UGC NET Exam  >  UGC NET Tests  >  CSIR NET Physical Science Mock Test - 3 - UGC NET MCQ

CSIR NET Physical Science Mock Test - 3 - UGC NET MCQ


Test Description

30 Questions MCQ Test - CSIR NET Physical Science Mock Test - 3

CSIR NET Physical Science Mock Test - 3 for UGC NET 2025 is part of UGC NET preparation. The CSIR NET Physical Science Mock Test - 3 questions and answers have been prepared according to the UGC NET exam syllabus.The CSIR NET Physical Science Mock Test - 3 MCQs are made for UGC NET 2025 Exam. Find important definitions, questions, notes, meanings, examples, exercises, MCQs and online tests for CSIR NET Physical Science Mock Test - 3 below.
Solutions of CSIR NET Physical Science Mock Test - 3 questions in English are available as part of our course for UGC NET & CSIR NET Physical Science Mock Test - 3 solutions in Hindi for UGC NET course. Download more important topics, notes, lectures and mock test series for UGC NET Exam by signing up for free. Attempt CSIR NET Physical Science Mock Test - 3 | 55 questions in 180 minutes | Mock test for UGC NET preparation | Free important questions MCQ to study for UGC NET Exam | Download free PDF with solutions
CSIR NET Physical Science Mock Test - 3 - Question 1

If A denotes '+', B denotes '×', C denotes '-', and D denotes ' ÷', then what will come in place of '?' in the following equation?

124 D 4 C 86 D 2 A 61 A 17 B 3 = ?

Detailed Solution for CSIR NET Physical Science Mock Test - 3 - Question 1

From the given information: A denotes '+', B denotes '×', C denotes '-', and D denotes ' ÷'
We substitute the values in the given equation and solve it using BODMAS rule:

124 D 4 C 86 D 2 A 61 A 17 B 3 = ?
124 ÷ 4 - 86 ÷ 2 + 61 + 17 × 3 = ?
31 - 43 + 61 + 17 × 3 = ?
31 - 43 + 61 + 51 = ?
143 - 43 = ?
100 = Answer

CSIR NET Physical Science Mock Test - 3 - Question 2

Figure A and B are related in a certain pattern, choose the alternative which is similarly related to the figure C.

Detailed Solution for CSIR NET Physical Science Mock Test - 3 - Question 2

According to the logic,
First image is rotating by 90º in anti - clockwise direction.

Similarly, 
Fourth image is related to the third image in the same way as second image is related to the first image.

So,→ This image is following the logic explained above.
Hence, the correct answer is "Option (C)".

CSIR NET Physical Science Mock Test - 3 - Question 3

Pointing towards a boy, Ranjita said, “He is my husband's father-in-law's only daughter's son's father's only sister's son”. How is that boy's mother related to Ranjita's husband?

Detailed Solution for CSIR NET Physical Science Mock Test - 3 - Question 3

Family chart :-

Family Tree :

∴ Here, boy's mother is sister to Ranjitha's husband.
Hence, the correct answer is "Sister".

CSIR NET Physical Science Mock Test - 3 - Question 4

Read the given statements and conclusions carefully. Assuming that the information given in the statements is true, even if it appears to be at variance with commonly known facts, decide which of the given conclusions logically follow(s) from the statements.

Statements:

Some insects are cockroaches.

Some lizards are insects.

Conclusions:

I. Some cockroaches are insects.

II. Some lizards are cockroaches.

Detailed Solution for CSIR NET Physical Science Mock Test - 3 - Question 4

The least possible diagram is as follows:

Conclusions:
I. Some cockroaches are insects. - True (From the figure we can clearly see that some part of cockroaches intersects with insects).
II. Some lizards are cockroaches - False (There is no direct relation between lizards and cockroaches. It may be possible but not definite)
​Hence, the correct answer is "Only conclusion I follow".

CSIR NET Physical Science Mock Test - 3 - Question 5

In the following figure, the pentagon represents 'Nepali words', the circle represents 'Hindi words', the rectangle represents 'English words', and the square represents 'Persian words'.  

Which number represents the words of English and Persian that are included in Hindi words? 

Detailed Solution for CSIR NET Physical Science Mock Test - 3 - Question 5

The number which represents the words of English and Persian that are included in Hindi words is shown below:

Hence, '13' is the correct answer.

