You can prepare effectively for JEE Mock Tests for JEE Main and Advanced 2026 with this dedicated MCQ Practice Test (available with solutions) on the important topic of "JEE Main Part Test - 2". These 75 questions have been designed by the experts with the latest curriculum of JEE 2026, to help you master the concept.
Test Highlights:
Sign up on EduRev for free to attempt this test and track your preparation progress.
A particle is projected upward from the surface of earth (radius = R) with a speed equal to the orbital speed of a satellite near the earth’s surface. The height to which it would rise is
Detailed Solution: Question 1
A spherical hole is made in a solid sphere of radius R. The mass of the original sphere was M.The gravitational field at the centre of the hole due to the remaining mass is
Detailed Solution: Question 2
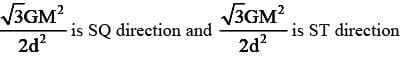
Three particles P, Q and R placed as per given figure. Masses of P, Q and R are √3 m, √3 m and m respectively. The gravitational force on a fourth particle ‘S’ of mass m is equal to
Detailed Solution: Question 3
A cylindrical tank has a hole of diameter 2r in its bottom. The hole is covered wooden cylindrical block of diameter 4r, height h and density ρ/3.
Situation I : Initially, the tank is filled with water of density ρ to a height such that the height of water above the top of the block is h1 (measured from the top of the block).
Situation II : The water is removed from the tank to a height h2 (measured from the bottom of the block), as shown in the figure.
The height h2 is smaller than h (height of the block) and thus the block is exposed to the atmosphere.

Q. Find the minimum value of height h1 (in situation 1), for which the block just starts to move up?
Detailed Solution: Question 4
A spray gun is shown in the figure where a piston pushes air out of a nozzle. A thin tube of uniform cross section is connected to the nozzle. The other end of the tube is in a small liquid container.
As the piston pushes air through the nozzle, the liquid from the container rises into the nozzle and is sprayed out. For the spray gun shown, the radii of the piston and the nozzle are 20 mm and 1 mm respectively. The upper end of the container is open to the atmosphere.

Q. If the piston is pushed at a speed of 5 mms–1, the air comes out of the nozzle with a speed of
Detailed Solution: Question 5
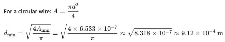
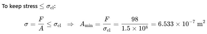
If the elastic limit of copper is 1.5 × 108 N/ m2, determine the minimum diameter a copper wire can have under a load of 10.0 kg if its elastic limit is not to be exceeded.
Detailed Solution: Question 6
A circular steel wire 2.00 m long must stretch no more than 0.25 cm when a tensile force of 400 N is applied to each end of the wire. What minimum diameter is required for the wire? Young's modulus for steel: E = 20 × 1010 Pa .
Detailed Solution: Question 7
Water is flowing continuously from a tap having an internal diameter 8 × 10-3m. The water velocity as it leaves the tap is 0.4 ms-1. The diameter of the water stream at a distance 2 × 10-1 m below the tap is close to
[AIEEE 2011]
Detailed Solution: Question 8
There are two identical small holes on the opposite sides of a tank containing a liquid. The tank is open at the top. The difference in height between the two holes is h. As the liquid comes out of the two holes, the tank will experience a net horizontal force proportional to
Detailed Solution: Question 9
The temperature of the two outer surfaces of a composite slab, consisting of two materials having coefficients of thermal conductivity K and 2K and thickness x and 4x, respectively, are T2 and T1 (T2 >T1) . The rate of heat transfer through the slab, in a steady state is
with f equal to 
Detailed Solution: Question 10
Detailed Solution: Question 11
The complex [Fe(H2O)5NO]2+ is formed in the ring-test for nitrate ion when freshly prepared FeSO4 solution is added to aqueous solution of
followed by the addition of conc. H2SO4. NO exists as NO+ (nitrosyl).
Q. Magnetic moment of Fe in the ring is
Detailed Solution: Question 12
The pKa of a weak acid, HA, is 4.80. The pKb of a weak base, BOH, is 4.78. The pH of an aqueous solution of the corresponding salt, BA, will be -
[AIEEE-2008]
Detailed Solution: Question 13
In aqueous solution the ionization constants for carbonic acid are K1 = 4.2 x 10-7 and K2 = 4.8 x 10-11 Selection the correct statement for a saturated 0.034 M solution of the carbonic acid.
[AIEEE-2010]
Detailed Solution: Question 14
How many litres of water must be added to litre of an aqueous solution of HCl with a pH of 1 to create an aqueous solution with pH of 2?
[AIEEE-2013]
Detailed Solution: Question 15
For the following electrochemical cell reaction at 298 K:
Zn(s) + Cu²⁺(aq) ⇌ Cu(s) + Zn²⁺(aq),
Given that the standard cell potential (E° cell) is +1.10 V.
Detailed Solution: Question 16
A 0.10 M solution of a weak acid, HX, is 0.059% ionized. Evaluate Ka for the acid.
Detailed Solution: Question 17
AgCI(s)is sparingly soluble salt,
AgCl (s)
Ag+(aq) + Cl-(aq)
There is
Detailed Solution: Question 18
Which one of the following is the approximate pH of 0.01 M solution of NaOH at 298 k?
Detailed Solution: Question 19
In the expansion of (1+x)60, the sum of coefficients of odd powers of x is
Detailed Solution: Question 20
Detailed Solution: Question 21
Detailed Solution: Question 22
The mid points of the sides of a triangle are (5, 0), (5, 12) and (0, 12), then orthocentre of this triangle is
Detailed Solution: Question 23
Area of a triangle whose vertices are (a cos q, b sinq), (–a sin q, b cos q) and (–a cos q, –b sin q) is
Detailed Solution: Question 24
If A(cosa, sina), B(sina, – cosa), C(1, 2) are the vertices of a ΔABC, then as a varies, the locus of its centroid is
Detailed Solution: Question 25
Two perpendicular tangents to the circle x2+y2 = r2 meet at P. The locus of P is
Detailed Solution: Question 26
The locus of a variable point whose distance from the point (2, 0) is 2/3 times its distance from the line x = 9/2 is
Detailed Solution: Question 27
The locus of a point such that two tangents drawn from it to the parabola y2 = 4ax are such that the slope of one is double the other is
Detailed Solution: Question 28
Detailed Solution: Question 29
Detailed Solution: Question 30
360 docs|100 tests |