A large wooden piece in the form of a cylinder floats onwater with two-thirds of its length immersed. When aman stands on its upper surface, a further one-sixth ofits length is increased. The ratio between the massesof the man and the wooden piece is
A wooden block in the form of a uniform cylinder floatswith one-third length above the water surface. A smallchip of this block is held at rest at the bottom of acontainer containing water to a height of 1 m and isthen released. The time in which it will rise to the surfaceof water is (g = 10 m/s2)
A goldsmith desires to test the purity of a gold ornamentsuspected to the mixed with copper. The ornamentweighs 0.25 kg in air and is observed to displace 0.015litre of water when immersed in it. Densities of goldand copper with respect to water are, respectively, 19.3and 8.9. The approximate percentage of copper in theornament is
An ice cube is floating in water above which a layer ofa lighter oil is poured. As the ice melts completely, thelevel of water surface (or interface) and upper level ofoil will
In the figure shown the velocity and pressure of theliquid at the cross section (2) are given by (If P0 is theatmospheric pressure).
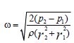
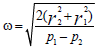
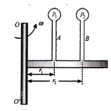
A tube filled with water and closed at both ends uniformlyrotates in a horizontal plane about the OO’ axis. Themanometers A and B fixed in the tube at distancesr1 and r2 from rotational axis indicate pressures p1 andp2 respectively. Determine the angular velocity ω ofrotation of the tube .
A horizontal tube has different cross sections at pointsA and B. The areas of cross section are a1 and a2,respectively, and pressures at these points arep1 = pgh1 and p2 = pgh2, where p is the density of liquidflowing in the tube and h1, and h2 are heights of liquidcolumns in vertical tubes connected at A and B. Ifh1- h2 = h2 then the flow rate of the liquid in the horizontaltube is
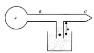
Figure shows a crude type of atomizer. When bulb A iscompressed, air flows swiftly through tube BC causinga reduced pressure in the particles of the vertical tube.Liquid rises in the tube, enters BC and is sprayed out.If the pressure in the bulb is Pa + P, where P is thegauge pressure and Pa is the atmospheric pressure, vis the speed of air in BaC, find how large would v needto be to cause the liquid to rise to BC. Density of air =
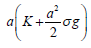
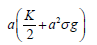
A cubic block of side a is connected with two similarvertical springs as shown. Initially, bottom surface ofthe block of density a touches the surface of the fluidof density 2σ while floating. A weight is placed on theblock so that it is immersed half in the fluid, find theweight.
50Water from a tap emerges vertically downwards withan initial velocity V0. Assuming pressure is constantthroughout the stream of water and the flow is steady,find the distance from the tap at which cross-sectionalarea of stream is half of the cross-sectional area ofstream at the tap:
A large open tank has two holes in the wall. One is asquare hole of side L at a depth y from the top and theother is a circular hole of radius R at a depth 4y fromthe top. When the tank is completely filled with water,the quantities of water flowing out per second from boththe holes are the same. Then, R is equal to
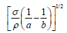
A U-shaped tube contains a liquid of density r and it is rotated about the left dotted line as shown in the figure. Find the difference in the levels of the liquid column
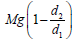
In the arrangement as shown, A and B are two cylinderseach of length L and density d1 and d2 (d1 < d2),respectively. They are joined together and submergedin the liquid of density d with length L/2 of A outsidethe liquid. If the difference in densities of two cylindersis equal to density of the liquid, find d1.
The ratio of diameters of two wires of same material isn:l. The length of each wire is 4 m. On applying thesame load, the increases in the length of the thin wire will be (n > 1)
The dimensions of four wires of the same material aregiven below, In which wire the increase in the lengthwill be maximum?
Two wires of the same material and length but diametersin the ratio 1:2 are stretched by the same force. Thepotential energy per unit volume for the two wires whenstretched will be in the ratioa.
Two wires of the same length and same material butradii in the ratio of 1:2 are stretched by unequal forcestoproduce equal elongation. The ratio of the two forces is
58When a weight of 5 kg is suspended from a copperwire of length 30 m and diameter 0.5 mm, the length ofthe wire increases by 2.4 cm. If the diameter is doubled,the extension produced is
An elastic material of Young’s modulus Y is subjectedto a-stress S. The elastic energy stored per unit volumeof the material is
60What amount of work is done in increasing the lengthof a wire through unity?
Two wires of the same material have lengths in theratio 1:2 and their radii are in the ratio . If theyare stretched by applying equal forces, the increase intheir lengths will be in the ratio
A piece of copper wire has twice the radius of a pieceof steel wire. Young’s modulus for steel is twice that ofthe copper. One end of the copper wire is joined to oneend of the steel wire so that both can be subjected tothe same longitudinal force. By what fraction of its lengthwill the steel have stretched when the length of thecopper has increased by 1%?
The velocity of small ball of mass M and density d1 =when dropped a container filled with glycerine becomesconstant after some time. If the density glycerine is d2,the viscous force acting on ball is
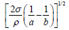
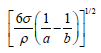
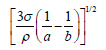
A large number of droplets, each of radius a. coalesce to form a bigger drop of radius b. Assume that the energy released in the process is converted into the kinetic energy of the drop. The velocity of the drop is (σ = surface tension, ρ = density)
A thick rope of density p and length L is hung from arigid support. The increase in length of the rope due toits own weight is (K is the Young’s modulus)
66When the load on a wire is slowly increased from 3 to 5 kg wt, the elongation increases from 0.61 to 1.02 mm. The work done during the extension of wire is
A wire of cross section A is stretched horizontallybetween two clamps located apart. A weight Wkg is suspended from the mid-point of the wire. If themid-point sags vertically through a distance x < 1 the strain produced
If in the above question, the Young’s modulus of thematerial is Y, the value of extension x is
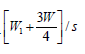
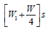
One end of uniform wire of length L and of weight W isattached rigidly to a point in the roof and a weight W,is suspended from its lower end. If s is the area ofcross section of the wire, the stress in the wire at aheight (3L/4) from its lower end is
Young’s modulis of brass and steel are 10 x 10 N/mand 2 x 10" N/m2, respectively. A brass wire and asteel wire of the same length are extended by 1 mmunder the same force. The radii of the brass and steelwires are RB and Rs, respectively. Then