CAT Exam  >  CAT Tests  >  Arun Sharma Test: Averages- 1 - CAT MCQ

Arun Sharma Test: Averages- 1 - CAT MCQ


Test Description

15 Questions MCQ Test - Arun Sharma Test: Averages- 1

Arun Sharma Test: Averages- 1 for CAT 2025 is part of CAT preparation. The Arun Sharma Test: Averages- 1 questions and answers have been prepared according to the CAT exam syllabus.The Arun Sharma Test: Averages- 1 MCQs are made for CAT 2025 Exam. Find important definitions, questions, notes, meanings, examples, exercises, MCQs and online tests for Arun Sharma Test: Averages- 1 below.
Solutions of Arun Sharma Test: Averages- 1 questions in English are available as part of our course for CAT & Arun Sharma Test: Averages- 1 solutions in Hindi for CAT course. Download more important topics, notes, lectures and mock test series for CAT Exam by signing up for free. Attempt Arun Sharma Test: Averages- 1 | 15 questions in 15 minutes | Mock test for CAT preparation | Free important questions MCQ to study for CAT Exam | Download free PDF with solutions
Arun Sharma Test: Averages- 1 - Question 1

Total expenses of a boarding house are partly fixed and partly varying linearly with the number of boarders. The average expense per boarder is Rs. 700 when there are 25 boarders and Rs. 600 when there are 50 boarders. What is the average expense per boarder when there are 100 boarders?

Detailed Solution for Arun Sharma Test: Averages- 1 - Question 1

Arun Sharma Test: Averages- 1 - Question 2

The average age of a class of 30 students and a teacher reduces by 0.5 years if we exclude the teacher. If the initial average is 14 years, find the age of the class teacher. 

Detailed Solution for Arun Sharma Test: Averages- 1 - Question 2

Let the age of the teacher be T.

The initial total age of the class (including the teacher) is (30+1)*14 = 434 years.

If we exclude the teacher, the total age of the 30 students is 30*(14-0.5) = 405 years.

So the teacher's age, T, must be:

434 - 405 = 29 years

Therefore, the age of the class teacher is 29 years.

Arun Sharma Test: Averages- 1 - Question 3

The average of a batsman after 25 innings was 56 runs per innings. If after the 26th inning his average increased by 2 runs, then what was his score in the 26 inning?

Detailed Solution for Arun Sharma Test: Averages- 1 - Question 3

Total runs after 25 innings = 25 x 56= 1400

Since, after 26 innings average run is increased by 2, hence new average = 56+2 = 58

Now,

Total runs after 26 innings = 26 x 58 = 1508

Score in 26th inning = 1508 - 1400 = 108 runs.

Arun Sharma Test: Averages- 1 - Question 4

There are 3 classes having 20, 25 and 30 students respectively having average marks in an examination as 20, 25 and 30 respectively. If the three classes are represented by A, B and C and you have the following information about the three classes, answer the questions that follow:

A - Highest score 22, Lowest score 18

B - Highest score 31, Lowest score 23

C - Highest score 33, Lowest score 26

If five students are transferred from A to B. What will happen to the average score of B?

Detailed Solution for Arun Sharma Test: Averages- 1 - Question 4

Class A average is 20. And their range is 18 to 22

Class B average is 25. And their range is 23 to 31

Class A average is 30. And their range is 26 to 33

If 5 students transferred from A to B, As average cannot be determined but Bs average comes down as the highest score of A is less than lowest score of B.

If 5 students transferred from B to C, Cs average cannot be determined the Bs range fo marks and Cs range

of marks are overlapping.

Arun Sharma Test: Averages- 1 - Question 5

 Read the following:

There are 3 classes having 20, 25 and 30 students respectively having average marks in an examination as 20, 25 and 30 respectively. If the three classes are represented by A, B and C and you have the following information about the three classes, answer the questions that follow:

A - Highest score 22, Lowest score 18

B - Highest score 31, Lowest score 23

C - Highest score 33, Lowest score 26

In a transfer of 5 students from A to C

What will happen to the average score of C?

Detailed Solution for Arun Sharma Test: Averages- 1 - Question 5

It will definitely decrease since the highest possible transfer is lower than the lowest value in C

So, the correct answer is B. 

