You can boost your JEE 2026 exam preparation with this JEE Main Mock Test - 9 (available with detailed solutions).. This mock test has been designed with the analysis of important topics, recent trends of the exam, and previous year questions of the last 3-years. All the questions have been designed to mirror the official pattern of JEE 2026 exam, helping you build speed, accuracy as per the actual exam.
Mock Test Highlights:
Sign up on EduRev for free and get access to these mock tests, get your All India Rank, and identify your weak areas to improve your marks & rank in the actual exam.
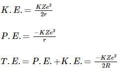
What is the radius of the imaginary concentric sphere that divides the electrostatic field of a metal sphere of a radius 20 cm and a charge of 8μC in two regions of identical energy. If it is n×10 cm then find n.

Detailed Solution: Question 1
A solid ball of mass m and radius R is released from the position shown in a large hollow fixed shell of same mass m and radius 3R as shown in the figure. The displacement of the centre of mass of the system from its initial position when the solid ball touches the lower surface of the hollow shell is (centres of both the spheres coincide initially):

Detailed Solution: Question 2
A solid sphere of mass M and radius R has a spherical cavity of radius R/2 such that the centre of the cavity is at distance R/2 from the centre of the sphere. A point mass m is placed inside the cavity at a distance R/4 from the centre of the sphere. The gravitational pull between the sphere and the point mass m is
Detailed Solution: Question 3
An electron is in an excited state in a hydrogen like atom. It has a total energy of −3.4 eV. The kinetic energy is E and its de-Broglie wavelength is λ. Then
Detailed Solution: Question 4
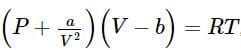
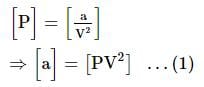
The equation of state of a real gas is given by
, where P, V and T are pressure, volume and temperature respectively and R is the universal gas constant. The dimensions of a/b2 is similar to that of :
Detailed Solution: Question 5
A particle is projected with a speed 10√2 m/s at an angle 45° with the horizontal. The rate of change of speed with respect to time at t = 1 s is given (g = 10 m/s²).
Detailed Solution: Question 6
The acceleration due to gravity on the surface of earth is g. If the diameter of earth reduces to half of its original value and mass remains constant, then acceleration due to gravity on the surface of earth would be :
Detailed Solution: Question 7
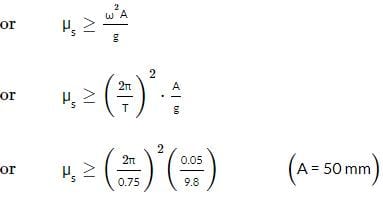
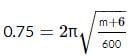
With the assumption of no slipping, determine the mass m of the block which must be placed on the top of a 6 kg cart in order that the system period is 0.75 s. What is the minimum coefficient of static friction μS for which the block will not slip relative to the cart if the cart is displaced 50 mm from the equilibrium positions and released?
Take (g = 9.8 m s−2).

Detailed Solution: Question 8
The angular width of the central maximum in the Fraunhofer diffraction pattern is measured. The slit is illuminated by light of wavelength 6000 Å. If the slit is illuminated by light of another wavelength, the angular width decreases by 30%. The wavelength of the light used is?
Detailed Solution: Question 9
Binding energy per nucleon verses mass number curve for nuclei is shown in the figure. W, X, Y and Z are four nuclei indicated on the curve. The process that would release energy is :-

Detailed Solution: Question 10
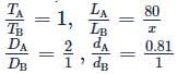
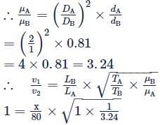
Two strings A and B of lengths, LA = 80 cm and LB = x cm respectively are used separately in a sonometer. The ratio of their densities is 0.81. the diameter of B is one-half that of A. if the strings have the same tension and fundamental frequency the value of x is
Detailed Solution: Question 11
The intensity of magnetization of a bar magnet is 5.0×104Am−1. The magnetic length and the area of cross-section of the magnet are 12cm and 1cm2 respectively. The magnitude of magnetic moment of this bar magnet is (in SI unit) M, find 10M.
Detailed Solution: Question 12
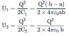
Two steel wires of same length but radii r and 2r are connected together end to end and tied to a wall as shown. The force stretches the combination by 10 mm. How far does the midpoint A move. (in mm)

Detailed Solution: Question 13
A solid cylinder has a radius R and height 3R with mass density ρ. Now, two half-spheres of radius R are removed from both ends. The moment of inertia of the remaining portion about axis ZZ' can be calculated as 29/6KπR⁵ρ. Find K.

Detailed Solution: Question 14
x grams of water is mixed in 69 g of ethanol. Mole fraction of ethanol in the resultant solution is 0.6 . What is the value of x in grams?
Detailed Solution: Question 15
What is the correct sequence of the increasing order of freezing points at one atmosphere of the following 1.0M aqueous solution?
1. Urea,
2. Sodium chloride,
3. Sodium sulphate,
4. Sodium phosphate.
Select the correct answer using the codes given below
Detailed Solution: Question 16
Which of the following amine does not react with Hinsberg's reagent?
Detailed Solution: Question 17
Acetamide is treated separately with the following reagents. Which one of these would give methylamine?
Detailed Solution: Question 18
Detailed Solution: Question 19
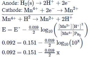
For the following electrochemical cell at 298 K:
Pt(s) | H₂(g, 1 bar) | H⁺ (aq, 1M) || M⁴⁺ (aq), M²⁺ (aq) | Pt(s)
Ecell = 0.092V when [M²⁺(aq)] / [M⁴⁺(aq)] = 10x
Given data:
The value of x (nearest integer) is ___.
Detailed Solution: Question 20
The number of acidic oxides in the following is.
N2O3, As2O3, Bi2O3, P4O6, Sb2O3
Detailed Solution: Question 21
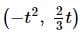
The axis of a parabola lie along the line y = x and the distance of its vertex from origin is √2 and that of focus is 2√2. If both focus and vertex lie in the first quadrant, then the equation of the parabola will be
Detailed Solution: Question 22
If principal argument of z0 satisfying |z−3| ≤ √2 and arg(z − 5i) = −π / 4 simultaneously is θ, then identify the incorrect statement?
Detailed Solution: Question 23
If
∀x ∈ R then number of roots of the equation f(x)(|x2 − 1| ) = 1 is
Detailed Solution: Question 24
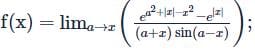
Let the function defined as
is a differentiable function in the interval (0, 2), then the value of [a + b] equals, ([⋅] represents greatest integer function)
Detailed Solution: Question 25
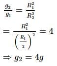
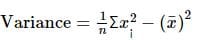
The mean of the numbers a, b, 8, 5, 10 is 6, and the variance is 6.80. Then, which one of the following gives possible values of a and b?
Detailed Solution: Question 26
In a triangle ABC, if
, then the projection of the vector
on
is equal to :
Detailed Solution: Question 27
If PQ is a double ordinate of the parabola y² = -4x, where P lies in the second quadrant, and R divides PQ in the ratio 2:1, then the locus of R will be:
Detailed Solution: Question 28
The number of 6-digit numbers, such that the digits of each number are all from the set {1,2,3,4,5};and any digit that appears in the number appears at least twice are equal to (Example : 225252 is an admissible number, while 222133 is not)
Detailed Solution: Question 29
Detailed Solution: Question 30
360 docs|100 tests |