JEE Exam  >  JEE Tests  >  Test: Electronic configuration, Quantum Mechanical Model - JEE MCQ

Test: Electronic configuration, Quantum Mechanical Model - JEE MCQ


Test Description

20 Questions MCQ Test - Test: Electronic configuration, Quantum Mechanical Model

Test: Electronic configuration, Quantum Mechanical Model for JEE 2025 is part of JEE preparation. The Test: Electronic configuration, Quantum Mechanical Model questions and answers have been prepared according to the JEE exam syllabus.The Test: Electronic configuration, Quantum Mechanical Model MCQs are made for JEE 2025 Exam. Find important definitions, questions, notes, meanings, examples, exercises, MCQs and online tests for Test: Electronic configuration, Quantum Mechanical Model below.
Solutions of Test: Electronic configuration, Quantum Mechanical Model questions in English are available as part of our course for JEE & Test: Electronic configuration, Quantum Mechanical Model solutions in Hindi for JEE course. Download more important topics, notes, lectures and mock test series for JEE Exam by signing up for free. Attempt Test: Electronic configuration, Quantum Mechanical Model | 20 questions in 20 minutes | Mock test for JEE preparation | Free important questions MCQ to study for JEE Exam | Download free PDF with solutions
Test: Electronic configuration, Quantum Mechanical Model - Question 1

Which of the following is not permissible arrangement of electrons in an atom?

Detailed Solution for Test: Electronic configuration, Quantum Mechanical Model - Question 1

to , through zero thus for values of will be
Therefore for cannot have the value

Test: Electronic configuration, Quantum Mechanical Model - Question 2

The orbital diagram in which the Aufbau principle is violated is:

Detailed Solution for Test: Electronic configuration, Quantum Mechanical Model - Question 2
According to Aufbau principle, the orbital of lower energy should be fully filled before the filling of orbital of higher energy starts.
Test: Electronic configuration, Quantum Mechanical Model - Question 3

What are the numbers of angular nodes and radial nodes for -orbitals respectively?

Detailed Solution for Test: Electronic configuration, Quantum Mechanical Model - Question 3
Angular node:
It is also known as a nodal plane.
It is a plane that is passing through the nucleus.
Angular Node
As, Radial Node
where,
Azimuthal Quantum Number is a Quantum Number for an atomic orbital that determines its orbital angular momentum and describes the shape of the orbital.
For d orbital the value of Azimuthal Quantum Number
Test: Electronic configuration, Quantum Mechanical Model - Question 4

The electrons identified by quantum numbers and :
a)
b)
c)
d)
Can be placed in order of increasing energy

Detailed Solution for Test: Electronic configuration, Quantum Mechanical Model - Question 4

The greater is the value of , the greater is the energy of orbitals.
(a) n = 4, l = 1 ⇒ 4p orbital
(b) n = 4, l = 0 ⇒ 4 s orbital
(c) n = 3, l = 2 ⇒ 3d orbital
(d) n = 3, l = 1 ⇒ 3p orbital
According to the Aufbau principle, energies of above-mentioned orbitals are in the order of-
The increasing order of energy (d) 3p < (b) 4 s < (c) 3 d < (a) 4p
So, (d) < (b) < (c) < (a) is correct order.

Test: Electronic configuration, Quantum Mechanical Model - Question 5

What will be the difference between electromagnetic radiation shown in A and B respectively ?

(i) Velocity
(ii) Wavelength
(iii) Frequency
(iv) Energy

Detailed Solution for Test: Electronic configuration, Quantum Mechanical Model - Question 5

waves shown in figure has higher wavelength in comparison to waves shown in figure .
Thus these waves also differ in frequency and energy. 



Test: Electronic configuration, Quantum Mechanical Model - Question 6

Which of the following radial distribution graphs correspond to for the atom ?

Detailed Solution for Test: Electronic configuration, Quantum Mechanical Model - Question 6

represent orbital for which

Test: Electronic configuration, Quantum Mechanical Model - Question 7

Which combinations of quantum numbers, n,l, m and s for the electron in an atom does not provide a permissible solution of the wave equation?

Detailed Solution for Test: Electronic configuration, Quantum Mechanical Model - Question 7

Possible values of and depend upon the value of
to
to through zero
and
Thus for
may be 0,1 or but not 3
m may be or
may or

Test: Electronic configuration, Quantum Mechanical Model - Question 8
What is the lowest value of n that allows g orbital to exist?
Detailed Solution for Test: Electronic configuration, Quantum Mechanical Model - Question 8
For g orbital, value of 'l' is 4.

