Electronics and Communication Engineering (ECE) Exam  >  Electronics and Communication Engineering (ECE) Tests  >  BDL MT Electronics Mock Test - 2 - Electronics and Communication Engineering (ECE) MCQ

BDL MT Electronics Mock Test - 2 - Electronics and Communication Engineering (ECE) MCQ


Test Description

30 Questions MCQ Test - BDL MT Electronics Mock Test - 2

BDL MT Electronics Mock Test - 2 for Electronics and Communication Engineering (ECE) 2025 is part of Electronics and Communication Engineering (ECE) preparation. The BDL MT Electronics Mock Test - 2 questions and answers have been prepared according to the Electronics and Communication Engineering (ECE) exam syllabus.The BDL MT Electronics Mock Test - 2 MCQs are made for Electronics and Communication Engineering (ECE) 2025 Exam. Find important definitions, questions, notes, meanings, examples, exercises, MCQs and online tests for BDL MT Electronics Mock Test - 2 below.
Solutions of BDL MT Electronics Mock Test - 2 questions in English are available as part of our course for Electronics and Communication Engineering (ECE) & BDL MT Electronics Mock Test - 2 solutions in Hindi for Electronics and Communication Engineering (ECE) course. Download more important topics, notes, lectures and mock test series for Electronics and Communication Engineering (ECE) Exam by signing up for free. Attempt BDL MT Electronics Mock Test - 2 | 150 questions in 120 minutes | Mock test for Electronics and Communication Engineering (ECE) preparation | Free important questions MCQ to study for Electronics and Communication Engineering (ECE) Exam | Download free PDF with solutions
BDL MT Electronics Mock Test - 2 - Question 1

Match the Lists:

The correct matching order is:

Detailed Solution for BDL MT Electronics Mock Test - 2 - Question 1

High electron mobility transistor:

  • The High Electron Mobility Transistor is a form of Field Effect Transistor (FET) that uses a junction between two materials with different bandgaps (i.e. a heterojunction) as the channel.
  • The most common material used is aluminum gallium arsenide (AlGaAS) and gallium arsenide (GaAs)
  • Gallium Arsenide (GaAs) is generally used because it provides high-level basic electron mobility.
  • HEMT is used in microwave circuits as it provides low noise and high gain.
  • HEMT has a high gain at microwave frequencies because the charge carriers are almost exclusively the majority carriers. Minority carriers are not significantly involved.

Accelerometer chip:
These are devices that convert acceleration into electrical signals.
MEM's devices:
Micro-electromechanical devices involve the conversion of mechanical energy into electrical energy and vice-versa.
Optoelectronic devices:

  • Optoelectronics deals with the science and technology of electronic devices which involves interaction with light.
  • Optoelectronic devices include LED which involves the emission of light when current is passed through a forward bias LED.
BDL MT Electronics Mock Test - 2 - Question 2

In a zener regulator, the change in load current produces, change in ______

Detailed Solution for BDL MT Electronics Mock Test - 2 - Question 2

In a Zener regulator, the change in load current produces, change in Zener current
Explanation:
Voltage regulator: It is used to regulate the voltage level. It generates a fixed output voltage that remains constant for any changes in load conditions or input voltage, i.e. it regulates or maintains a constant dc output voltage in spite of the fluctuations in ac input voltage or load current.
Zener diode: Zener diode is a device widely used in voltage regulator circuits.


  • It is PN junction (silicon PN junction) diode and has a low specified reverse voltage which takes advantage of any reverse voltage applied to it.
  • Unlike a normal diode (Schottky diode, varactor diode, tunnel diode) that blocks any flow of current through itself when reverse biased.
  • From the I-V characteristics curve above voltage across the diode in the breakdown, the region is almost constant.
  • In the breakdown region, it can be used as a voltage regulator applications.
BDL MT Electronics Mock Test - 2 - Question 3

A cosine wave voltage signal has a 10V RMS value and 60Hz frequency. Also at time, t = 0, the value of the voltage signal is equal to its RMS value. Which of the following is the correct mathematical representation of the voltage signal?

