JEE Exam  >  JEE Tests  >  Test: Preparation and Properties of Aryl Halides,Geminal and Vicinal Dihalides - JEE MCQ

Test: Preparation and Properties of Aryl Halides,Geminal and Vicinal Dihalides - JEE MCQ


Test Description

15 Questions MCQ Test - Test: Preparation and Properties of Aryl Halides,Geminal and Vicinal Dihalides

Test: Preparation and Properties of Aryl Halides,Geminal and Vicinal Dihalides for JEE 2025 is part of JEE preparation. The Test: Preparation and Properties of Aryl Halides,Geminal and Vicinal Dihalides questions and answers have been prepared according to the JEE exam syllabus.The Test: Preparation and Properties of Aryl Halides,Geminal and Vicinal Dihalides MCQs are made for JEE 2025 Exam. Find important definitions, questions, notes, meanings, examples, exercises, MCQs and online tests for Test: Preparation and Properties of Aryl Halides,Geminal and Vicinal Dihalides below.
Solutions of Test: Preparation and Properties of Aryl Halides,Geminal and Vicinal Dihalides questions in English are available as part of our course for JEE & Test: Preparation and Properties of Aryl Halides,Geminal and Vicinal Dihalides solutions in Hindi for JEE course. Download more important topics, notes, lectures and mock test series for JEE Exam by signing up for free. Attempt Test: Preparation and Properties of Aryl Halides,Geminal and Vicinal Dihalides | 15 questions in 20 minutes | Mock test for JEE preparation | Free important questions MCQ to study for JEE Exam | Download free PDF with solutions
Test: Preparation and Properties of Aryl Halides,Geminal and Vicinal Dihalides - Question 1


Find out and :

Detailed Solution for Test: Preparation and Properties of Aryl Halides,Geminal and Vicinal Dihalides - Question 1

Test: Preparation and Properties of Aryl Halides,Geminal and Vicinal Dihalides - Question 2


The final product of the reaction is :

Detailed Solution for Test: Preparation and Properties of Aryl Halides,Geminal and Vicinal Dihalides - Question 2

The reaction involves the formation of a Grignard reagent by reacting the iodine atom in the compound with Mg in the presence of ether. The Grignard reagent then undergoes an intramolecular nucleophilic addition with the ketone group, leading to the formation of a six-membered cyclic ketone with the fluorinated benzene ring attached. This showcases the utility of Grignard reagents in forming cyclic compounds.

Test: Preparation and Properties of Aryl Halides,Geminal and Vicinal Dihalides - Question 3

Which of the following is the geminal dichloride?

Detailed Solution for Test: Preparation and Properties of Aryl Halides,Geminal and Vicinal Dihalides - Question 3
A geminal dihalide has the two halogen atoms at the same carbon atom.

Test: Preparation and Properties of Aryl Halides,Geminal and Vicinal Dihalides - Question 4

In the following reaction sequence :

The compound I is :

Detailed Solution for Test: Preparation and Properties of Aryl Halides,Geminal and Vicinal Dihalides - Question 4

Test: Preparation and Properties of Aryl Halides,Geminal and Vicinal Dihalides - Question 5
Which of the following will have a meso isomer?
Detailed Solution for Test: Preparation and Properties of Aryl Halides,Geminal and Vicinal Dihalides - Question 5
The compound has two similar assymmetric C-atoms. It has plane of symmetry and exist in meso form.
Test: Preparation and Properties of Aryl Halides,Geminal and Vicinal Dihalides - Question 6
Identify in the reaction :

Detailed Solution for Test: Preparation and Properties of Aryl Halides,Geminal and Vicinal Dihalides - Question 6

This reaction is known as Wurtz-Fittig reaction where the alkyl halide reacts with aryl halide with sodium in pressure of dry ether.
Test: Preparation and Properties of Aryl Halides,Geminal and Vicinal Dihalides - Question 7
Arrange the following compounds in order of increasing dipole moment :
(I) Toluene
(II) -dichlorobenzene
(III) -dichlorobenzene
(IV) -dichlorobenzene
Detailed Solution for Test: Preparation and Properties of Aryl Halides,Geminal and Vicinal Dihalides - Question 7
In -dichlorobenzene, the two equal dipoles are in opposite direction, hence the molecule has zero dipole moment. In - and - dichlorobenzenes, the two dipoles are at and apart respectively, and thus according to parallelogram law of forces, the dipole moment of -dichlorobenzene is much higher than that of -isomer. Lastly, toluene with a +I group possesses little dipole moment. Thus the overall order is
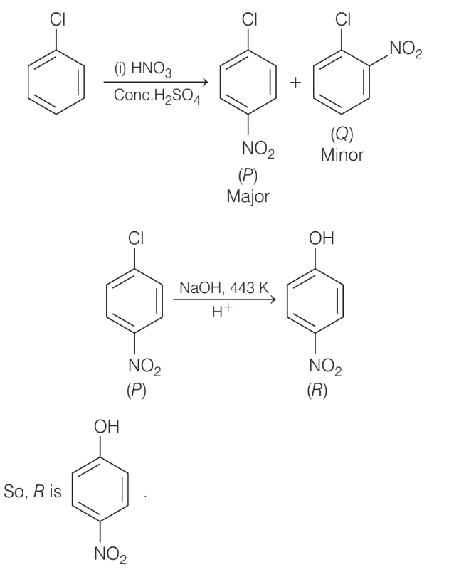
Test: Preparation and Properties of Aryl Halides,Geminal and Vicinal Dihalides - Question 8
The product in the following synthetic scheme is

Detailed Solution for Test: Preparation and Properties of Aryl Halides,Geminal and Vicinal Dihalides - Question 8
Chlorobenzene undergoes nitration reaction -nitrochlorobenzene as a major product. It further 4-nitrophenol.

