JEE Exam  >  JEE Tests  >  UGEE Mock Test - 1 - JEE MCQ

UGEE Mock Test - 1 - JEE MCQ


Test Description

30 Questions MCQ Test - UGEE Mock Test - 1

UGEE Mock Test - 1 for JEE 2025 is part of JEE preparation. The UGEE Mock Test - 1 questions and answers have been prepared according to the JEE exam syllabus.The UGEE Mock Test - 1 MCQs are made for JEE 2025 Exam. Find important definitions, questions, notes, meanings, examples, exercises, MCQs and online tests for UGEE Mock Test - 1 below.
Solutions of UGEE Mock Test - 1 questions in English are available as part of our course for JEE & UGEE Mock Test - 1 solutions in Hindi for JEE course. Download more important topics, notes, lectures and mock test series for JEE Exam by signing up for free. Attempt UGEE Mock Test - 1 | 98 questions in 120 minutes | Mock test for JEE preparation | Free important questions MCQ to study for JEE Exam | Download free PDF with solutions
UGEE Mock Test - 1 - Question 1

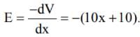
The electric potential V is given as a function of distance x (metre) by V = (5x2 + 10 x - 4) volt. Value of electric field at x = 1 m is

Detailed Solution for UGEE Mock Test - 1 - Question 1

v = 5x+ 10x - 4

At x = 1 m, E = -20V/m

UGEE Mock Test - 1 - Question 2

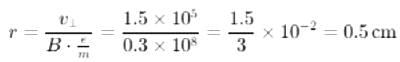
A proton moving with a velocity 3 x 105 m/senters a magnetic field of 0.3 tesla at an angle of 300 with the field. The radius of curvature of its path will be (e/m for proton = 108 C/kg)

Detailed Solution for UGEE Mock Test - 1 - Question 2

Given:

  • v = 3 × 105 m/s
  • B = 0.3 T
  • θ = 30°
  • e/m = 108 C/kg

Short Solution:
1. Find the perpendicular velocity component:

2. Calculate the radius of curvature:

Conclusion:
The radius of curvature is:
0.5 cm

UGEE Mock Test - 1 - Question 3

If force (F), length (L) and time (T) are assumed to be fundamental units, then the dimensional formula of the mass will be

Detailed Solution for UGEE Mock Test - 1 - Question 3

Letm = KFaLbTc
Substituting the dimensions of
[F] = [MLT-2], [L] = [L] and [T] = [T] and
comparing both side, we get m = FL-1T2

UGEE Mock Test - 1 - Question 4

A metal disc of radius 100 cm is rotated at a constant angular speed of 60 rad/s in a plane at right angles to an external field of magnetic induction 0.05 Wb/m2. The emfinduced between the centre and a point on the rim will be

Detailed Solution for UGEE Mock Test - 1 - Question 4

Induced emf produced between the centre
and a point on the disc is given by

ω = 60 rad/s, B = 0.05Wb/m2
and R = 100 cm = 1m

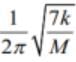
UGEE Mock Test - 1 - Question 5

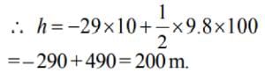
A balloon is rising vertically up with a velocityof 29 ms-1. A stone is dropped from it and it reaches the ground in 10 seconds. The height of the balloon when the stone dropped from it,was (g = 9.8 ms-2)

Detailed Solution for UGEE Mock Test - 1 - Question 5

For stone to be dropped from rising balloon of velocity 29 m/s, u = 29 m /s, t = 10 sec.

UGEE Mock Test - 1 - Question 6

An alternating voltage V = V0 sin ωt is applied across a circuit. As a result, a current I = I0 sin(ωt π/2) flows in it. The power consumed percycle is

Detailed Solution for UGEE Mock Test - 1 - Question 6

The phase angle between voltage V and current I is π/2. Therefore, power factor cos φ = cos (π/2) = 0. Hence the power consumed is zero.