Detailed Solution for BDL MT Electronics Mock Test - 2 - Question 3

Given:

Vrms = 10V
f = 60 Hz
Standard cosine signal is given as:
x(t) = Vm cos(ω t + ϕ) ------(1)
where,
ω = 2πf
f : Frequency of cosine signal.

Vm = √2 Vrms
Vm = 10 x 1.414 = 14.14 V
From equation (1):
x(t) = 14.14 (cos120πt + ϕ)
And also given that,
At the time, t = 0, the value of the voltage signal is equal to its RMS value
⇒ 10 = 10√2 cos (0 + ϕ)
⇒ cos ϕ = 1/√2
⇒ ϕ = 45° = π/4 rad
∴ The correct mathematical representation of the voltage signal is given by
x(t) = 14.14 (cos120πt + π/4)

BDL MT Electronics Mock Test - 2 - Question 4

Find the value of current i?

Detailed Solution for BDL MT Electronics Mock Test - 2 - Question 4

Concept:

KCL in DC circuits:
According to Kirchhoff’s current law (KCL), the algebraic sum of the electric currents meeting at a common point is zero. I.e. the sum of currents entering a node is equal to the sum of currents leaving the node. It is based on the conservation of charge.

KCL in AC circuits:
The Kirchhoff’s current law as applied to the ac circuit is defined as the phasor sum of currents entering the node is equal to the phasor sum of currents leaving the node.

Calculation:

KCL at Node A
I1 + 1A = 3A
I1 = 2 A
KCL at node B
I2 + 2A = 6A
I2 = 4 A
KCL at node C
I3 = 4A + 2A
I3 = 6A
KCL at node D
I = 6A - 5A = 1 A

BDL MT Electronics Mock Test - 2 - Question 5

The characteristic equation of a feedback system is s3 + Ks2 + 5s + 10 = 0. For a stable system, the value of K should not be less than

Detailed Solution for BDL MT Electronics Mock Test - 2 - Question 5

Concept:
The characteristic equation for a given open-loop transfer function G(s) is
1 + G(s) H(s) = 0

To find the closed system stability by using RH criteria we require a characteristic equation. Whereas in remaining all stability techniques we require open-loop transfer function.
The nth order general form of CE is
a0 sn + a1 sn-1 + a2sn-2 + __________an-1 s1 + an

RH table shown below

Necessary condition: All the coefficients of the characteristic equation should be positive and real.

Sufficient Conditions for stability:
1. All the coefficients in the first column should have the same sign and no coefficient should be zero.
2. If any sign changes in the first column, the system is unstable.
And the number of sign changes = Number of poles in right of s-plane.

Calculation:
Characteristic equation: s3 + Ks2 + 5s + 10 = 0
By applying Routh tabulation method,

The system to become stable, the sign changes in the first column of the Routh table must be zero.
5K – 10 > 0 and K > 0
⇒ K > 2

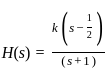
BDL MT Electronics Mock Test - 2 - Question 6

A unity feed-back system has open-loop transfer function

Its root locus plot intersects the jω axis at

Detailed Solution for BDL MT Electronics Mock Test - 2 - Question 6

Concept:
The characteristic equation for a given open-loop transfer function G(s) is
1 + G(s) H(s) = 0
According to the Routh tabulation method,
The system is said to be stable if there are no sign changes in the first column of Routh array
The number of poles lies on the right half of s plane = number of sign changes

Calculation:
Root locus plot intersects the jω axis, i.e. system has roots on the jω axis.
Open loop transfer function
Characteristic equation:
⇒ s (s + 4) (s + 16) + K = 0
⇒ s3 + 20s2 + 64s + K = 0
By applying Routh tabulation method,

To have roots on jω axis, s1 row must be equal to zero.
⇒ K – 20(64) = 0
⇒ K = 1280
Now, 20 s2 + 1280 = 0
s = jω
⇒ ω2 = 64 ⇒ ω = 8 rad/sec
Root locus plot intersect at jω axis at ±j8.

BDL MT Electronics Mock Test - 2 - Question 7

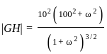
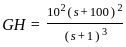
The correct polar plot for the system having open loop transfer function is:

Detailed Solution for BDL MT Electronics Mock Test - 2 - Question 7

Given

Magnitude Condition

Angle:

at ω = 20 angle = -238.79 °
The polar plot will intersect -90° line as evident from phase value at ω = 1 rad/sec
Thus, option c is correct.