CSIR NET Physical Science Mock Test - 3 - Question 6

Find the values of x and y in the given figure.

Detailed Solution for CSIR NET Physical Science Mock Test - 3 - Question 6

Straight Angle: A straight angle is an angle equal to 180 degrees. It is called straight because it appears as a straight line.
Calculation:
∠ABE + ∠ABC = 180° [∵ Straight Angle]
⇒ 120° + x = 180°
⇒ x = 180° - 120° 
⇒ x = 60° 
∠ACD + ∠ACB = 180° [∵ Straight Angle]
⇒ 130° + y = 180° 
⇒ y = 180° - 130° 
⇒  y = 50° 
∴ x = 60°  and y = 50° 

CSIR NET Physical Science Mock Test - 3 - Question 7

A bent can row 15 km per hour downstream and 9 km per hour upstream. The speed (in km/hour) of the boat in still water is:

Detailed Solution for CSIR NET Physical Science Mock Test - 3 - Question 7

Given:
A bent can row 15 km per hour downstream
Upstream = 9 km/h

Formula Used:
Upstream = x − y
Downstream = x + y

Calculations:
Let the speed of the boat be x km/h
The speed of still water = y km/h
According to the formula,
⇒ x − y = 9 .......(1)
⇒ x + y = 15  ......(2)
On adding the eq (1) and eq (2), we get
⇒ x − y + x + y = 9 + 15
⇒ 2x = 24
⇒ x = 12 km/h
Hence, The speed of the boat in still water is 12 km/h.

CSIR NET Physical Science Mock Test - 3 - Question 8

In a gathering of 30 people, 20 people knew each other and 10 people didn't know each other. People who know each other hug and people who don't know each other shake hands. So how many handshakes took place in that gathering?

Detailed Solution for CSIR NET Physical Science Mock Test - 3 - Question 8

Calculation:
In a gathering of 30 people, 20 people knew each other and 10 people didn't know each other.
And, people who don't know each other shake hands
So, from the question, 10 people shake their hands.
So, total handshakes between 10 people = 
Total handshakes between 10 people = 45

CSIR NET Physical Science Mock Test - 3 - Question 9

Arithmetic mean of 12 observations is 40. The smallest and the largest observations are 20 and 60 respectively. If we ignore the smallest and the largest observations then the arithmetic mean of the remaining observations _______.

Detailed Solution for CSIR NET Physical Science Mock Test - 3 - Question 9

Given:
Arithmetic mean of 12 observations = 40
The smallest and the largest observations are 20 and 60 respectively.
Formula Used:
Arithmetic mean = (Sum of observations)/Number of observations
Calculation:
Arithmetic mean of 12 observations = 40
Thus, sum of 12 observations = 40 × 12 = 480
After removing 20 and 60 from the series, then sum of remaining 10 observations = 480 - 20 - 60 = 400
Thus, Arithmetic mean = (Sum of observations)/Number of observations
Arithmetic mean = 400/10 = 40
∴ The arithmetic mean of the remaining observations will not change.

CSIR NET Physical Science Mock Test - 3 - Question 10

If then the value of is

Detailed Solution for CSIR NET Physical Science Mock Test - 3 - Question 10

Given:

Calculation:

Similarly

Now,

CSIR NET Physical Science Mock Test - 3 - Question 11

The image (or reflection) of the point (1, 2, −1) in the plane 3x − 5y + 4z = 5 is :

Detailed Solution for CSIR NET Physical Science Mock Test - 3 - Question 11

Equation of line passing through (a, b, c) and parallel to vector <u, v, w> is :
Midpoint O of the line passing through A (a, b, c) and B(x, y, z) is given by:

Calculation:
Given plane 3x - 5y + 4z = 5 . . .(1)
Here normal vector to the plane, <3 ,-5.4>
The equation of the line passing through the point (1, 2, -1) and perpendicular to the plane (1) is

Taking one at a time in equation (2), we get
Point on the line : (3r + 1, - 5r + 2, 4r - 1).
This point lies on the plane,
3(3r + 1) - 5(-5r + 2) + 4(4r - 1) = 5
or,  9r + 25r + 16r + 3 - 10 - 4 = 5
or, 50r = 16
or, 
So point on the plane is
Let (x, y, z) be the image of the point with respect to the plane 3x - 5y + 4z = 5.
Thenwill be the mid-point of the line joining (x, y, z) and (1, 2,-1)
Then we get

Hence, the required point is 

CSIR NET Physical Science Mock Test - 3 - Question 12

The two-dimensional lattice of graphene is an arrangement of carbon atoms forming a honeycomb lattice of lattice spacing as shown below. The Carbon atoms occupy the vertices.

