JEE Exam  >  JEE Tests  >  Test: Preparation and Properties of derivatives of Cyanides & Isocyanides - JEE MCQ

Test: Preparation and Properties of derivatives of Cyanides & Isocyanides - JEE MCQ


Test Description

15 Questions MCQ Test - Test: Preparation and Properties of derivatives of Cyanides & Isocyanides

Test: Preparation and Properties of derivatives of Cyanides & Isocyanides for JEE 2025 is part of JEE preparation. The Test: Preparation and Properties of derivatives of Cyanides & Isocyanides questions and answers have been prepared according to the JEE exam syllabus.The Test: Preparation and Properties of derivatives of Cyanides & Isocyanides MCQs are made for JEE 2025 Exam. Find important definitions, questions, notes, meanings, examples, exercises, MCQs and online tests for Test: Preparation and Properties of derivatives of Cyanides & Isocyanides below.
Solutions of Test: Preparation and Properties of derivatives of Cyanides & Isocyanides questions in English are available as part of our course for JEE & Test: Preparation and Properties of derivatives of Cyanides & Isocyanides solutions in Hindi for JEE course. Download more important topics, notes, lectures and mock test series for JEE Exam by signing up for free. Attempt Test: Preparation and Properties of derivatives of Cyanides & Isocyanides | 15 questions in 20 minutes | Mock test for JEE preparation | Free important questions MCQ to study for JEE Exam | Download free PDF with solutions
Test: Preparation and Properties of derivatives of Cyanides & Isocyanides - Question 1

What is the final product (B) of this sequence?

Detailed Solution for Test: Preparation and Properties of derivatives of Cyanides & Isocyanides - Question 1
Test: Preparation and Properties of derivatives of Cyanides & Isocyanides - Question 2

Aniline reacts with phosgene and to form

Detailed Solution for Test: Preparation and Properties of derivatives of Cyanides & Isocyanides - Question 2

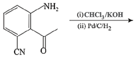
Test: Preparation and Properties of derivatives of Cyanides & Isocyanides - Question 3

In the reaction the product obtained is

Detailed Solution for Test: Preparation and Properties of derivatives of Cyanides & Isocyanides - Question 3


The reaction is called mustard oil reaction.
Test: Preparation and Properties of derivatives of Cyanides & Isocyanides - Question 4
Acetaldoxime reacts with to give
Detailed Solution for Test: Preparation and Properties of derivatives of Cyanides & Isocyanides - Question 4
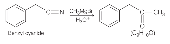
Test: Preparation and Properties of derivatives of Cyanides & Isocyanides - Question 5

The molecular formula of the final product of the following synthetic scheme is

Detailed Solution for Test: Preparation and Properties of derivatives of Cyanides & Isocyanides - Question 5

When benzyl iodide reacts with displaces I and form benzyl cyanide.

Grignard reagent will add to nitrile to form imine. Imines can be treated with aqueous acid to give ketone.

Test: Preparation and Properties of derivatives of Cyanides & Isocyanides - Question 6
Which of the following reactions does not yield an amine
Detailed Solution for Test: Preparation and Properties of derivatives of Cyanides & Isocyanides - Question 6

It yield amine when reduced as -
Test: Preparation and Properties of derivatives of Cyanides & Isocyanides - Question 7
In the mechanism of Hoffmann reaction, which intermediate rearranges to alkyl isocyanate?
Detailed Solution for Test: Preparation and Properties of derivatives of Cyanides & Isocyanides - Question 7
Test: Preparation and Properties of derivatives of Cyanides & Isocyanides - Question 8
The yield of a acetanilide in the reaction (100% conversion) of 2 moles of aniline with 1 mole of acetic anhydride is
Detailed Solution for Test: Preparation and Properties of derivatives of Cyanides & Isocyanides - Question 8
The reaction between aniline and acetic anhydride is as follows :
Test: Preparation and Properties of derivatives of Cyanides & Isocyanides - Question 9

In the reaction shown below, the major product(s) formed is/are

Detailed Solution for Test: Preparation and Properties of derivatives of Cyanides & Isocyanides - Question 9

group is acetylated by acetic anhydride in methylene chloride (solvent).

Note that group does not undergo acetylation because here lone pair of electrons is delocalised.

Test: Preparation and Properties of derivatives of Cyanides & Isocyanides - Question 10
Which of the following statements regarding amides is not correct?
Detailed Solution for Test: Preparation and Properties of derivatives of Cyanides & Isocyanides - Question 10
Amides are not basic and do not form salts in aqueous solution. Amides are quite stable, compared to other acid derivatives, and vigorous conditions are required for their hydrolysis.
Test: Preparation and Properties of derivatives of Cyanides & Isocyanides - Question 11
Which named reaction is used to convert amides into amines
Detailed Solution for Test: Preparation and Properties of derivatives of Cyanides & Isocyanides - Question 11
Hofmann’s bromamide reaction

Test: Preparation and Properties of derivatives of Cyanides & Isocyanides - Question 12
Acetamide is treated with the following reagents separately. Which one of these would yield methyl amine?
Detailed Solution for Test: Preparation and Properties of derivatives of Cyanides & Isocyanides - Question 12
Acetamide on reaction with gives methylamine it is known as Hoffmann Bromamide reaction.
Test: Preparation and Properties of derivatives of Cyanides & Isocyanides - Question 13
Total number of reactions in which isocyanides are formed
Detailed Solution for Test: Preparation and Properties of derivatives of Cyanides & Isocyanides - Question 13
I, II and V.
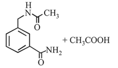
Test: Preparation and Properties of derivatives of Cyanides & Isocyanides - Question 14

The major product obtained in the following reaction is :

Detailed Solution for Test: Preparation and Properties of derivatives of Cyanides & Isocyanides - Question 14

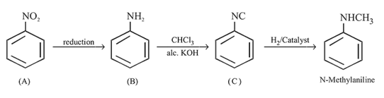
Test: Preparation and Properties of derivatives of Cyanides & Isocyanides - Question 15
An organic compound (A) on reduction gives compound (B). (B) on treatment with and alcoholic gives (C). (C) on catalytic reduction gives N-methylaniline. The compound A is
Detailed Solution for Test: Preparation and Properties of derivatives of Cyanides & Isocyanides - Question 15
Information about Test: Preparation and Properties of derivatives of Cyanides & Isocyanides Page
In this test you can find the Exam questions for Test: Preparation and Properties of derivatives of Cyanides & Isocyanides solved & explained in the simplest way possible. Besides giving Questions and answers for Test: Preparation and Properties of derivatives of Cyanides & Isocyanides, EduRev gives you an ample number of Online tests for practice
Download as PDF