Important Points:

  • The direction of the plot is to be decided by the 'tan' terms.
  • If the negative tan value is more then the direction of plot will be in clockwise direction or else it will be in anti-clockwise direction.
  • At low frequency Observe the phase angle ϕ , if negative tan value is more, the direction is clockwise and if the positive tan value is more, then the direction is ACW.
  • At high frequency Observe the number of negative tan terms and also the number of positive tan terms, if number of positive tan terms is more then direction at high frequency will be ACW or else it will be in CW direction.
  • If at high frequency, number of positive tan terms is equal to the number of negative tan terms then follow the rule of direction at low frequency.
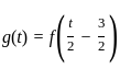
BDL MT Electronics Mock Test - 2 - Question 8

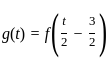
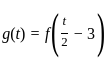
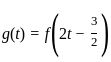
Given f(t) and g(t) as shown below

g(t) can be expressed as

Detailed Solution for BDL MT Electronics Mock Test - 2 - Question 8

Concept:
Time-shifting property: When a signal is shifted in time domain it is said to be delayed or advanced based on whether the signal is shifted to the right or left.
For example:

Time scaling property: A signal is scaled in the time domain with the scaling factor 'a'.
If a > 1, then the signal is contracted by a factor of 'a' along the time axis.
if a < 1, then the signal is expanded by a factor of 'a' along the time axis.
For example:

Analysis:

We can observe that if we scale f(t) by a factor of ½ and then shift, we will get g(t).
First scale f(t) by a factor of ½ ,
g1(t) = f (t/2)

Shift g1(t) by 3

BDL MT Electronics Mock Test - 2 - Question 9

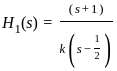
The figure shown below is the pole-zero plot for a stable, causal system H(s). The Pole-zero plot for the associated inverse system.

Detailed Solution for BDL MT Electronics Mock Test - 2 - Question 9

Concept:

Let the inverse system of the system H(s) is H1(s).

The condition for the inverse system,

So, the poles and zeroes will get interchanged.

Calculation:
From the given pole-zero plot,

The inverse of the system H(s) is,

Now, the pole-zero plot of H1(s) is as shown below.

BDL MT Electronics Mock Test - 2 - Question 10
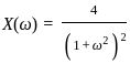
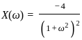
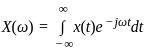
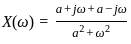
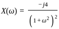
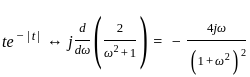
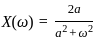
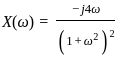
The Fourier transform of x(t) = te-|t| (where ‘t’ indicates continuous time domain)
Detailed Solution for BDL MT Electronics Mock Test - 2 - Question 10

Concept:

The Fourier transform of a signal x(t) is defined as:

x(t) = e-a|t|

The Fourier transform for a double-sided exponential defined above will be:

Since

---(1)

Differentiation in the frequency domain:

If X(ω) is the Fourier transform of x(t), then

The Fourier transform of tn x(t) is

Application:

For the given two-sided exponential:

Let f(t) = e-|t|

a = 1

The Fourier transform from equation (1) will be:

BDL MT Electronics Mock Test - 2 - Question 11

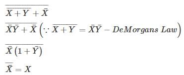
The logic circuit shown in the figure can be minimized to:

Detailed Solution for BDL MT Electronics Mock Test - 2 - Question 11

Concept:

The output of the given circuit is:

X is obtained only in option (4), i.e.

BDL MT Electronics Mock Test - 2 - Question 12

JFET is considered as a voltage-controlled device because ______

Detailed Solution for BDL MT Electronics Mock Test - 2 - Question 12

JEET is considered as a voltage-controlled device because the drain current is controlled by the gate voltage.
Explanation:

JFET:

  • It is affiliated as a junction field-effect transistor
  • The types of JFET are n-channel FET and p-channel FET
  • A p-type material is added to the n-type substrate in n-channel FET, whereas an n-type material is added to the p-type substrate in p-channel FET.

