You can boost your JEE 2026 exam preparation with this AP EAMCET Mock Test - 6 (available with detailed solutions).. This mock test has been designed with the analysis of important topics, recent trends of the exam, and previous year questions of the last 3-years. All the questions have been designed to mirror the official pattern of JEE 2026 exam, helping you build speed, accuracy as per the actual exam.
Mock Test Highlights:
Sign up on EduRev for free and get access to these mock tests, get your All India Rank, and identify your weak areas to improve your marks & rank in the actual exam.
Figure show the circular coil carrying current l kept very close but not touching at a point A on a straight conductor carrying the same current I. The magnitude of magnetic induction at the centre of the circular coil will be

Detailed Solution: Question 1
Detailed Solution: Question 2
In case of dimension of electric field and electric dipole moment the power of mass is respectively,
Detailed Solution: Question 3
Two pendulums begin to swing simultaneously. The first pendulum makes nine full oscillations when the other makes seven. The ratio of the lengths of toe two pendulums is
Detailed Solution: Question 4
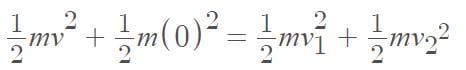
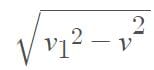
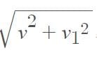
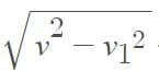
A block of mass ‘m’ moving on a frictionless surface at speed V collides elastically with a block of the same mass, initially at rest. Now the first block moves at an angle 'θ’ with its Initial direction and has speed ‘v1’. The speed of the second block after the collision is
Detailed Solution: Question 5
Light of wavelength ‘λ‘ is incident on a single slit of width 'a', and the distance between slit and screen is ‘D’. In diffraction pattern, if slit width is equal to the width of the central maximum, then 'D’ is equal to
Detailed Solution: Question 6
Six very long insulated (topper wires are bound together to form a cable. The currents carried by the wires are l1 = +10 A, l2 = - 13A , l3 = +10A, l4 = + 7A, l5 = 12A and l6 = 18A. The magnetic induction at a perpendicular distance of 10 cm from the cable is (μ0 = 4π x 10-7 Wb/A-m)
Detailed Solution: Question 7
The current i in a coil varies with time as shown in the figure. The variation of induced emf with time would be

Detailed Solution: Question 8
An aircraft is moving with uniform velocity 150 m/s in space. If all the forces acting on it are balanced, then it will
Detailed Solution: Question 9
An LCR circuit is equivalent to a damped pendulum. In an LCR circuit, the capacitor is charged to Q0 and then connected to the L and R as shown below:

If a student plots graphs of the square of maximum charge
on the capacitor with time (t) for two different values L1 and L2 (L1 > L2) of L, then which of the following represents this graph correctly?
(Plots are schematic and not drawn to scale)
Detailed Solution: Question 10
Two point charges exert on each other a force F when they are placed r distance apart in air. When they are placed R distance apart in medium of dielectric constant K, they exert the same force. The distance R equals
Detailed Solution: Question 11
The compound X is tested by following tests and their result are:

What is the Compound X?
Detailed Solution: Question 12
A+2B→C, the rate equation for the reaction is given as
Rate =k[A][B]
If the concentration of A is kept the same but that of B is doubled what will happen to the rate itself?
Detailed Solution: Question 13
Detailed Solution: Question 14
Detailed Solution: Question 15
If 10 volume of H2O2 reacts completely with 100 ml of 2 N KMnO4, calculate the volume of H2O2 used in mL.
Detailed Solution: Question 16
Detailed Solution: Question 17
Which of the following statements is false for the reaction H2 + Br2 →2HBr?
The rate law is 
Detailed Solution: Question 18
A heating coil is immersed in a 100 g sample of H2O (l) at 1 atm and 100oC in a closed vessel. In this heating process, 60% of the liquid is converted to the gaseous form at a constant pressure of 1 atm. The densities of liquid and gaseous water under these conditions are 1000 kg m−3 and 0.60 kg m−3, respectively. The magnitude of the work done for the process is -
Detailed Solution: Question 19
The projection of the vector î - 2 ĵ + k̂ on the vector 4 î - 4 ĵ + 7 k̂ is
If the roots of the equation (2k+1)x2 - (7k-3)x+k+2=0 are reciprocal of each other, the value of k is
If the slope of the normal to the curve x3 = 8a2y, a > 0, at a point in the first quadrant is - 2/3, then the point is
A die is thrown 100 times. If getting an even number is considered a success, then the variance of the number of successes is
If the two roots of the equation x3-3x+2=0 are equal, roots are
If (a, b), (c, d), (e, f) are the verices of a triangle such that a, c, e are in G.P. with common ratio r and b, d, f are in G.P. with common ratio's then the area of the triangle is
The order of differential equation (d2y/dx2)2 = (1+dy/dx)1/2 is