Since , n should be atleast 5.
Test: Electronic configuration, Quantum Mechanical Model - Question 9
Which of the following represents Schrödinger equation/s
Detailed Solution for Test: Electronic configuration, Quantum Mechanical Model - Question 9
All of the given equations represent Schrödinger equation.
Test: Electronic configuration, Quantum Mechanical Model - Question 10

Which of the following should be the number of electrons present in on the basis of electronic configuration, if the ion has 14 protons?

Detailed Solution for Test: Electronic configuration, Quantum Mechanical Model - Question 10

has 14 protons, i.e.,
also has 14 protons and therefore 14 electrons.

electrons

Test: Electronic configuration, Quantum Mechanical Model - Question 11

Which one of the following set of quantum numbers is not possible for 4p electron?

Detailed Solution for Test: Electronic configuration, Quantum Mechanical Model - Question 11

For 4p electron n = 4,1 = 1, m = −1,0+1 and S = +1/2 or −1/2

Test: Electronic configuration, Quantum Mechanical Model - Question 12
If the nitrogen atom had electronic configuration it would have energy lower than that of the normal ground state configuration because the electrons would be closer to the nucleus. Yet is not observed. It violates
Detailed Solution for Test: Electronic configuration, Quantum Mechanical Model - Question 12
Not more than two electrons can be present in same atomic orbital. This is Pauli's exclusion principle.
Test: Electronic configuration, Quantum Mechanical Model - Question 13

The correct order of increasing energy of atomic orbitals is

Detailed Solution for Test: Electronic configuration, Quantum Mechanical Model - Question 13

According to Aufbau principle electron are filled in various atomic orbitals in the increasing order of energy:
1 s < 2 s < 2p < 3 s < 3p < 4 s < 3 d < 4p < 5 s < 4 d < 5p < 6 s < 4f < 5 d < 6p < 7 s

Test: Electronic configuration, Quantum Mechanical Model - Question 14

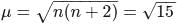
The ratio of magnetic moments of Fe(III) and Co(II)s

Detailed Solution for Test: Electronic configuration, Quantum Mechanical Model - Question 14

Electronic configuration of
So number of unpaired elctrons is
Hence, 
Now,
Electronic configuration of
So number of unpaired electros is
Hence, 
So, Ratio of Magnetic moments of and is: 

Test: Electronic configuration, Quantum Mechanical Model - Question 15
Which one of the following is the correct set of four quantum numbers ?
Detailed Solution for Test: Electronic configuration, Quantum Mechanical Model - Question 15

For
For
Test: Electronic configuration, Quantum Mechanical Model - Question 16
The energies of orbitals of hydrogen atom are in the order
Detailed Solution for Test: Electronic configuration, Quantum Mechanical Model - Question 16
In hydrogen atom, the energy of electron depends upon principle quantum number only and not on azimuthal quantum number due to lack of inter electronic repulsions.
Test: Electronic configuration, Quantum Mechanical Model - Question 17

Which of the following symbols correctly represents an orbitals in an atom?

Detailed Solution for Test: Electronic configuration, Quantum Mechanical Model - Question 17

The function R depends on the quantum numbers n and l, the function Θ depends on l and |m| and the function Φ depends on m.

Test: Electronic configuration, Quantum Mechanical Model - Question 18
Which of the following statements on the square of atomic wave function at a point near to the nucleus is not correct?
Detailed Solution for Test: Electronic configuration, Quantum Mechanical Model - Question 18
cannot be imaginary. is positive for a real wave function and (where is the complex conjugate of ) is positive.
Test: Electronic configuration, Quantum Mechanical Model - Question 19
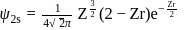
The wave function of atomic orbital of H like species is given as

The radius for nodal surface for ion in .
Detailed Solution for Test: Electronic configuration, Quantum Mechanical Model - Question 19
As at nodal surface probability of finding an electron is zero, therefor, 
So
Test: Electronic configuration, Quantum Mechanical Model - Question 20

When 4 f subshell is completely filled with electrons, the next electron will enter into a subshell for which, (n+L) value is equal to

Detailed Solution for Test: Electronic configuration, Quantum Mechanical Model - Question 20

The next electron will enter into 5d subshell
whose (n+l) value is equal to 7.

Information about Test: Electronic configuration, Quantum Mechanical Model Page
In this test you can find the Exam questions for Test: Electronic configuration, Quantum Mechanical Model solved & explained in the simplest way possible. Besides giving Questions and answers for Test: Electronic configuration, Quantum Mechanical Model, EduRev gives you an ample number of Online tests for practice
Download as PDF