UGEE Mock Test - 1 - Question 7

A gun fires two bullets at 600 and 300 with horizontal. The bullets strike at some horizontal distance. The ratio of maximum height for the two bullets is in the ratio of

Detailed Solution for UGEE Mock Test - 1 - Question 7

The bullets are fired at the same initial speed

UGEE Mock Test - 1 - Question 8

Green light of wavelength 5460 Å is incident on an air-glass interface. If the refractive index of glass is 1.5, the wavelength of light in glass would be (c = 3 × 108 ms-1)

Detailed Solution for UGEE Mock Test - 1 - Question 8

UGEE Mock Test - 1 - Question 9

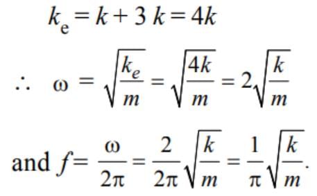
Four massless springs whose force constants are 2k, 2k, k and 2k respectively are attached to a mass M kept on a frictionless plane (as shown in figure). If the mass M is displaced in the horizontal direction, then the frequency of the system

Detailed Solution for UGEE Mock Test - 1 - Question 9

The equivalent system is shown in figure.

The equivalent force constant of which

UGEE Mock Test - 1 - Question 10

In a given network the equivalent capacitance between A and B is [C1 = C4 = 1μF, C2 = C3 = 2μF

Detailed Solution for UGEE Mock Test - 1 - Question 10

The equivalent circuit is shown in figure.

UGEE Mock Test - 1 - Question 11

In a simple pendulum of length I the bob is pulled aside from its equilibrium position through an angle θ and then released. The bob passes through the equilibrium position with speed

Detailed Solution for UGEE Mock Test - 1 - Question 11

If I is length of pendulum and θ be angular amplitude then from principle of conservation of energy

UGEE Mock Test - 1 - Question 12

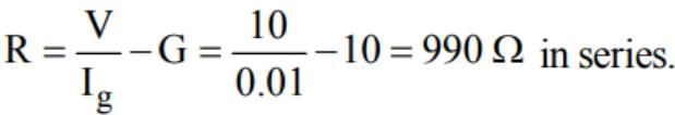
A moving coil galvanometer has resistance of 10Ω and full scale deflection of 0.01 A. It can be converted into voltmeter of 10 V full scale by connecting into resistance of

Detailed Solution for UGEE Mock Test - 1 - Question 12

UGEE Mock Test - 1 - Question 13

The frequency of whistle of an engine appears to be (4/5)th of initial frequency when it crosses a stationary observer. If the velocity of sound is 330 mis, then the speed of engine will be

Detailed Solution for UGEE Mock Test - 1 - Question 13


From eq. (3) and (4)
 

UGEE Mock Test - 1 - Question 14

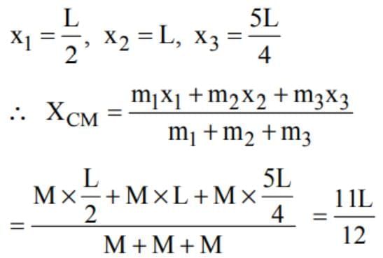
Three bricks each of length L and mass M are arranged as shown from the wall. The distance of the centre of mass of the system from the wall is

Detailed Solution for UGEE Mock Test - 1 - Question 14


UGEE Mock Test - 1 - Question 15

The I-V characteristics shown in figure represents

Detailed Solution for UGEE Mock Test - 1 - Question 15

The figure is showing I - V characteristics of non ohmic or non linear conductors.

UGEE Mock Test - 1 - Question 16

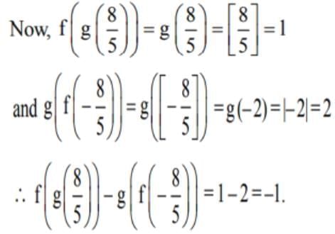
Let [x] denote the greatest integer ≤ x. If f(x) = [x] and g (x) = lxl, then the value of

Detailed Solution for UGEE Mock Test - 1 - Question 16

Given that, f(x) = [x] and g (x) = IX

UGEE Mock Test - 1 - Question 17

If a chord of the circle x2 + y2 = 8 makes equal intercepts of length a on the coordinate axes, then

Detailed Solution for UGEE Mock Test - 1 - Question 17

Understanding the Problem

We are given the equation of a circle:
x² + y² = 8
This represents a circle centered at the origin (0, 0) with a radius of √8, which is equal to 2√2.