Test: Preparation and Properties of Aryl Halides,Geminal and Vicinal Dihalides - Question 9
Which of the following statements are correct?
A. The bond in chlorobenzene is shorter than in chloromethane.
B. It is difficult to replace chlorine from chlorobenzene than from benzyl chloride.
C. The bond in chlorobenzene has some double bond character.
D. Chlorobenzene on chlorination gives m-dichlorobenzene
Detailed Solution for Test: Preparation and Properties of Aryl Halides,Geminal and Vicinal Dihalides - Question 9

Chlorobenzene has double bond character between and . So, it is difficult to replace form than form benzyl chloride.
(c) has double bond character in chlorobenzene.
(d) Chlorobenzene on chlorination gives -dichlorobenzene due to -directing effect of .
Thus, option (a) is correct.
Test: Preparation and Properties of Aryl Halides,Geminal and Vicinal Dihalides - Question 10
Identify the halogen exchange reaction from the following.
Detailed Solution for Test: Preparation and Properties of Aryl Halides,Geminal and Vicinal Dihalides - Question 10

Finkelstein reaction: It is an reaction (substitution nucleophilic bimolecular reaction) that involves an exchange of one halogen atom for another. It is an organic reaction, which uses an alkyl halide exchange into another alkyl halide through a reaction, wherein the metal halide is used.

Reaction with halides:

Test: Preparation and Properties of Aryl Halides,Geminal and Vicinal Dihalides - Question 11
Replacement of of chlorobenzene to give phenol requires drastic conditions but chlorine of 2,4 -dinitrochlorobenzene is readily replaced This is because
Detailed Solution for Test: Preparation and Properties of Aryl Halides,Geminal and Vicinal Dihalides - Question 11
group withdraws electrons from - and -positions and hence activates the present on that position towards nucleophilic substitution.
Test: Preparation and Properties of Aryl Halides,Geminal and Vicinal Dihalides - Question 12
The final product obtained in the reaction
Detailed Solution for Test: Preparation and Properties of Aryl Halides,Geminal and Vicinal Dihalides - Question 12
Test: Preparation and Properties of Aryl Halides,Geminal and Vicinal Dihalides - Question 13
The compound

The compound is
Detailed Solution for Test: Preparation and Properties of Aryl Halides,Geminal and Vicinal Dihalides - Question 13
Test: Preparation and Properties of Aryl Halides,Geminal and Vicinal Dihalides - Question 14

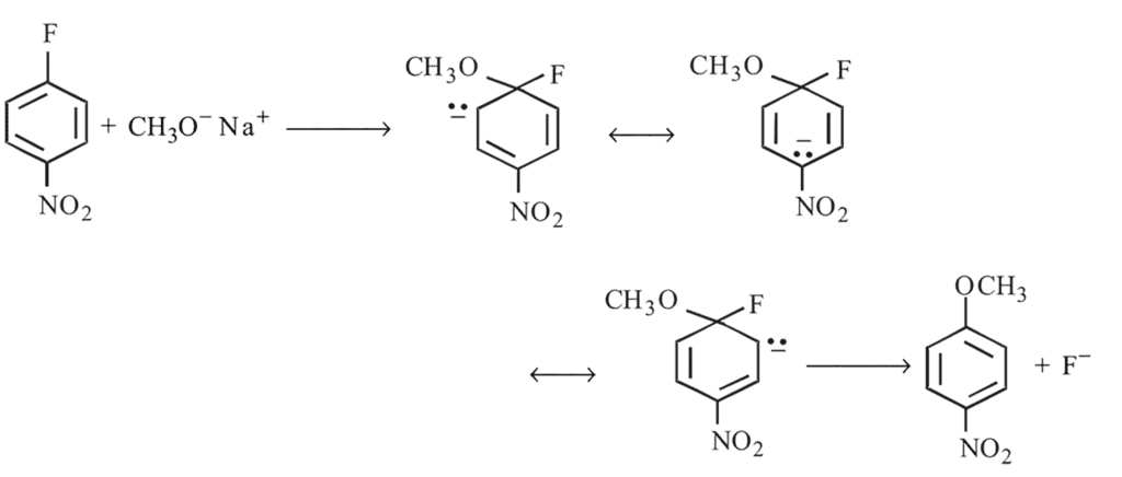
Which of the following is (are) true concerning the intermediate in the addition-elimination mechanism of the following reaction ?

The intermediate is aromatic, The intermediate is a resonance stabilised anion, Electron withdrawing groups on the benzene ring stabilises the intermediate

Detailed Solution for Test: Preparation and Properties of Aryl Halides,Geminal and Vicinal Dihalides - Question 14

Test: Preparation and Properties of Aryl Halides,Geminal and Vicinal Dihalides - Question 15

Chlorobenzene reacts with trichloro acetaldehyde in the presence of .

The major product formed is:

Detailed Solution for Test: Preparation and Properties of Aryl Halides,Geminal and Vicinal Dihalides - Question 15

Chloral on reaction with chlorobenzene in the presence of a catalytic amount of sulphuric acid forms DDT (dichlorodiphenyl Trichloro ethane).

Information about Test: Preparation and Properties of Aryl Halides,Geminal and Vicinal Dihalides Page
In this test you can find the Exam questions for Test: Preparation and Properties of Aryl Halides,Geminal and Vicinal Dihalides solved & explained in the simplest way possible. Besides giving Questions and answers for Test: Preparation and Properties of Aryl Halides,Geminal and Vicinal Dihalides, EduRev gives you an ample number of Online tests for practice
Download as PDF