The Wigner – Seitz cell has an area of –

Detailed Solution for CSIR NET Physical Science Mock Test - 3 - Question 12


Therefore in 


Therefore in 

CSIR NET Physical Science Mock Test - 3 - Question 13

The interval [0,1] is divided into n parts of equal length to calculate the integral sing the trapezoidal rule. The minimum value of n for which the result is exact, is

Detailed Solution for CSIR NET Physical Science Mock Test - 3 - Question 13

CSIR NET Physical Science Mock Test - 3 - Question 14

Monochromatic light of wavelength 660nm and intensity falls on a solar cell of area 30 cm2. The conversion efficiency of the solar cell is 10%. If each converted photon results in an electron - hole pair, what is the maximum circuit current supplied by the solar cell?

Detailed Solution for CSIR NET Physical Science Mock Test - 3 - Question 14

The responsivity is given as,

In which IOP is the current due to electron hole pair and Pin is the power generated of incident light.
From question, the conversion efficiency of the solar cell = 10%

. Wavelength I=660nm
Solar cell area A=30cm2
Therefore generated power is,

The conversion efficiency or quantum efficiency is given as,

Substituting the values of λ,Pin  and Q.E in above equation,

CSIR NET Physical Science Mock Test - 3 - Question 15

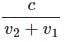
A double slit interference experiment uses a laser emitting light of two adjacent frequencies v1 and v2(v1<v2). The minimum path difference between the interfering beams for which the interference pattern disappears is -

Detailed Solution for CSIR NET Physical Science Mock Test - 3 - Question 15

For disappearing interference patterns, the path difference for bright fringes is equal to the path difference for dark fringes.
- For bright fringe, path difference,
- For dark fringe, path difference 
- From equation (1), 
Substitute the value of m in equation (2)

CSIR NET Physical Science Mock Test - 3 - Question 16

Non interacting boson undergoes Bose – Einstein Condensation (BEC) when trapped in a three dimensional isotropic simple harmonic potential. For BEC to occur, the chemical potential must be equal to –

Detailed Solution for CSIR NET Physical Science Mock Test - 3 - Question 16

Bose - Einstein distribution function is given as,

Here, μ is the chemical potential and 
For Bose - Einstein Condensation, all Bose particles occupy the ground state. Therefore,

taking log both sides, therefore


Substitute the value of β in above equation,

For Bose - Einstein condensation, T must be tends to zero,

For three dimensional harmonic oscillation,

For ground state, n = 0

CSIR NET Physical Science Mock Test - 3 - Question 17

If the energy dispersion a two-dimensional electron system is E-uhk, where u is the velocity and k is the momentum, then the density of state D (E) depends on the energy as (June)

Detailed Solution for CSIR NET Physical Science Mock Test - 3 - Question 17

Here  the energy dispersion of a two dimensional electron system is given as,
E=ℎku
Now, the number of states is given as,

Now, let hk = p
⇒ E = pu
Differentiating both sides of the equation E = pu, we get
dE = udp

Now, the density of the sates can be given as,

Therefore density of state is directly proportional to E.

CSIR NET Physical Science Mock Test - 3 - Question 18

A sphere of homogeneous linear dielectric material is placed in an otherwise uniform electric field , then the electric field E0 inside the sphere :

Detailed Solution for CSIR NET Physical Science Mock Test - 3 - Question 18


At the boundary

CSIR NET Physical Science Mock Test - 3 - Question 19

Consider a system of eight non-interacting, identical quantum particles of spin 3/2 in a one-dimensional box of length l. The minimum excitation energy of the system, in units of 

Detailed Solution for CSIR NET Physical Science Mock Test - 3 - Question 19

For a spin- 3/2 particle, the degeneracy is:
2s+1 = 2. (3/2) + 1 = 4.
For 8 particles the ground state energy is given by:

The first excited state is given by:

The minimum excitation energy is given by 

CSIR NET Physical Science Mock Test - 3 - Question 20

A hydrogen atom is in the state where n, l, m in ψnlm denote the principle orbit and magnetic quantum numbers, respectively. What is the expectation value of L2 in units of ?