There is a chord of this circle that makes equal intercepts of length a on the coordinate axes. That means the chord cuts the x-axis and y-axis at the same distance from the origin, like at points (a, 0) and (0, a), or even (-a, 0) and (0, -a). Only the magnitude matters here, so we’re concerned with |a|.

Our goal is to find which inequality about |a| is correct.

Visualizing the Chord

A chord that makes equal intercepts on the axes has a line equation in intercept form:

(x / a) + (y / a) = 1
Multiplying through by a:
x + y = a

This is one possible form. Other forms like x - y = a or -x - y = a can also represent chords with equal intercepts, but the logic for all of them will be the same in terms of calculating the magnitude |a|.

Using the Distance Formula

For a line to be a chord of a circle, it must intersect the circle at two distinct points. This happens only if the distance from the center of the circle to the line is less than the radius of the circle.

The distance from the origin (0, 0) to the line x + y - a = 0 is given by:
d = |a| / √2

We already know the radius of the circle is 2√2.

So we set:
|a| / √2 < 2√2

Multiply both sides by √2:
|a| < 2√2 × √2
|a| < 4

Considering Other Forms

Try a different line with the same intercepts:
x - y = a

Again, the distance from the origin to this line is:
|a| / √2, which gives the same inequality:
|a| < 4

So, regardless of whether the line is x + y = a, x - y = a, -x + y = a, or -x - y = a, the required condition is always:
|a| < 4

Checking the Options

Now let’s look at the options:

a) |a| < 8
b) |a| < 4√2
c) |a| < 4
d) |a| > 4

From all our reasoning, the correct answer is:
c) |a| < 4

Final Answer: c) |a| < 4

UGEE Mock Test - 1 - Question 18

In the given figure, the equation of the larger circle is x2 + y2 + 4y - 5 = 0 and the distance between centres is 4. Then the equation of smaller circle is

Detailed Solution for UGEE Mock Test - 1 - Question 18

We have x2 + y+ 4y - 5 = 0. Its centre is C1 (0, -2)

UGEE Mock Test - 1 - Question 19

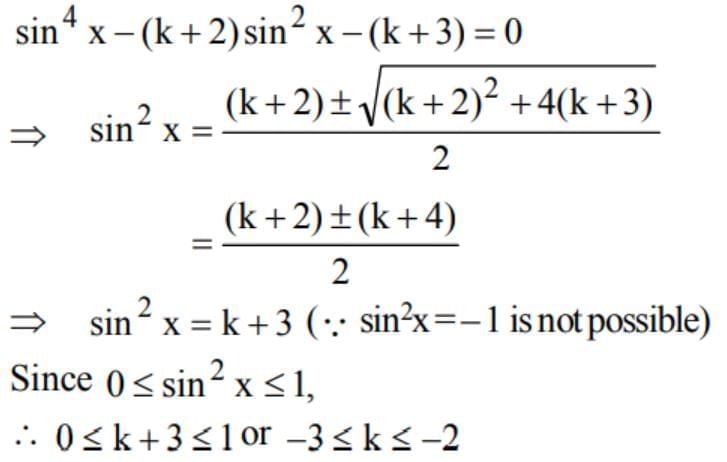
The equation sinx - (k + 2) sin2 x - (k + 3) = 0  possesses a solution if 

Detailed Solution for UGEE Mock Test - 1 - Question 19

We have, 

UGEE Mock Test - 1 - Question 20

If 16 identical pencils are distributed among 4 children such that each gets at least 3 pencils. The number of ways of distributing the pencils is

