You can prepare effectively for Electrical Engineering (EE) GATE Electrical Engineering (EE) Mock Test Series 2027 with this dedicated MCQ Practice Test (available with solutions) on the important topic of "Test: Time Response". These 20 questions have been designed by the experts with the latest curriculum of Electrical Engineering (EE) 2026, to help you master the concept.
Test Highlights:
Sign up on EduRev for free to attempt this test and track your preparation progress.
The open-loop transfer function of a ufb control system is
The position, velocity and acceleration error constants are respectively
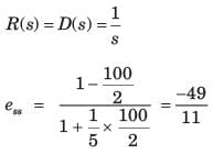
Detailed Solution: Question 1
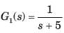
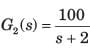
The open-loop transfer function of a unit feedback system is
The position, velocity and acceleration errorconstants are respectively
Detailed Solution: Question 2
If a type 0 system is subjected to step input, what is its effect on steady state error?
The forward-path transfer function of a unity negative feedback system is given by:

The value of K which will place both the poles of the closed-loop system at the same location is.
Detailed Solution: Question 4
For the system shown in fig.the steady state error component due to unit step disturbance is 0.000012 and steady state error component due to unit ramp input is 0.003. The values of K1 and K2 are respectively

Detailed Solution: Question 5
The transfer function for a single loop nonunity feedback control system is
The steady state error due to unit step input is
Detailed Solution: Question 6
For the system of fig. the total steady state error due to a unit step input and a unit step disturbance is

Detailed Solution: Question 7
The forward path transfer function of a ufb system is

If a unit ramp is applied, the minimum possiblesteady-state error is
Detailed Solution: Question 8
The forward-path transfer function of a ufb system is
The system has r(t) = t3 applied to its input. Thesteady state error is
Detailed Solution: Question 9
Consider a unity feedback system with forward transfer function given by

The steady-state error in the output of the system for a unit-step input is _________ (up to 2 decimal places).
Detailed Solution: Question 10
A system has position error constant Kp = 3. The steady state error for input of 8tu(t) is
Detailed Solution: Question 11
The forward path transfer function of a unity feedback system is
For input of 60u(t) steady state error is
Detailed Solution: Question 12
For ufb system shown in fig. the transfer function is
If input is 30t2 , then steady state error is
Detailed Solution: Question 13
The forward-path transfer function of a ufb control system is
The steady state errors for the test input 37tu(t) is
Detailed Solution: Question 14
In the system shown in fig. r(t) = 1 + 2t , t > 0. The steady state error e(t) is equal to

Detailed Solution: Question 15
A ufb control system has a forward path transfer function
If the system is subjected to an input r(t) = 1 + t + 1/2 t2 , t > 0the steady state error of the system will be
Detailed Solution: Question 16
The system shown in fig. has steady-state error 0.1 to unit step input. The value of K is
Detailed Solution: Question 17
Block diagram of a position control system is shown in fig.

If Kt = 0 and Ka= 5, then the steady state error tounit ramp input is
Detailed Solution: Question 18
Block diagram of a position control system is shown in fig.

If the damping ratio of the system is increased to 0.7 without affecting the steady state error, then thevalue of Ka and Kt are
Detailed Solution: Question 19
A system has the following transfer function
The type and order of the system are respectively
Detailed Solution: Question 20
26 docs|247 tests |