Detailed Solution for CSIR NET Physical Science Mock Test - 3 - Question 20

We have 
Now <ψ|ψ> =1. Hence normalized.
Now we have to find the 
Now using the relation that we get:

CSIR NET Physical Science Mock Test - 3 - Question 21

If the energy dispersion of a two-dimensional electron system is E = uħk where u is the velocity and k is the momentum, then the density of states D(E) depends on the energy as 

Detailed Solution for CSIR NET Physical Science Mock Test - 3 - Question 21

In two dimensional system, the number of allowed k-states in range k and k + dk is

Given dispersion relation is 

CSIR NET Physical Science Mock Test - 3 - Question 22

An atom has a non-degenerate ground-state and a doubly-degenerate excited state. The energy difference between the two states is ε. The specific heat at very low temperatures (βε >> 1) is given by 

Detailed Solution for CSIR NET Physical Science Mock Test - 3 - Question 22

Assume energy at ground state is 0 and energy at first excited state is ∈.
The partition function is Z = 1 + 2e-β∈
Energy = 
Specific heat, 

CSIR NET Physical Science Mock Test - 3 - Question 23

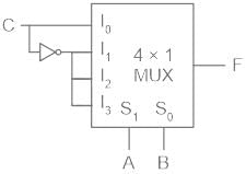
Which of the following circuits implements the Boolean function

F(A, B, C) = ∑(1, 2, 4, 6) ?

Detailed Solution for CSIR NET Physical Science Mock Test - 3 - Question 23

The truth table is given by:

CSIR NET Physical Science Mock Test - 3 - Question 24

The active medium in a blue LED (light emitting diode) is a Gax In1-x N alloy. The band gaps of GaN and InN are 3.5eV and 1.5eV respectively. If the band gap of Gax In1-x N varies approximately linearly with x , the value of x required for the emission of blue light of wavelength 400nm is (take hc ≈ 1200  eV - nm)

Detailed Solution for CSIR NET Physical Science Mock Test - 3 - Question 24

We are given with,
EgGoN = 3.5 eV and EglnN = 1.5 eV
Band Gap energy of Gax In1-x N is E ∝ x.
For blue light of wavelength 400nm, the band gap


Thus equating slopes we get;

CSIR NET Physical Science Mock Test - 3 - Question 25

The separation between the energy levels of a two-level atom is 2 eV . Suppose that 4 × 1020 atoms are in the ground state and 7 × 1020 atoms are pumped into the excited state just before lasing starts. How much energy will be released in a single laser pulse? 

Detailed Solution for CSIR NET Physical Science Mock Test - 3 - Question 25

Suppose we have separation between the energy levels of a two-level atom is 2 eV.
4 × 1020 atoms are in the ground state and 7 × 1020 atoms are pumped into the excited state just before lasing starts.
Lets, say N1=4 × 1020, N2= 7× 1020.
Then,
N2 - N1 = 3 × 1020
We know that the energy of the laser pulse will be:

Applying the given data we have:
Energy of laser pulse, 
⇒ E = 48 J.

CSIR NET Physical Science Mock Test - 3 - Question 26

The total spin of a hydrogen atom is due to the contribution of the spins of the electron and the proton. In the high temperature limit, the ratio of the number of atoms in the spin-1 state to the number in the spin-0 state is

Detailed Solution for CSIR NET Physical Science Mock Test - 3 - Question 26

Concept:
Each energy level is capable of holding a spin-up electron as well as a spin-down electron, i.e. in each orbital there are two different spin states which are degenerate (some would call these spin orbitals).

Explanation:
We know that total spin of a hydrogen atom is due to the contribution of the spins of the electron and the proton. 
Also, we know that:

The degeneracy of quantum level is 2F + 1.
Thus, for this case we have the ratio to be:

CSIR NET Physical Science Mock Test - 3 - Question 27

Consider a two-dimensional square lattice with a lattice constant a. What is the reciprocal lattice vector corresponding to the (1,1) direction in the direct lattice?

Detailed Solution for CSIR NET Physical Science Mock Test - 3 - Question 27

The reciprocal lattice is a lattice of points in momentum space that is dual to the direct lattice of points in real space.
It is defined as the set of all vectors G that satisfy the equation.
G⋅R=2πn,
where, R is any vector in the direct lattice,
and n is an integer.
In two dimensions, the reciprocal lattice is also a two-dimensional lattice.
For a square lattice with lattice constant a, the direct lattice is defined by the vectors.