Detailed Solution for UGEE Mock Test - 1 - Question 20

Required number of ways
= coeff of x16 in (x3 + x+ x+ x+ x7)4

UGEE Mock Test - 1 - Question 21

If a, b, c are positive numbers, then least value of  is

Detailed Solution for UGEE Mock Test - 1 - Question 21

AM ≥ HM

UGEE Mock Test - 1 - Question 22

Detailed Solution for UGEE Mock Test - 1 - Question 22



UGEE Mock Test - 1 - Question 23

If and  are non-zero constant vectors and the scalar b is chosen such that is minimum, then the value of is equal to

Detailed Solution for UGEE Mock Test - 1 - Question 23

For minimum value = 0.
Let and   are anti-parallel so

UGEE Mock Test - 1 - Question 24

Statement-I : If the general equation x2 + y2 + 2xy + 2gx + 2fy + 4 = 0 represents a pair of real lines then |g| ≥ 2.
Statement-2 : The equation ax2 + 2hxy + by2 + 2gx + 2fy+ c = 0 represents pair of real lines if abc + 2fgh - af2 - bg2 - ch2 = 0.

Detailed Solution for UGEE Mock Test - 1 - Question 24

The equation represents a pair of lines if
1·1·4 + 2·f·g·1-1·f2-1·g- 4·12 = 0
⇒ (f - g)2 = 0 ⇒ f = g
The equation becomes (x + y)2 + 2g(x + y) + 4 = 0
Which represents pair of parallel lines, which
are real provided (2g)2 - 4·4·1 ≥ 0 ⇒ |g| ≥ 2.

UGEE Mock Test - 1 - Question 25

If lz1l = lz2l = ....... lznl = 1, then the value of lz1 + z2 + ..... znl - 

Detailed Solution for UGEE Mock Test - 1 - Question 25

UGEE Mock Test - 1 - Question 26

In a statistical investigation of 1003 families of Calcutta, it was found that 63 families has neither a radio nor a T.V, 794 families has a radio and 187 has T.V. The number of families in that group having both a radio and a T.V is

Detailed Solution for UGEE Mock Test - 1 - Question 26


Let R be the set of families having a radio and T the set families having a T.V., then n (R ∪ T) The number of families having at least on of the radio and T.V. 1003 - 63 = 940
n(R) = 794 and n(T) = 187
Let x families have both a radio and a T.V.
Then number of families who have only radio = 794 - x
And the number of families who have only T.V. = 187 - x
From Venn diagram, 794 - x + x - 187 - x = 940
⇒ 981 - x = 940 or x = 981 - 940 = 41
Hence, the required number of families having both a radio and a T.V = 41

UGEE Mock Test - 1 - Question 27

The domain of the function  is

Detailed Solution for UGEE Mock Test - 1 - Question 27

For (x) to be defined, we must have

UGEE Mock Test - 1 - Question 28

If the coordinates at one end of a diameter of the circle x2 + y2 - 8x - 4y + c = 0 are (-3, 2), then the the coordinates at the other end are

Detailed Solution for UGEE Mock Test - 1 - Question 28

The centre of the given circle is C (4, 2)
Let A ≡ (-3,2)

If (α, β) are the coordinates of the other end of the diameter, then, as the middle ploint of the diameter is the centre,

Thus, the coordinates of the other end of diameter are (11, 2)

UGEE Mock Test - 1 - Question 29

The value of 

Detailed Solution for UGEE Mock Test - 1 - Question 29

UGEE Mock Test - 1 - Question 30

The number of possible outcomes in a throw of n ordinary dice in which at least one of the dice shows an odd number is

Detailed Solution for UGEE Mock Test - 1 - Question 30

Total number of ways = 6 × 6 × ..... to n times = 6n.
Total number of ways to show only to even number = 3 × 3 × ........ to n times = 3n.
∴ required number of ways = 6n - 3n.

View more questions
Information about UGEE Mock Test - 1 Page
In this test you can find the Exam questions for UGEE Mock Test - 1 solved & explained in the simplest way possible. Besides giving Questions and answers for UGEE Mock Test - 1, EduRev gives you an ample number of Online tests for practice
Download as PDF