JEE Exam  >  JEE Tests  >  VITEEE PCME Mock Test - 9 - JEE MCQ

VITEEE PCME Mock Test - 9 - JEE MCQ


Test Description

30 Questions MCQ Test - VITEEE PCME Mock Test - 9

VITEEE PCME Mock Test - 9 for JEE 2025 is part of JEE preparation. The VITEEE PCME Mock Test - 9 questions and answers have been prepared according to the JEE exam syllabus.The VITEEE PCME Mock Test - 9 MCQs are made for JEE 2025 Exam. Find important definitions, questions, notes, meanings, examples, exercises, MCQs and online tests for VITEEE PCME Mock Test - 9 below.
Solutions of VITEEE PCME Mock Test - 9 questions in English are available as part of our course for JEE & VITEEE PCME Mock Test - 9 solutions in Hindi for JEE course. Download more important topics, notes, lectures and mock test series for JEE Exam by signing up for free. Attempt VITEEE PCME Mock Test - 9 | 125 questions in 150 minutes | Mock test for JEE preparation | Free important questions MCQ to study for JEE Exam | Download free PDF with solutions
VITEEE PCME Mock Test - 9 - Question 1

If

Detailed Solution for VITEEE PCME Mock Test - 9 - Question 1
Putting x = tan θ, we get

VITEEE PCME Mock Test - 9 - Question 2

The angle between the two diagonals of a cube is

Detailed Solution for VITEEE PCME Mock Test - 9 - Question 2

Let O be one of the vertex of a cube at the origin and three edges through point O be the co-ordinate axes.
The four diagonals are OP, AA', BB' and CC'. Let 'a' be the length of
each edge. Then, the co-ordinates of P, A and A' are (a, a, a), (a, 0, 0), (0, a, a).
The direction ratios of OP are a, a, a.
The direction cosines of OP are
i.e.

Similarly, direction cosines of AA' are

Let θ be the angle between the diagonals OP and AA'.
Then,
= =

or,

VITEEE PCME Mock Test - 9 - Question 3

A second degree polynomial f(x) satisfies f(0) = 0, f(1) = 1, f′(x) > 0 for all x ∈ (0, 1). Then f(x) is

Detailed Solution for VITEEE PCME Mock Test - 9 - Question 3

Let f(x) = bx2 + ax + c
Since, f(0) = 0 ⇒ c = 0
And f(1) = 0  ⇒ a + b = 1
∴ f(x) = ax + (1 − a)x2
Also, f′(x) > 0 for x ∈ (0, 1)
⇒ a + 2(1 − a)x > 0 ⇒  a(1 − 2x) + 2x > 0
⇒ 0 < a < 2
Since, x ∈ (0, 1)
∴ f(x) = ax + (1 − a)x2; 0 < a < 2
For a = 1, f(x) = x (not second degree polynomial)

VITEEE PCME Mock Test - 9 - Question 4

A linear programming problem of linear functions deals with

Detailed Solution for VITEEE PCME Mock Test - 9 - Question 4

A linear programming deals with the optimization (minimization or maximization) of a linear function (objective function) of a number of variables (decision variables) subject to a number of conditions on the variables, in the form of linear equations or inequations in variables involved.

VITEEE PCME Mock Test - 9 - Question 5

If ω is a complex cube root of unity, then the value of  is

Detailed Solution for VITEEE PCME Mock Test - 9 - Question 5

Since, ω is a complex cube root of unity
Now, 
= ω + ω2 = −1

VITEEE PCME Mock Test - 9 - Question 6

The equation of line through the point (1, 2) whose distance from the point (3, 1) has the greatest value, is

Detailed Solution for VITEEE PCME Mock Test - 9 - Question 6

The distance from the point P(3,1) to the required line will be maximum if the line drawn from (3,1) to the required line is perpendicular at point Q(1,2).

Since the required line passes through Q(1,2), we have the slope of line PQ = (1−2) / (3−1) = -1/2.

⇒ Slope of the required line is -1 / (-1/2) = 2.

Using the point-slope form of a straight line:

(y−2) = 2(x−1)
⇒ y - 2 = 2x - 2
⇒ 2x - y = 0
⇒ y = 2x.

