
  • (A - AT) is skew-symmetric.
Test: Matrices- 1 - Question 21

If and I is the unit matrix of order 3, then A2 + 2 A4 + 4 A6 is equal to

Detailed Solution for Test: Matrices- 1 - Question 21

Test: Matrices- 1 - Question 22

The equations, x + 4 y – 2 z = 3, 3 x + y + 5 z = 7, 2 x + 3y +z = 5 have

Detailed Solution for Test: Matrices- 1 - Question 22

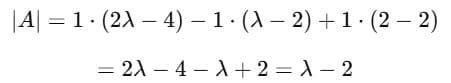
The given system of equations does not have solution if : 

- 0 ⇒ 1(-14) - 4(-7) -2(7) = 0

Test: Matrices- 1 - Question 23

If A = [aij]n×n be a diagonal matrix with diagonal element all different and B = [bij]n×n be some another matrix. Let AB = [cij]n×n then cij is equal to

Detailed Solution for Test: Matrices- 1 - Question 23

(In general) and in a diagonal matrix non-diagonal elements

Test: Matrices- 1 - Question 24

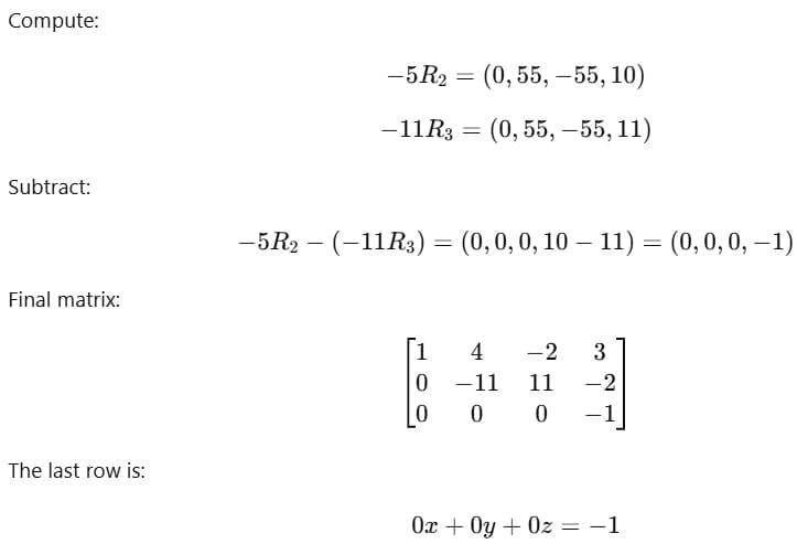
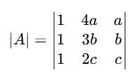
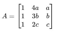
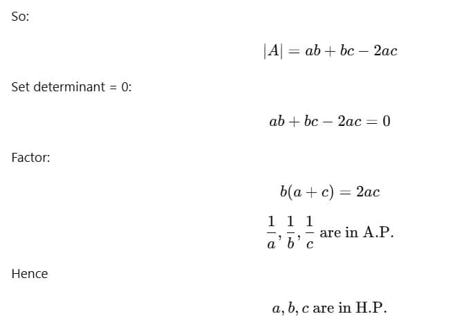
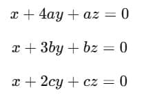
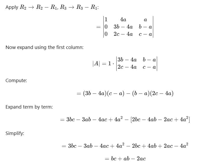
If the system of equationsx + 4 ay + az = 0, x + 3by + bz = 0 andx + 2 cy +cz = 0 have a non-zero solution,then a, b, c are in

Detailed Solution for Test: Matrices- 1 - Question 24

For a non trivial solution : 



⇒ bc + ab - 2ac = 0 ⇒  ∴ there, a , b ,c, are in H.P

Test: Matrices- 1 - Question 25

If and then the value of k so that A2 = 8 A + kI is

Detailed Solution for Test: Matrices- 1 - Question 25

We have,

and

Information about Test: Matrices- 1 Page
In this test you can find the Exam questions for Test: Matrices- 1 solved & explained in the simplest way possible. Besides giving Questions and answers for Test: Matrices- 1, EduRev gives you an ample number of Online tests for practice
Download as PDF