You can boost your JEE 2026 exam preparation with this AP EAMCET Mock Test - 1 (available with detailed solutions).. This mock test has been designed with the analysis of important topics, recent trends of the exam, and previous year questions of the last 3-years. All the questions have been designed to mirror the official pattern of JEE 2026 exam, helping you build speed, accuracy as per the actual exam.
Mock Test Highlights:
Sign up on EduRev for free and get access to these mock tests, get your All India Rank, and identify your weak areas to improve your marks & rank in the actual exam.
A horizontal force of 10 N is necessary to hold a stationary block against a wall. The coefficient of friction between the block and the wall is 0.2. The weight of the block is

Detailed Solution: Question 1
Two blocks of masses m and M are placed on a horizontal frictionless table connected by a spring as shown in the figure. The block of mass M is pulled to the right with a force F. If the acceleration of the block of mass m is 'a', then the acceleration of the block of mass M will be

Detailed Solution: Question 2
A rectangular loop carrying a current i is situated near a long straight wire such that the wire is parallel to one of the sides of the loop. If a steady current is established in the wire, as shown in the figure, the loop will

Detailed Solution: Question 3
The angular momentum of the Earth revolving around the Sun is proportional to Rn, where R is the distance between the Earth and the Sun. The value of n is
Detailed Solution: Question 4
Spot the wrong statement:
The acceleration due to gravity g decreases if,
Detailed Solution: Question 5
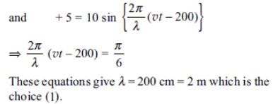
In a certain double slit experimental arrangement, interference fringes of width 1.0 mm each are observed when light of wavelength 5000 Å is used. Keeping the set-up unaltered if the source is replaced by another wavelength of 6000 Å, the fringe width will be -
Detailed Solution: Question 6
A radioactive sample S1 having an activity of 5 μCi has twice the number of nuclei as another sample S2, which has an activity of 10μCi The half lives of S1 and S2 can be
Detailed Solution: Question 7
Detailed Solution: Question 8
Which among the following polymer does not show cross linking in it?
Detailed Solution: Question 9
Detailed Solution: Question 10
Detailed Solution: Question 11
Detailed Solution: Question 12
Detailed Solution: Question 13
Based on first Jaw of thermodynamics which of the following is correct
Detailed Solution: Question 14
The molar conductivities at infinite dilution for sodium acetate, NaAc, HCI and NaCI are 91 S cm2 mol-1, 425.9 S cm2 mol-1 and 126.4 S cm2 mol-1 respectively. The molar conductivity of acetic acid at infinite dilution is
Detailed Solution: Question 15
A polymer which becomes soft on heating and hard on cooling, belongs to class of
Detailed Solution: Question 16
Detailed Solution: Question 17
A particle moves so that x = 2 + 27t - t3. The Erection of motion reverses after moving a distance of ... units.
Detailed Solution: Question 18
Detailed Solution: Question 19
Detailed Solution: Question 20
A player tosses 2 fair coins. He wins Rs. 5 if 2 heads appear, Rs. 2 If 1 head appear and Rs. 1 if no head appears, then the variance of his winning amount is
Detailed Solution: Question 21
Detailed Solution: Question 22
Detailed Solution: Question 23
The vector equation of the plane
in scalar product form is
then α = ...
Detailed Solution: Question 24
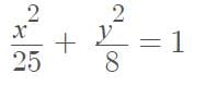
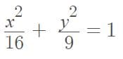
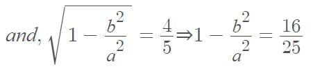
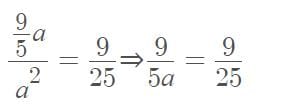
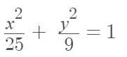
The length of the latusrectum of an ellipse is 18/5 and eccentricity is 4/5, then the equation of the ellipse is ...
Detailed Solution: Question 25
Detailed Solution: Question 26
If the sum of the slopes of the lines given by x² – 4p x y + 8y² = 0 is three times their product, then p =
Detailed Solution: Question 27
Detailed Solution: Question 28
If p and q are true and r and s are false statements, then which of the following is true?
Detailed Solution: Question 29
If f( x) = (x), where (x) is the greatest integer not greater than x, then f’(1) = ...
Detailed Solution: Question 30
|
10 tests
|