VITEEE PCME Mock Test - 9 - Question 7

The value of λ and μ if (2î + 6ĵ + 27k̂) × (î + λĵ + μk̂) = 0 is:

Detailed Solution for VITEEE PCME Mock Test - 9 - Question 7

Given, (2î + 6ĵ + 27k̂) × (î + λĵ + μk̂) = 0


On comparing the corresponding components, we have
6μ – 27λ = 0, –2μ + 27 = 0, 2λ – 6 = 0

Hence, λ = 3 and μ = 27/2

VITEEE PCME Mock Test - 9 - Question 8

If x/a + y/b = 2 touches the curve xⁿ/aⁿ + yⁿ/bⁿ = 2 at the point (α, β) and n, a, b ≠ 0, then:

Detailed Solution for VITEEE PCME Mock Test - 9 - Question 8

Given that, 
Curve 
Differentiate both sides w.r.t. x, we get,

Slope of tangent at point (α, β):

Equation of tangent is:

Compare the equation with given equation

⇒ α = a and β = b.

VITEEE PCME Mock Test - 9 - Question 9

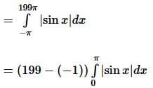
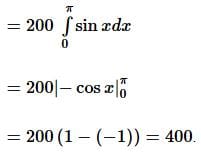
Area bounded by the curve y = k sin x and the x-axis between x = π and x = 2π is:

Detailed Solution for VITEEE PCME Mock Test - 9 - Question 9

Given the curve y = k sin x,


The required area is = 

Hence, the area is 2|k| square units.

VITEEE PCME Mock Test - 9 - Question 10

If α, β are the roots of the equation (x − a)(x − b) + c = 0, then the roots of the equation (x − α)(x − β) − c = 0 are:

Detailed Solution for VITEEE PCME Mock Test - 9 - Question 10

Given that α, β are the roots of the equation:

(x − a)(x − b) + c = 0

Expanding:
x² − (a + b)x + ab + c = 0

From this, we identify:
α + β = (a + b)
αβ = ab + c

Now, consider the given equation:
(x − α)(x − β) − c = 0

Expanding:
x² − (α + β)x + αβ − c = 0

Substituting α + β = a + b and αβ = ab + c:
x² − (a + b)x + ab = 0

Thus, the roots of this equation are a, b.

VITEEE PCME Mock Test - 9 - Question 11

Consider the network of equal resistances (each R) shown in figure. Then the effective resistance between points A and B is

Detailed Solution for VITEEE PCME Mock Test - 9 - Question 11

The given circuit consists of two cubical resistance.

We will find the resistance of single cubical resistance and then, find the equivalent resistance by having two cubical resistances in series.
Consider a single cubical resistance, we will find the equivalent resistance across A to B.

The equivalent resistance circuit between the points A and B is drawn below.

As we know that, for a parallel resistance circuit,

and for a series resistance circuit,
Rs = R1 + R2 +⋯+ Rn
using the above equations, we get,


Now in the original circuit, we have two resistances of resistance 5R/6  in series.

VITEEE PCME Mock Test - 9 - Question 12

What is a Curie?

Detailed Solution for VITEEE PCME Mock Test - 9 - Question 12

We evaluate the radioactive emission magnitude by the amount of atoms per unit of time converted into new atoms. The standard unit employed for evaluating radioactivity is Curie. 
One Curie is equivalent to 3.7×1010 radioactive decays per second, approximately the number of decays occurring in 1 gm of radium per second, and is equal to 3.7×1010 Bq becquerels. 

VITEEE PCME Mock Test - 9 - Question 13

If the value of R is changed for the circuit given below, then 

Detailed Solution for VITEEE PCME Mock Test - 9 - Question 13

We can see from the diagram that the voltage across the capacitor is same as the voltage across the inductor in the given circuit, which means 

VL= VC = 10  V

Therefore, the circuit is in resonance.

When a circuit is in resonance, the change in resistance R across the resistor will have effect on current on the circuit but the voltage across capacitor and inductor has a phase difference of 180°. Hence, the net potential difference across LC is

Thus, the voltage across LC combination remains same.

