You can boost your JEE 2026 exam preparation with this JEE Main Mock Test - 2 (available with detailed solutions).. This mock test has been designed with the analysis of important topics, recent trends of the exam, and previous year questions of the last 3-years. All the questions have been designed to mirror the official pattern of JEE 2026 exam, helping you build speed, accuracy as per the actual exam.
Mock Test Highlights:
Sign up on EduRev for free and get access to these mock tests, get your All India Rank, and identify your weak areas to improve your marks & rank in the actual exam.
A small soap bubble of radius 4 cm is trapped inside another bubble of radius 6 cm without any contact. Let P2 be the pressure inside the inner bubble and P0 be the pressure outside the outer bubble. Radius of another bubble with pressure difference P2 - P0 between its inside and outside would be
Detailed Solution: Question 1
A planet of mass M is revolving around sun in an elliptical orbit. If dA is the area swept in a time dt, angular momentum can be expressed as
Detailed Solution: Question 2
A spherical hole is made in a solid sphere of radius R. The mass of the original sphere was M.The gravitational field at the centre of the hole due to the remaining mass is
Detailed Solution: Question 3
If the elastic limit of copper is 1.5 × 108 N/ m2, determine the minimum diameter a copper wire can have under a load of 10.0 kg if its elastic limit is not to be exceeded.
Detailed Solution: Question 4
At what temperature is the r.m.s velocity of a hydrogen molecule equal to that of an oxygen molecule at 47°C?
Detailed Solution: Question 5
The P−V equation for a process of an ideal gas is given as

The graphical representation of the above process is shown as
Detailed Solution: Question 6
The superposition takes place between two waves of frequency f and amplitude a. The maximum intensity Imax = constant × ____
Detailed Solution: Question 7
An object O is kept in front of a converging lens of focal length 30 cm behind which there is a plane mirror at 15 cm from the lens. Choose the correct statements.

Detailed Solution: Question 8
These question consists of two statements each printed as assertion and reason. While answering these question you are required to choose any one of the following five responses.
Assertion: Small water drops are spherical while bigger water drops are not.
Reason: In small water drops surface tension forces dominate while in bigger water drops gravity forces dominate.
Detailed Solution: Question 9
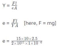
A wire of length 2.5 m and area of cross section 1×10–6 m2 has a mass of 15 kg hanging on it. What is the extension produced? How much is the energy stored in the stretched wire if Young’s modulus of wire is 2×1011 Nm–2.
Detailed Solution: Question 10
For the following electrochemical cell reaction at 298 K:
Zn(s) + Cu²⁺(aq) ⇌ Cu(s) + Zn²⁺(aq),
Given that the standard cell potential (E° cell) is +1.10 V.
Detailed Solution: Question 11
We know that the relationship between Kc and Kp is Kp = Kc (RT)Δn
What would be the value of Δn for the reaction NH4Cl (s) ⇔ NH3 (g) + HCl (g)
Detailed Solution: Question 12
Ag2CrO4 and Ag2CO3 are simultaneously dissolved in water. The solubility of Ag2CrO4& Ag2CO3 are 'x′ and 'y′mol/l respectively. If the Ksp of Ag2CrO4 is 'a′ and that of Ag2CO3 is 'b', then which of the following is correct?
Detailed Solution: Question 13
Detailed Solution: Question 14
Calculate the boiling point of a one molar aqueous solution (density = 1.04 gmL−1) of potassium chloride, Kb for water = 0.52 kg mol−1. Atomic mass of K = 39,Cl = 35.5
Detailed Solution: Question 15
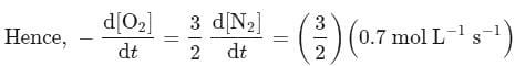
Ammonia reacts with oxygen giving nitrogen and water. If the rate of formation of N2 is 0.70 mol L−1 s−1, the rate at which O2 is consumed is
Detailed Solution: Question 16
The half-life for the thermal decomposition of acetone is 80 s and is independent of initial concentration of acetone. The time required for the reaction to go to 80% decomposition is (Given: log2 = 0.30)
Detailed Solution: Question 17
Detailed Solution: Question 18
Given below are two statements :
Statement I: A unit formed by the attachment of a base to 1′ position of sugar is known as nucleoside
Statement II: When nucleoside is linked to phosphorous acid at 5′-position of sugar moiety, we get nucleotide.
In the light of the above statements, choose the correct answer from the options given below:
Detailed Solution: Question 19
Detailed Solution: Question 20
Detailed Solution: Question 21
Detailed Solution: Question 22
The mid points of the sides of a triangle are (5, 0), (5, 12) and (0, 12), then orthocentre of this triangle is
Detailed Solution: Question 23
If k + |k + z2| = |z|2 where k is real, then a possible argument of z is
Detailed Solution: Question 24
If 2 sec 2α = tan β + cot β, then one of the values of α + β is
Detailed Solution: Question 25
The axis of a parabola lie along the line y = x and the distance of its vertex from origin is √2 and that of focus is 2√2. If both focus and vertex lie in the first quadrant, then the equation of the parabola will be
Detailed Solution: Question 26
Detailed Solution: Question 27
Detailed Solution: Question 28
The average age of a husband and his wife was 23 years at the time of their marriage. After five years they have a one-year old child. If the average age of the family now is λ, then the number of divisors of λ are
Detailed Solution: Question 29
Find the coefficient of x4 in the expansion of (1 + x + x2)10 .
Detailed Solution: Question 30
360 docs|100 tests |