The reciprocal lattice vectors are given by;

To find the reciprocal lattice vector corresponding to the (1,1) direction in the direct lattice,
we take a linear combination of the reciprocal lattice vectors.
Thus, the reciprocal lattice vector corresponding to the (1,1) direction in the direct lattice is.

CSIR NET Physical Science Mock Test - 3 - Question 28

Assume that the noise spectral density at any given frequency, in a current amplifier is independent of frequency. The bandwidth of measurement is changed from 2 Hz to 30 Hz. The ratio (B/A) of the RMS noise current before (A) and after (B) the bandwidth modification?

Detailed Solution for CSIR NET Physical Science Mock Test - 3 - Question 28

In communications, noise spectral density (NSD), noise power density, noise power spectral density, or simply noise density (N0) is the power spectral density of noise or the noise power per unit of bandwidth. It has dimension of power over frequency, whose SI unit is watt per hertz (equivalent to watt-second or joule). It is commonly used in link budgets as the denominator of the important figure-of-merit ratios, such as carrier-to-noise-density ratio as well as Eb/N0 and Es/N0.

If the noise is one-sided white noise, i.e., constant with frequency, then the total noise power N integrated over a bandwidth B is N = BN0 (for double-sided white noise, the bandwidth is doubled, so N is BN0/2). This is utilized in signal-to-noise ratio calculations.

For thermal noise, its spectral density is given by N0 = kT, where k is the Boltzmann constant in joules per kelvin, and T is the receiver system noise temperature in kelvins.
The noise amplitude spectral density is the square root of the noise power spectral density, and is given in units such as

Explanation:
In the general opamp noise spectrum, we have two regions one is pink region.
This is when the spectrum is dependent on frequency whereas,
the other one is where the spectrum is independent of frequency which we call as white noise.
Now we are given with the condition that the noise spectral density at any given frequency, in a current amplifier is independent of frequency. 
So, we have the rms noise spectral density to be:

where fc is the lower limit of frequency in this white region where as  f is the higher frequency limit.
We are given with the difference in lower and higher frequency before the modification to be 2Hz.
Therefore:

(B) which is after modification gives: 
The ratio is given as B/A:

CSIR NET Physical Science Mock Test - 3 - Question 29

According to the shell model the spin and parity of the two nucleiare respectively, 

Detailed Solution for CSIR NET Physical Science Mock Test - 3 - Question 29

We have;

Z = 51.
Using the nuclear shell model, we have:
(s1/2)2 (p3/2)4 (p1/2)2 (d5/2)6 (s1/2)2 (d3/2)4 (f7/2)8 (p3/2)4 (f5/2)6 (p1/2)2 (g9/2)10 (g7/2)1 
⇒ j = 7/2 and l = 4. Thus spin and parity = 

N = 51:
(s1/2)2 (p3/2)4 (p1/2)2 (d5/2)6 (s1/2)2 (d3/2)4 (f7/2)8 (p3/2)4 (f5/2)6 (p1/2)2 (g9/2)10 (g7/2)1
⇒ j = 7/2 and l = 4. Thus spin and parity = 

CSIR NET Physical Science Mock Test - 3 - Question 30

The ground state of nucleus has spin-parity while the first excited state has The electromagnetic radiation emitted when the nucleus makes a transition from the first excited state to ground state are

Detailed Solution for CSIR NET Physical Science Mock Test - 3 - Question 30

The parity or space inversion operation converts a right-handed coordinate system to left-handed:
x → −x, y → −y, z → −z.
This is a case of a noncontinuous operation, i.e. the operation cannot be composed of infinitesimal operations.
The symmetry operations we require that π is unitary, i.e.
π†π=1
Explanation:
No parity change; ΔJ = 2, 3
For El = type, Δπ = (-1)l  (for no parity change l = 2)
For Ml type, Δπ = (-1)l+1  (for no parity change l = 3)
ΔJ = 2, No parity change → E2; ΔJ = 3,
No parity change → M3.

View more questions
Information about CSIR NET Physical Science Mock Test - 3 Page
In this test you can find the Exam questions for CSIR NET Physical Science Mock Test - 3 solved & explained in the simplest way possible. Besides giving Questions and answers for CSIR NET Physical Science Mock Test - 3, EduRev gives you an ample number of Online tests for practice
Download as PDF