  • JFET is a three-terminal device and since gate voltage controls the drain current, JFET is called a voltage-controlled device.
  • JFET’s have only a depletion mode of operation.
  • When there is no potential applied between gate and source terminals and a potential VDD is applied between drain and source, then a current I0 flows from drain to source terminals at its maximum as the channel width is more.
  • When the voltage applied between gate and source terminal VGG is reverse biased, this decreases the depletion width, thus the layers grow and the cross-section of the channel decreases and hence the drain current ID also decreases.
  • Thus drain current in JFET is controlled by changing the channel width.
  • Gate source p-n junction is always reverse biased because if it is forward then all the channel current will flow to the Gate and not to the source, ultimately damaging JFET.
BDL MT Electronics Mock Test - 2 - Question 13

Which of the following method is used to improve the switching speed of a PN-diode?
(i) Length of p-region is shortened
(ii) Length of n-region is shortened
(iii) Bismuth dopants are used
(iv) Gold dopants are used

Detailed Solution for BDL MT Electronics Mock Test - 2 - Question 13

Concept:

  • By shortening the length of the p-region the reverse recovery time (tn) is reduced considerably.
  • The stored charges can be reduced by adding gold dopants, thereby reducing storage time (ts).
  • Hence, gold dopants are also called lifetime killer.

Generally, T = Tn = ts + tt (ts → storage time, tt → transition time)
Also, frequency f = 1/T
Hence, on reducing the storage time and reverse recovery time, the frequency is increased, thereby increasing the switching speed of the diode.

BDL MT Electronics Mock Test - 2 - Question 14

Identify the unipolar device among the following.

Detailed Solution for BDL MT Electronics Mock Test - 2 - Question 14

In a unipolar device, the current is due to only one type of carrier (i.e. electrons or holes), while in a bipolar device current is due to both holes and electrons.
The Schottky diode or hot-carrier diode is a junction of n-type semiconductor and metal, in it, electrons are sole carriers.Important PointsSchottky Diode:
It is not a typical diode because it does not have a p-n junction.
Instead, it consists a doped semiconductor (usually n-type) and metal, bound together as shown:

  • When the metal comes into contact with an n-type semiconductor the majority carriers, electrons, are infused into metal commonly called "Hot carrier" since injected electrons from a semi-conductor have very high kinetic energy compared to electrons in a metal.
  • ​The Schottky diode’s significant characteristic is its fast switching speed as it doesn't allow the diode to reach saturation.
  • This makes the Shottky diode useful for high-frequencies and digital applications.
  • Schottky diode is also known as the Schottky barrier diode, surface barrier diode, majority carrier device, hot-electron diode, or hot carrier diode.
  • Its symbolic representation is as shown:-

  • The Schottky diode is a semiconductor formed by the junction of a semiconductor with metal. It has a low forward voltage drop and near-zero reverse recovery time hence used in very fast switching circuits.
  • Schottky barrier diode can be used as a low noise amplifier due to metal-semiconductor junction.
BDL MT Electronics Mock Test - 2 - Question 15

The circuit shown below uses an ideal Opamp. Output voltage Vo in mV is

Detailed Solution for BDL MT Electronics Mock Test - 2 - Question 15

Op amp:

  • This Opamp is a negative feedback amplifier (negative terminal of input connected to output) and assumes it is ideal (assume gain = ∞).
  • In any Opamp, if negative feedback is there and opamp is ideal then we will apply the virtual short concept.
  • Assume node a, b, and c and voltage of that node is Va, Vb, and Vc ( From below figure)
  • So according to virtual short concept, node voltage of Va and Vc will be equal (Due to high input impedance)
  • Va = Vc

Calculation:

Given that,
From the above figure
Vc = 50 mv
Apply KCL at node b;

Vo = (12Vb - Va ) ----(1)
Now apply kcl at node a;
Va/12k + (Va - Vb)/10k = 0
(5Va + 6Va - 6Vb)/60k = 0
11Va = 6Vb ----(2)
Apply virtual short concept here;\
Va = Vc = 50mV
Vb = (11/6)×50 mV
Now, put the value of Vb and Va in eqn1 and we will get output voltage;
Vo = 1050 mV

