A long infinite current-carrying wire is bent in the shape as shown in the figure. The magnetic induction at point O is:

A particle is projected with a velocity v so that its range on a horizontal plane is twice the greatest height attained If g is acceleration due to gravity, then its range is
A block of mass 30 kg is suspended by three strings as shown in figure. Find the tension in each string.

A block of mass 1 kg is at rest on a horizontal table. The coefficient of static friction between the block and the table is 0.50. If g = 10 ms−2, then the magnitude of a force acting upwads at an angle of 60∘ from the horizontal that will just start the block moving is:
A disc of mass m and radius R placed on a smooth horizontal table as shown in figure. A light ideal string passes through the disc such that the one end of the string is attached to a small body of mass m and the other end is being pulled with a force F. The circumference of the disc is sufficiently rough so that the string does not slip over it. Find acceleration of the small body.

A block of wood floats in a liquid with four-fifths of its volume submerged. If the relative density of wood is 0.8, what is the the density of the liquid in units of kgm−3?
The potential energy of a particle of mass 1 kg.in motion along the x-axis is given by: U = 4(1 − cos2x), where x is in metres. The period of small oscillation (in seconds) is
A point mass is subjected to two simultaneous sinusoidal displacements in the x-directions: x1(t) = A sin ωt and x2(t) = A sin(ωt + 2π/3). Adding a third sinusoidal displacement x(t) = B sin(ωt + ϕ) brings the mass to a complete rest. The values of B and ϕ are respectively
The binding energies per nucleon for
respectively are 1.1MeV and 7.1MeV. The energy released (in MeV) when two
nuclei fuse to form
is
A receiving station on the ground is receiving a signal of frequency 5 MHz from a transmitter at a height of 300 m above the surface of the earth (of radius 6.4 × 106 m) at a distance of 100 km from the receiver. Then the signal is coming via
For the reaction 2HI(g) ⇌ H2(g) + I2( g)
The degree of dissociation (α) of HI(g) is related to equilibrium constant, Kp by the expression
The correct order of pseudohalide, polyhalide and interhalogen are
Which of the following will be the correct spin magnetic moment value (B.M.) for the compound Hg[Co(SCN)4]?
(Round off up to 2 decimal places)
At room temperature, the mole fraction of a solute is 0.25 and the vapour pressure of pure solvent is 0.80 atm. The vapour pressure (in atm) is lowered by
(Round off up to 1 decimal place)
If f(x) is a quadratic expression such that f(1) + f(2) = 0, and -1 is a root of f(x) = 0, then the other root of f(x) = 0 is:
The number of four-lettered words that can be formed using the letters of the word BARRACK is:
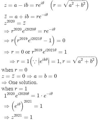
Number of ordered pairs (a, b) of real numbers such that (a + ib)2020 = a−ib
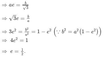
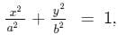
If the lines joining the foci of the ellipse
where a > b and an extremity of its minor axis are inclined at an angle 60°, then the eccentricity of the ellipse is
Suppose an ellipse and a hyperbola have the same pair of foci on the x- axis with centres at the origin and that they intersect at (2,2). If the eccentricity of the ellipse is 1/2, then the eccentricity of the hyperbola is
Solution of the differential equation x cos x (dy/dx) + y(x sin x + cos x) = 1 is
Let
and
determine diagonals of a parallelogram PQRS and
be another vector. Then the volume of the parallelepiped determined by the vectors 
A and B toss a die alternatively till one of them gets a six and wins the game. If A begins the game, then the probability of B winning the game is
Let X = {x : x = n3 + 2n + 1, n ∈ N} and Y = {x : x = 3n2 + 7, n ∈ N} then
For integers m and n, both greater than 1, consider the following three statements:
P : m divides n
Q : m divides n2
R : m is prime
then
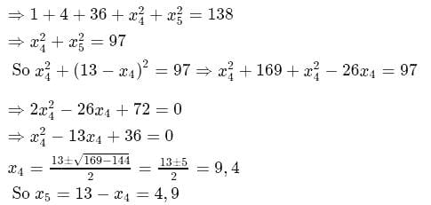
The mean of 5 observations is 4.4 and the variance is 8.24. If three of the five observations are 1,2 and 6, the two values are
359 docs|100 tests |