JEE Exam  >  JEE Tests  >  Binomial Theorem & its Simple Applications - 2 - JEE MCQ

Binomial Theorem & its Simple Applications - 2 - JEE MCQ


Test Description

30 Questions MCQ Test - Binomial Theorem & its Simple Applications - 2

Binomial Theorem & its Simple Applications - 2 for JEE 2025 is part of JEE preparation. The Binomial Theorem & its Simple Applications - 2 questions and answers have been prepared according to the JEE exam syllabus.The Binomial Theorem & its Simple Applications - 2 MCQs are made for JEE 2025 Exam. Find important definitions, questions, notes, meanings, examples, exercises, MCQs and online tests for Binomial Theorem & its Simple Applications - 2 below.
Solutions of Binomial Theorem & its Simple Applications - 2 questions in English are available as part of our course for JEE & Binomial Theorem & its Simple Applications - 2 solutions in Hindi for JEE course. Download more important topics, notes, lectures and mock test series for JEE Exam by signing up for free. Attempt Binomial Theorem & its Simple Applications - 2 | 30 questions in 60 minutes | Mock test for JEE preparation | Free important questions MCQ to study for JEE Exam | Download free PDF with solutions
Binomial Theorem & its Simple Applications - 2 - Question 1


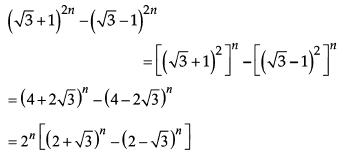
Detailed Solution for Binomial Theorem & its Simple Applications - 2 - Question 1


Binomial Theorem & its Simple Applications - 2 - Question 2

Detailed Solution for Binomial Theorem & its Simple Applications - 2 - Question 2

Binomial Theorem & its Simple Applications - 2 - Question 3


Detailed Solution for Binomial Theorem & its Simple Applications - 2 - Question 3


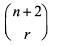
Binomial Theorem & its Simple Applications - 2 - Question 4


Detailed Solution for Binomial Theorem & its Simple Applications - 2 - Question 4


Binomial Theorem & its Simple Applications - 2 - Question 5


Detailed Solution for Binomial Theorem & its Simple Applications - 2 - Question 5


Binomial Theorem & its Simple Applications - 2 - Question 6

Detailed Solution for Binomial Theorem & its Simple Applications - 2 - Question 6

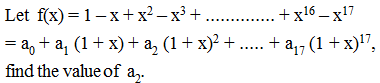
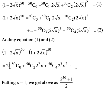
Binomial Theorem & its Simple Applications - 2 - Question 7


Detailed Solution for Binomial Theorem & its Simple Applications - 2 - Question 7


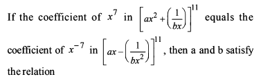
Binomial Theorem & its Simple Applications - 2 - Question 8


Detailed Solution for Binomial Theorem & its Simple Applications - 2 - Question 8

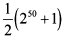
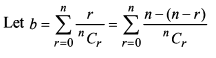
Binomial Theorem & its Simple Applications - 2 - Question 9


Detailed Solution for Binomial Theorem & its Simple Applications - 2 - Question 9


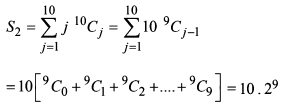
Binomial Theorem & its Simple Applications - 2 - Question 10


Detailed Solution for Binomial Theorem & its Simple Applications - 2 - Question 10


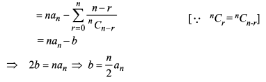
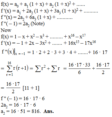
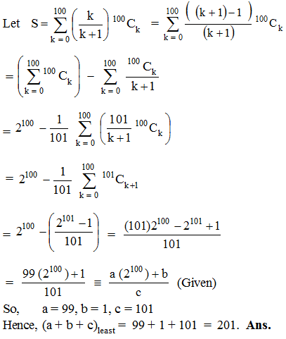
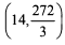
Binomial Theorem & its Simple Applications - 2 - Question 11


Detailed Solution for Binomial Theorem & its Simple Applications - 2 - Question 11


Binomial Theorem & its Simple Applications - 2 - Question 12


Detailed Solution for Binomial Theorem & its Simple Applications - 2 - Question 12