Arun Sharma Test: Averages- 1 - Question 6

In 2001 there were 6 members in Barney’s family and their average age was 28 years. He got married between 2001 and 2004 and in 2004 there was an addition of a child in his family. In 2006, the average age of his family was 32 years. What is the present age (in 2006) of Barney’s wife (in years) is:

Detailed Solution for Arun Sharma Test: Averages- 1 - Question 6

If the present age of Barney’s wife is x years. Then according to the question:
(33 X 6 + x + 2) / 8 = 32
x + 2 + 198 = 256 x + 2 = 58
x = 56
x = 56 years 

Arun Sharma Test: Averages- 1 - Question 7

The weight of a metal piece as calculated by the average of 7 different experiments is 53.735 gm. The average of the first three experiments is 54.005 gm, of the fourth is 0.004 gm greater than the fifth, while the average of the sixth and seventh experiment was 0.010 gm less than the average of the first three. Find the weight of the body obtained by the fourth experiment.

Detailed Solution for Arun Sharma Test: Averages- 1 - Question 7

You can take 53 as the base to reduce your calculations. Otherwise, the question will become highly calculation-intensive. Let the fifth experiment’s measurement be ‘x’ above 53.
Then you get:
0.735 X 7 = 1.005 X 3 + (x + 0.004) + x + 0.995 X 2
-> 5.145 = 3.015 + 2x + 0.004 + 1.99.
On solving this you get x = 0.068. Hence, the weight of the fifth body is 53.068 and the weight of the fourth body is 53.072. Hence, the option (d) is correct. 

Arun Sharma Test: Averages- 1 - Question 8

One collective farm got an average harvest of 21 tons of wheat and another collective farm that had 12 acres of land less given to wheat, got 25 tons from a hectare. As a result, the second farm harvested 300 tons of wheat more than the first. How many tons of wheat did each farm harvest?

Detailed Solution for Arun Sharma Test: Averages- 1 - Question 8

Let's solve the problem again step by step, ensuring accuracy:

  1. Let the area of the first farm be AAA acres.
  2. Therefore, the area of the second farm is A−12A - 12A−12 acres.

Given that:

  • The first farm gets an average harvest of 21 tons of wheat per acre.
  • The second farm gets an average harvest of 25 tons of wheat per acre.
  • The second farm harvested 300 tons more wheat than the first.

Set up the equations:

  1. The total harvest of the first farm: 21A21A21A tons
  2. The total harvest of the second farm: 25(A−12)25(A - 12)25(A−12) tons
  3. The difference in harvest: 25(A−12)−21A=30025(A - 12) - 21A = 30025(A−12)−21A=300

Solve the equation: 25A−300−21A=30025A - 300 - 21A = 30025A−300−21A=300 4A−300=3004A - 300 = 3004A−300=300 4A=6004A = 6004A=600 A=150A = 150A=150

The area of the first farm is 150 acres, and the area of the second farm is 150−12=138150 - 12 = 138150−12=138 acres.

Calculate the total harvest for each farm:

  1. The first farm: 21×150=315021 \times 150 = 315021×150=3150 tons
  2. The second farm: 25×138=345025 \times 138 = 345025×138=3450 tons

The correct answer is:

  1. 3150, 3450
Arun Sharma Test: Averages- 1 - Question 9

Read the following passage and answer the following question that follows.

Aman, Binod, Charan, Dharam and Ehsaan are the members of the same family. Each and everyone loves one another very much. Their birthdays are in different months and on different dates. Aman remembers that his birthday is between 25th and 30th, of Binod it is between 20th and 25th, of Charan it is between 10th and 20th, of Dharam it is between 5th and 10th and of Ehsaan it is between 1st and 5th of the month. The sum of the date of birth is defined as the addition of the date and the month, for example 12th January will be written as 12/1 and will add to a sum of the date of 13. (Between 25th and 30th includes 25 and 30).

If the dates of birth, of four of them are prime numbers, then find the maximum average of the sum of their dates of birth? 

Detailed Solution for Arun Sharma Test: Averages- 1 - Question 9

It is given that the date of births of four of them are prime numbers

For the average to be maximum, the dates we need to choose must be closest to the maximum dates

Therefore, the four prime dates are 29th, 23th, 19 and 5th

Sum of the date of birth = 29+23+19+10+5+12+11+10+9+8 =136

Average = 136/5  = 27.2

The maximum average when the birth dates of four of them are prime numbers is 27.2

Arun Sharma Test: Averages- 1 - Question 10

The average age of a group of persons going for a movie is 20 years. 10 new persons with an average age of 10 years join the group on the spot due to which the average of the group becomes 18 years. Find the number of persons initially going for the movie. 

