You can boost your JEE 2026 exam preparation with this JEE Main Mock Test - 6 (available with detailed solutions).. This mock test has been designed with the analysis of important topics, recent trends of the exam, and previous year questions of the last 3-years. All the questions have been designed to mirror the official pattern of JEE 2026 exam, helping you build speed, accuracy as per the actual exam.
Mock Test Highlights:
Sign up on EduRev for free and get access to these mock tests, get your All India Rank, and identify your weak areas to improve your marks & rank in the actual exam.
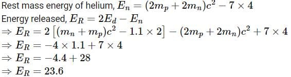
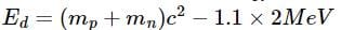
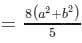
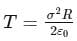
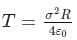
The binding energy per nucleon of deuteron
and helium atom
is 1.1 MeV and 7MeV respectively. If two deuteron atoms react to form a single helium atom, the released energy, is:
Detailed Solution: Question 1
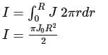
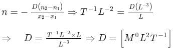
The number of particles crossing a unit area perpendicular to the X-axis in a unit time is given by
, where n1 and n2 are the number of particles per unit volume at x = x1 and x = x2, respectively, and D is the diffusion constant The dimensions of D are
Detailed Solution: Question 2
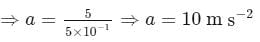
A constant force of 5 N accelerates a stationary particle of mass 500 gm through a displacement of 5m.The average power delivered is
Detailed Solution: Question 3
A machinist starts with three identical square plates but cuts one corner from first, two corners from the second and three corners from the third. Rank the three according to the x-coordinate of their centre of mass, from smallest to largest.

Detailed Solution: Question 4
A charged soap bubble having surface charge density σ and radius r. If the pressure inside and outside the soap bubble is the same, then the surface tension of the soap solution is
Detailed Solution: Question 5
A closed compartment containing gas is moving with some acceleration in horizontal direction. Neglect the effect of gravity. Then the pressure in the compartment is
Detailed Solution: Question 6
A cylindrical wire of radius R has current density varying with distance r from its axis as
. The total current through the wire is
Detailed Solution: Question 7
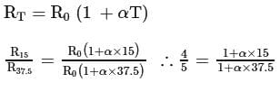
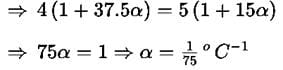
The ratio of the resistance of conductor at temperature 15°C to its resistance at temperature 37.5°C is 4:5 . The temperature coefficient of resistance of the conductor is -
Detailed Solution: Question 8
A person can see objects clearly only upto a maximum distance of 50 cm. His eye defect, nature of the corrective lens and its focal length are respectively
Detailed Solution: Question 9
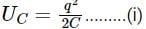
In an oscillating LC-circuit, the maximum charge on the capacitor is Q. The charge on this capacitor, when the energy is stored equally between the electric and magnetic fields, is:
Detailed Solution: Question 10
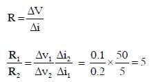
The I-V characteristic of a p-n junction diode in forward bias is shown in the figure. The ratio of dynamic resistance, corresponding to forward bias voltages of 2 V and 4 V respectively, is:

Detailed Solution: Question 11
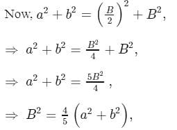
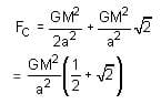
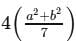
Four identical particles of mass M are located at the corners of a square of side 'a'. What should be their speed if each of them revolves under the influence of other's gravitational field in a circular orbit circumscribing the square?

Detailed Solution: Question 12
A plane electromagnetic wave of frequency 25 GHz is propagating in vacuum along the z-direction. At a particular point in space and time, the magnetic field is given by
The corresponding electric field
is: (Speed of light, c = 3 x 108 ms-1)
Detailed Solution: Question 13
An ideal gas at 27K is compressed adiabatically to 8/27 of its original volume. The rise in its temperature is: 
Detailed Solution: Question 14
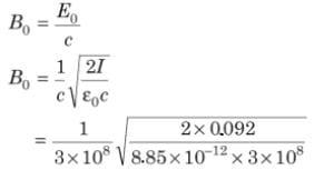
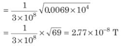
Intensity of sunlight is observed as 0.092 Wm-2 at a point in free space. What will be the peak value of magnetic field at that point? (ε0 = 8.85 x 10-12C2N-1m-2)
Detailed Solution: Question 15
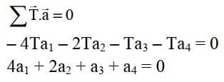
In the arrangement shown in figure a1, a2, a3 and a4 are the accelerations of masses m1, m2, m3 and m4 respectively. Which of the following relation is true for this arrangement?

Detailed Solution: Question 16
Find the truth table for the function Y of A and B represented in the following figure.

Detailed Solution: Question 17
Detailed Solution: Question 18
Among the following statements, which is true about boron compounds?
Detailed Solution: Question 19
At 25∘C, the resistance of a cell filled with 0.01 M KCl solution is 525 ohms. The resistance of the same cell filled with 0.1 M NH4OH is 2030 ohms. By calculating the degree of dissociation, calculate the equilibrium constant of NH4OH. Molar conductivity at infinite dilution for K+ and Cl- is 73.52 and 76.34 respectively.
Detailed Solution: Question 20
A current of 0.250 A is passed through 400 ml of a 2.0 M solution of NaCl for 35minutes. What will be the pH of the solution after the current is turned off ?
Detailed Solution: Question 21
The reaction of CO + HCl in the presence of AlCl3 with benzene to form benzaldehyde is called
Detailed Solution: Question 22
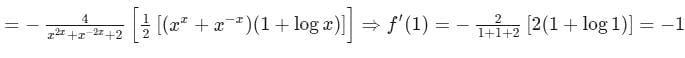
Detailed Solution: Question 23
The sequence of reagents which convert p-methyl aniline to p-methyl benzoic acid are
Detailed Solution: Question 24
From a point P(3,3) on the circle x2 + y2 = 18 two chords PQ and PR each of length 2 units are drawn on this circle. Then, the value of the length PM is equal to (where, M is the midpoint of the line segment joining Q and R)
Detailed Solution: Question 25
The length of the focal chord of the parabola y2 = 4x at a distance of 0.4 units from the origin is
Detailed Solution: Question 26
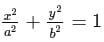
If the ellipse
is inscribed in a rectangle whose length to breadth ratio is 2:1, then the area of the rectangle is
Detailed Solution: Question 27
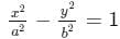
If a circle drawn by assuming a chord parallel to the transverse axis of hyperbola
as diameter always passes through (2,0), then
Detailed Solution: Question 28
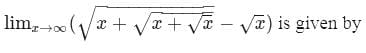
Detailed Solution: Question 29
Detailed Solution: Question 30
360 docs|100 tests |