BDL MT Electronics Mock Test - 2 - Question 16

Which of the following are the advantages of FM over AM?
1. Better noise immunity is provided
2. Lower bandwidth is required
3. Transmitted power is more useful
4. Less modulating power is required

Detailed Solution for BDL MT Electronics Mock Test - 2 - Question 16

Advantages of FM over AM are:

  • Improved signal to noise ratio (about 25dB) w.r.t. to manmade interference.
  • Smaller geographical interference between neighboring stations.
  • Less radiated power.
  • Well defined service areas for given transmitter power.
  • The transmitted power can be used only for significant sidebands. This helps in less power distributed to the carrier and the majority of the power to the sidebands that are actually transmitting the power. This results in an efficient use of power. (Statement 3 is correct)

Disadvantages of FM:

  • Much more Bandwidth (as much as 20 times as much). The theoretical bandwidth requirement is infinite.
  • More complicated receivers and transmitters required.

Other important differences are elaborated in the table below:

BDL MT Electronics Mock Test - 2 - Question 17
In an 8085 microprocessor, after the execution of XRA A instruction
Detailed Solution for BDL MT Electronics Mock Test - 2 - Question 17

Concept:

  • In 8085 Instruction, XRA is a mnemonic that stands for “eXclusive OR Accumulator” and “R” stands for any of the following registers, or memory location M pointed by HL pair.
  • R = A, B, C, D, E, H, L, or M
  • This instruction is used to Ex-OR contents of R with the Accumulator. The result of the Ex-OR operation will be stored in the Accumulator.
  • As R can have any of the eight values, there are eight opcodes for this type of instruction. It occupies only 1-Byte in memory.

e.g. MVI A, 05 H

XRA A

(0000 0101) EXOR (0000 0101) = (0000 0000)

Application:

The accumulator contains 00 H after the execution of an instruction

And Zero flag is set

BDL MT Electronics Mock Test - 2 - Question 18
If calls arrive at a telephone exchange such that the time of arrival of any call is independent of the time of arrival of earlier or future calls, the probability distribution function of the total number of calls in a fixed time interval will be
Detailed Solution for BDL MT Electronics Mock Test - 2 - Question 18

Concept:

Poisson distribution is applied when the number of trials is very large and the probability of success is small.

Calculation:

Let's say we have an event E such that the success of the event is “Ringing a call at a time t0” and failure is “Not ringing a call at time t0”.

Since the total number of success or failure of the event is unknown. Therefore, we can say that the event is a random variable.

1 hour = 3600 sec = 3600000 msec = 3.6 × 109 μsec

The event can occur a large number of times for any given time interval and the probability of success is very less.

This property corresponds to Poisson distribution.
BDL MT Electronics Mock Test - 2 - Question 19
Consider the differential equation: y’’ – 5y’ + 6y = 2et. If it is solved by using variation of parameters, the Wronskian is
Detailed Solution for BDL MT Electronics Mock Test - 2 - Question 19

Given differential equation is: y’’ – 5y’ + 6y = 2et

Auxiliary equation is, D2 – 5D + 6 = 0

⇒ D = 2, 3

y(t) = C1 e2t + C2 e3t

y1(t) = e2t, y2(t) = e3t

Wronskian,

= e5t
BDL MT Electronics Mock Test - 2 - Question 20
If HCF of two numbers is 3 and their product is 8505, then find their LCM.
Detailed Solution for BDL MT Electronics Mock Test - 2 - Question 20

Given:

HCF and product of two numbers are 3 and 8505 respectively.

Formula used:

(LCM × HCF) of two numbers = Product of two numbers

Calculation:

According to the formula, we have

LCM × 3 = 8505

⇒ LCM = 8505/3 = 2835

∴ The required LCM is 2835.