Note: Voltage or potential difference is not a vector. To understand the AC circuit in a better way, we treat them as a vector.

VITEEE PCME Mock Test - 9 - Question 14

In the above figure, if the GeGe in the circled position is replaced by the GaGa, then the resultant forms which type of semiconductor?

Detailed Solution for VITEEE PCME Mock Test - 9 - Question 14

Germanium is a tetravalent atom. When the crystal of Germanium is doped with Gallium, which is a trivalent atom, a hole is created due to lack of one valence electron in gallium. Thus, impurity of lower group creates a positively charged hole. The type of extrinsic semiconductor obtained is p-type semiconductor. On applying potential difference, p-holes conduct electric current.

VITEEE PCME Mock Test - 9 - Question 15

The nucleus of atomic mass A and atomic number Z emits a β-particle. The atomic mass and atomic number of the resulting nucleus are

Detailed Solution for VITEEE PCME Mock Test - 9 - Question 15

In β-decay, mass number is unaffected. Atomic number increase by one.

VITEEE PCME Mock Test - 9 - Question 16

"When a Zener diode operates in the breakdown region, a current of 20 mA flows through it under an applied voltage of 80 V. What is the Zener impedance?"

Detailed Solution for VITEEE PCME Mock Test - 9 - Question 16

Given,
Current in the breakdown region, Iₓ = 20 mA
Applied voltage, Vₓ = 80 V

So, the Zener impedance, Zₙ = Vₓ / Iₓ
Zₙ = (80 × 10⁻³) / (20 × 10⁻³)
Zₙ = 4 Ω

VITEEE PCME Mock Test - 9 - Question 17

If we throw a body upwards with a velocity of 4 m/s, then at what height does its kinetic energy reduce to half of the initial value? (Take g = 10 ms–2)

Detailed Solution for VITEEE PCME Mock Test - 9 - Question 17

Initial kinetic energy of the body:


Let, at height h, the kinetic energy reduces to half, i.e., it becomes 4m. This is also equal to the potential energy. Hence,
mgh = 4 m
Or,

VITEEE PCME Mock Test - 9 - Question 18

In a mass spectrometer used for measuring the masses of ions, the ions are initially accelerated by an electric potential V and then made to describe semicircular paths of radius R using a magnetic field B. If V and B are kept constant, the ratio will be proportional to

Detailed Solution for VITEEE PCME Mock Test - 9 - Question 18

The radius of the orbit in which ions are moving is determined by the relation as given below:

Here, m is mass, v is velocity, q is charge of ion and B is flux density of the magnetic field
So,
qvB is the magnetic force acting on the ion, and is the centripetal force on the ion moving in a curved path of radius R.
The angular frequency of rotation of the ions about the vertical field B is given by:

Energy of the ions is given by:
E =
=
=
Or E = …(i)
If ions are accelerated by electric potential V, then
Energy attained by ions,
E = qV …(ii)
From (i) and (ii), we get
qV = or
If V and B are kept constant, then

VITEEE PCME Mock Test - 9 - Question 19

Ac source of voltage of V = V0sin (100t) is connected with box which contain either RL or RC circuit. If voltage leads the current by phase π/4, then:

Detailed Solution for VITEEE PCME Mock Test - 9 - Question 19

(voltage lead, so Circuit is RL)
XL = R
ωL = R

100 L = R

VITEEE PCME Mock Test - 9 - Question 20
The thermal decomposition of HCOOH is a first order reaction with a rate constant of 2.4 x 10-3 s-1 at certain temperature. Calculate how long will it take for three-fourths of initial quantity of HCOOH to decompose.
Detailed Solution for VITEEE PCME Mock Test - 9 - Question 20
Rate constant, k = 2.4 x 10-3 s-1
Half-life of first order reaction (t1/2) = 0.693/k
Therefore, = 288.75 s
Time taken for 3/4th of the reaction to take place is two times the half-life of first order reaction, i.e. 2 x t1/2.
Hence, t3/4 = 288.75 x 2 = 577.50 s 578 s
VITEEE PCME Mock Test - 9 - Question 21