Detailed Solution for Arun Sharma Test: Averages- 1 - Question 10

Arun Sharma Test: Averages- 1 - Question 11

The average height of 22 toddlers increases by 2 inches when two of them leave this group. If the average height of these two toddlers is one-third the average height of the original 22, then the average height, in inches, of the remaining 20 toddlers is

Detailed Solution for Arun Sharma Test: Averages- 1 - Question 11

Let the average height of 22 toddlers be 3x.
Sum of the height of 22 toddlers = 66x
Hence average height of the two toddlers who left the group = x
Sum of the height of the remaining 20 toddlers = 66x – 2x = 64x
Average height of the remaining 20 toddlers = 64x/20 = 3.2x
Difference = 0.2x = 2 inches => x = 10 inches
Hence average height of the remaining 20 toddlers = 3.2x = 32 inches

Arun Sharma Test: Averages- 1 - Question 12

 Read the following:

There are 3 classes having 20, 25 and 30 students respectively having average marks in an examination as 20, 25 and 30 respectively. If the three classes are represented by A, B and C and you have the following information about the three classes,

answer the questions that follow:

A - Highest score 22, Lowest score 18

B - Highest score 31, Lowest score 23

C - Highest score 33, Lowest score 26

In a transfer of 5 students from B to C

Which of these can be said about the average score of B?

Detailed Solution for Arun Sharma Test: Averages- 1 - Question 12

If C increases, then the average of C goes up from 30. For this to happen it is definite that the average of B should drop.

So, the correct option is B.

Arun Sharma Test: Averages- 1 - Question 13

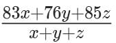
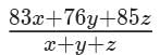
Three classes X, Y and Z take an algebra test.
The average score in class X is 83.
The average score in class Y is 76.
The average score in class Z is 85.
The average score of all students in classes X and Y together is 79.
The average score of all students in classes Y and Z together is 81.
What is the average for all the three classes?

Detailed Solution for Arun Sharma Test: Averages- 1 - Question 13

Let x , y and z be no. of students in class X, Y ,Z respectively.
From 1st condition we have
83*x+76*y = 79*x+79*y which give 4x = 3y.
Next we have 76*y + 85*z = 81(y+z) which give 4z = 5y .
Now overall average of all the classes can be given as 
Substitute the relations in above equation we get,
= (83*3/4 + 76 + 85*5/4)/(3/4 + 1 + 5/4) = 978/12 = 81.5

Arun Sharma Test: Averages- 1 - Question 14

Ten years ago, the ages of the members of a joint family of eight people added up to 231 years. Three years later, one member died at the age of 60 years and a child was born during the same year. After another three years, one more member died, again at 60, and a child was born during the same year. The current average age of this eight-member joint family is nearest to

Detailed Solution for Arun Sharma Test: Averages- 1 - Question 14

Ten years ago, the total age of the family is 231 years.

Seven years ago, (Just before the death of the first person), the total age of the family would have been
231+8*3 = 231+24 = 255.
This is because, in 3 years, every person in the family would have aged by 3 years,
Total change in age = 231+24 = 255

After the death of one member, the total age is 255-60 = 195 years.

Since a child takes birth in the same year, the number of members remain the same i.e. (7+1) = 8
Four years ago, (i.e. 6 years after start date) one of the member of age 60 dies,
therefore, total age of the family is 195+24-60 = 159 years.
Since a child takes birth in the same year, the number of members remain the same i.e. (7+1) = 8
After 4 more years, the current total age of the family is = 8x4 + 159 = 191 years
The average age is 191/8 = 23.875 years = 24 years (approx)

Alternatively,
Since the number of members is always the same throughout
The 2 older members dropped their age by 60
So, after 10yrs, total age = 231 + 8*10 - 2*60 = 191
Average age = 191/8 = 23.875≌24

Arun Sharma Test: Averages- 1 - Question 15

There are two classes A and B. The average weight of the students in class A is 40 kg. The average weight of the students in class B is 60 kg. A student, whose weight is x kg left A and joined B. As a result, the average weight of A, as well as that of B decreased. Which of the following must be true? 

Detailed Solution for Arun Sharma Test: Averages- 1 - Question 15

As the average weight of A decreased after the student left, his weight must be more than the average weight of A. As the average weight of B decreased after the student joined, his weight must be less than the average weight of B.

So, his weight must be between 40 kg and 60 kg.

Information about Arun Sharma Test: Averages- 1 Page
In this test you can find the Exam questions for Arun Sharma Test: Averages- 1 solved & explained in the simplest way possible. Besides giving Questions and answers for Arun Sharma Test: Averages- 1, EduRev gives you an ample number of Online tests for practice
Download as PDF