BDL MT Electronics Mock Test - 2 - Question 21
A shopkeeper purchased two qualities of rice A & B. He bought 10 kg of rice A at Rs. 35/kg and 20 kg rice B at Rs. 47/kg. Find the overall cost price per kgs if he mixes both types of rice.
Detailed Solution for BDL MT Electronics Mock Test - 2 - Question 21

Given:

He bought 10 kg of rice A at Rs. 35 per kg

And 20 kg of rice B at Rs. 47 per kg

Formula Used:

Average = Sum of the observations/Number of observations

Calculation:

Total price of rice 'A' = Rs. 10 × 35

⇒ Total price of rice 'A' = Rs. 350

Total price of rice 'B' = Rs. 20 × 47

Total price of rice 'B' = Rs. 940

The total quantity of the mixture = 10 + 20

30 kg

Now, Average cost price = Total price of mixture/total quantity of mixture = (350 + 940)/(10 + 20)

Average cost price = 1290/30 = Rs. 43

∴ The overall cost price per kg is Rs. 43.

BDL MT Electronics Mock Test - 2 - Question 22

Express this term as a fraction

Detailed Solution for BDL MT Electronics Mock Test - 2 - Question 22

Shortcut Trick
To convert a recurring decimal into a fraction For numerator write the number formed by all digits after the decimal then subtract the number without a bar(a number which is not repeated) after the decimal and for its denominator. The number is formed by as many nines as there are recurring digits repeated, followed by as many zeros as the number of non-repeating or non-recurring digits.
= (541 - 5)/990
⇒ 0.541 = 536/990
∴ The required fraction is 536/990Alternate MethodGiven:
0.541
Calculation:
Let x = 0.541
x = 0.541414141....
Multiply by 10 the above expression, we get
⇒ 10x = 5.414141..... ---(1)
Multiply by 100 the above expression, we get
⇒ 1000x = 541.414141..... ---(2)
Subtracting (1) from (2) we get,
990x = 536
⇒ x = 536/990
∴ The required fraction is 536/990

BDL MT Electronics Mock Test - 2 - Question 23
A and B together can do a work in 8.75 days and B and C can do the same work together in 8 days and A alone can do the same work in 10 days. In how many days, C alone can do the work alone.
Detailed Solution for BDL MT Electronics Mock Test - 2 - Question 23

Given:

Time taken by A and B together can do the work = 8.75 days

Time taken by B and C together can do the work = 8 days

Time taken by A can do the same work = 10 days

Concept used:

If a person takes x days to complete a work,

Then the part of the work completed by him in 1 day = 1/x

Calculations:

According to the question, we have

Part of the work completed by A and B together in 1 day is obtained as

⇒ (1/A) + (1/B) = (1/8.75) ---(1)

Part of the work completed by B and C together in 1 day is obtained as

⇒ (1/B) + (1/C) = (1/8) ---(2)

Part of the work completed by A alone in 1 day is obtained as

⇒ 1/A = 1/10

Put the value of (1/A) into equation (1), we get

⇒ (1/10) + (1/B) = (1/8.75)

⇒ 1/B = (1/8.75) - (1/10)

⇒ 1/B = (4/35) - (1/10)

⇒ 1/B = 1/70

Hence, B can do the work in 70 days.

Now, substitute the value of (1/B) into equation (2)

⇒ (1/70) + (1/C) = (1/8)

⇒ 1/C = (1/8) - (1/70)

⇒ 1/C = (35 - 4)/280

⇒ 1/C = 31/280

So, The time required by C to complete the work alone = 280/31 days

∴ The time taken by C to complete the work alone is 280/31 days.

BDL MT Electronics Mock Test - 2 - Question 24

Which of the following words most appropriately fits the blank labelled as (3)?

Detailed Solution for BDL MT Electronics Mock Test - 2 - Question 24

Here the correct answer is Across.
Explanation

  • 'Across' will be used after roads because across is a preposition meaning from one side to other of something with clear boundaries.
  • For Examples:-
    • Across a road.
    • Across a bridge.
  • 'Through' will not be used because it is used to indicate the movement from one end to the other.
    • For Example - They ran swiftly through the woods.
  • In the above given passage in the 3rd line, the movement is across a state which has clear boundaries.
  • Therefore, 'across' will be used.
BDL MT Electronics Mock Test - 2 - Question 25

Which of the following words most appropriately fits the blank labelled as (2)?