Binomial Theorem & its Simple Applications - 2 - Question 13


Detailed Solution for Binomial Theorem & its Simple Applications - 2 - Question 13

Binomial Theorem & its Simple Applications - 2 - Question 14


Detailed Solution for Binomial Theorem & its Simple Applications - 2 - Question 14


Binomial Theorem & its Simple Applications - 2 - Question 15


Detailed Solution for Binomial Theorem & its Simple Applications - 2 - Question 15


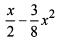
Binomial Theorem & its Simple Applications - 2 - Question 16

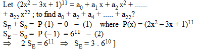
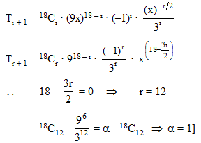
The sum of the co-efficients of all the even powers of x in the expansion of   (2x2 - 3x + 1)11  is

Detailed Solution for Binomial Theorem & its Simple Applications - 2 - Question 16


Binomial Theorem & its Simple Applications - 2 - Question 17


Detailed Solution for Binomial Theorem & its Simple Applications - 2 - Question 17

Binomial Theorem & its Simple Applications - 2 - Question 18


Detailed Solution for Binomial Theorem & its Simple Applications - 2 - Question 18


Binomial Theorem & its Simple Applications - 2 - Question 19


Detailed Solution for Binomial Theorem & its Simple Applications - 2 - Question 19

Binomial Theorem & its Simple Applications - 2 - Question 20


Detailed Solution for Binomial Theorem & its Simple Applications - 2 - Question 20


Binomial Theorem & its Simple Applications - 2 - Question 21


Detailed Solution for Binomial Theorem & its Simple Applications - 2 - Question 21


Binomial Theorem & its Simple Applications - 2 - Question 22


Detailed Solution for Binomial Theorem & its Simple Applications - 2 - Question 22


Binomial Theorem & its Simple Applications - 2 - Question 23


Detailed Solution for Binomial Theorem & its Simple Applications - 2 - Question 23


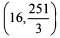
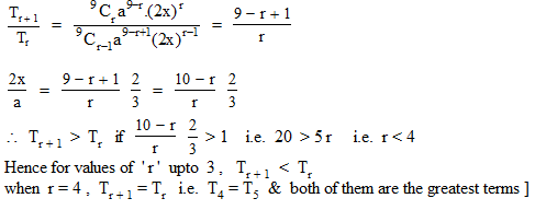
Binomial Theorem & its Simple Applications - 2 - Question 24

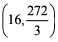
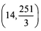
Greatest term in the binomial expansion of  (a + 2x)9  when  a = 1  &  x = 1/3   is :

Detailed Solution for Binomial Theorem & its Simple Applications - 2 - Question 24


Binomial Theorem & its Simple Applications - 2 - Question 25


Detailed Solution for Binomial Theorem & its Simple Applications - 2 - Question 25


Binomial Theorem & its Simple Applications - 2 - Question 26


Detailed Solution for Binomial Theorem & its Simple Applications - 2 - Question 26


Binomial Theorem & its Simple Applications - 2 - Question 27


Detailed Solution for Binomial Theorem & its Simple Applications - 2 - Question 27


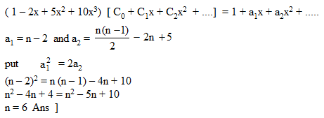
Binomial Theorem & its Simple Applications - 2 - Question 28


Detailed Solution for Binomial Theorem & its Simple Applications - 2 - Question 28


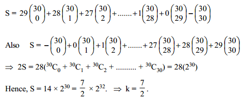
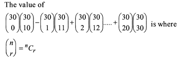
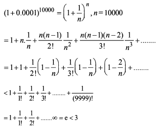
Binomial Theorem & its Simple Applications - 2 - Question 29


Detailed Solution for Binomial Theorem & its Simple Applications - 2 - Question 29


Binomial Theorem & its Simple Applications - 2 - Question 30


Detailed Solution for Binomial Theorem & its Simple Applications - 2 - Question 30


Information about Binomial Theorem & its Simple Applications - 2 Page
In this test you can find the Exam questions for Binomial Theorem & its Simple Applications - 2 solved & explained in the simplest way possible. Besides giving Questions and answers for Binomial Theorem & its Simple Applications - 2, EduRev gives you an ample number of Online tests for practice
Download as PDF