Detailed Solution for BDL MT Electronics Mock Test - 2 - Question 25

Here the correct answer is Breaking through.
Explanation

  • 'Break through' is a phrasal verb meaning make or force a way through a barrier.
    • For Example - The crowd tried to break through the gates.
  • Here, in the 1st line the farmers along with the leaders of Bhartiya Kisan Union made a way through the two barriers on NH-44 on Wednesday.

Thus, the correct phrasal verb for the blank is 'Breaking through'.

BDL MT Electronics Mock Test - 2 - Question 26

Select the most appropriate option to substitute the underlined segment in the given sentence. If there is no need to substitute it, select No substitution required.

No sooner had I eaten the pizza, then I started feeling sick.

Detailed Solution for BDL MT Electronics Mock Test - 2 - Question 26

The correct answer is- 'than'.

Explanation

  • No sooner than: is used to show that one thing happens immediately after another thing.
  • It is often used with the past perfect.
  • It is followed by 'than'.
    • Example: We had no sooner started cooking than there was a power cut.
  • When 'no sooner' is used in the front position, we invert the order of the auxiliary verb and subject.
    • Example: No sooner had they stepped out of the house than it started to rain.
  • From the above explanation, it is clear that 'than' should come in place of 'then' in the given sentence.
  • Hence, option 3 is the correct answer.

The correct sentence is: No sooner had I eaten the pizza than I started feeling sick.

BDL MT Electronics Mock Test - 2 - Question 27

Select the word which means the same as the group of words given.

Money paid to a man for his labour.

Detailed Solution for BDL MT Electronics Mock Test - 2 - Question 27

The correct answer is 'Remuneration'.

Explanation

  • Let us know the meanings of the given options:
  • Remuneration- Remuneration is payment or compensation received for services or employment.
    • Example- The salary earned by teachers is not enough remuneration for all the work they do on a daily basis.
  • Salary- Salary is a fixed amount of money paid to an employee by an employer in return for his work performed.
  • Payment- Payment is the transfer of money in exchange for a product or service.
  • Support- to give somebody the money he/she needs for food, clothes, etc.
  • By looking at the meanings of the given words we find that 'Remuneration' is the best choice for the given group of words.
  • Hence the correct answer is option (3).
BDL MT Electronics Mock Test - 2 - Question 28

Arrange the following words as per dictionary:

  1. Rational
  2. Ration
  3. Respect
  4. Require
Detailed Solution for BDL MT Electronics Mock Test - 2 - Question 28

According to the sequence in the dictionary:
The correct order of the given words is:
2. Ration
1. Rational
4. Require
3. Respect
Hence, the correct answer is "2, 1, 4, 3".Other Related Points1. First of all, check the common letter in all.
2. Arrange them according to the alphabet they come first.
3. When common letters are arranged, then go for the rest.

BDL MT Electronics Mock Test - 2 - Question 29

In the following question below some statements are given followed by some conclusions. Taking the given statements to be true even if they seem to be at variance from commonly known facts, read all the conclusions, and then decide which of the given conclusions logically follows the given statements.
Statements
Some dog are cat.
All cat are donkey
Conclusion
I. All donkey are dog.
II. Some cat are dog.

Detailed Solution for BDL MT Electronics Mock Test - 2 - Question 29

The least possible Venn diagram for the given statements is as below:


Conclusion:
I. All donkey are dog - False (All cat are donkey so some dog are donkey but all dog are not donkey. So, it is false.)
II. Some cat are dog - True (Some dog are cat so some cat are definitely dog.)
Hence, Only II follows.

BDL MT Electronics Mock Test - 2 - Question 30

In the following Venn diagram, identify the letter that denotes a White floor but not flat.

Detailed Solution for BDL MT Electronics Mock Test - 2 - Question 30

The letter that denotes white floor but not flats shown below:

Hence, ‘D’ is the correct answer.

View more questions
Information about BDL MT Electronics Mock Test - 2 Page
In this test you can find the Exam questions for BDL MT Electronics Mock Test - 2 solved & explained in the simplest way possible. Besides giving Questions and answers for BDL MT Electronics Mock Test - 2, EduRev gives you an ample number of Online tests for practice
Download as PDF