The EMF of Daniell cell was found using different concentrations of Zn2+ ion and Cu2+ ion. A graph was then plotted between Ecell and The plot was found to be linear with intercept on Ecell axis equal to 1.10 V. Ecell for Zn/Zn2+ (0.1 M)(Cu2+(0.01M) I Cu will be

Detailed Solution for VITEEE PCME Mock Test - 9 - Question 21

For Daniell cell,
Zn(s) + Cu2+(aq) → Zn2+(aq) + Cu(s)

Applying the Nernst equation, we get:

Ecell = 1.10 - 0.0295 = 1.0705 V

VITEEE PCME Mock Test - 9 - Question 22
Which among the following trihalides of nitrogen is the least basic?
Detailed Solution for VITEEE PCME Mock Test - 9 - Question 22
The electron-withdrawing inductive effect of halogen decreases the electron density on nitrogen, and lowers the basic strength. Since fluorine is the most electronegative, NF3 is the least basic.
VITEEE PCME Mock Test - 9 - Question 23

The correct order of acidic strengths of the carboxylic acids is

Detailed Solution for VITEEE PCME Mock Test - 9 - Question 23

Acidic strength is the tendency to give H+ ions. The correct order of acidic strength of given acids is
CH3COOH<C6H5COOH<HCOOH
This order depends on pKa value of these acids and stability of conjugate base formed by these acids.
Acidic character is directly proportional to 
−Inductive effect and −esonance effect.

VITEEE PCME Mock Test - 9 - Question 24

If Aufbau principle is not followed, the atomic number of first f-block element will be:

Detailed Solution for VITEEE PCME Mock Test - 9 - Question 24

According to the Aufbau principle electrons are filled in the increasing order of their energies in the orbitals. Atomic orbitals which are lower in energies are filled before the higher energy orbitals.
If this rule is not followed then the first f-block atom will have the atomic number 47.

VITEEE PCME Mock Test - 9 - Question 25

Which of the following oxides is the most acidic?

Detailed Solution for VITEEE PCME Mock Test - 9 - Question 25

Acidic character of oxides depends upon the electronegativity and oxidation state of the central atom.
Higher the electronegativity and oxidation state of the central atom, more is the tendency to attract electrons (using Lewis concept). Hence, more is the acidic character of the oxides.
The oxidation state of the centric atom in all the given oxides is +5 and nitrogen is the most electronegative among all. Hence, N2O5 is the most acidic.

VITEEE PCME Mock Test - 9 - Question 26

Towards nitration which one is least reactive

Detailed Solution for VITEEE PCME Mock Test - 9 - Question 26

NO2  is a very strong electron-withdrawing group (EWG), thereby deactivating the ring strongly. The amount of electron donation into the ring (activating the ring towards electrophilic aromatic substitution) therefore decreases.

VITEEE PCME Mock Test - 9 - Question 27

The uncertainty in the momentum of an electron is 1.0 × 10⁻¹⁰ kg ms⁻¹. The uncertainty in its position will be; (h = 6.62 × 10⁻³⁴ Js)

Detailed Solution for VITEEE PCME Mock Test - 9 - Question 27

Mass of electron (m) = 9.1×10−31 Kg

Uncertainty in momentum (△p)=1.0×10−10

According to Heisenberg's principle,


=0.527 × 10−24
△x = 5.27 × 10−25 

VITEEE PCME Mock Test - 9 - Question 28

If 1.0 mole of I₂ is introduced in a 1.0-liter flask at 1000 K (Kc = 10⁻⁶), which of the following statements is correct?

Detailed Solution for VITEEE PCME Mock Test - 9 - Question 28

The balanced equation:

Where 'x'  is the degree of dissociation.

This indicates that the degree of dissociation is very less and thus: [I₂(g)] > [I(g)]

VITEEE PCME Mock Test - 9 - Question 29

Choose the correct option to replace the word(s) given in brackets:
He seemed (have) finished his homework.

Detailed Solution for VITEEE PCME Mock Test - 9 - Question 29

After a transitive verb, we use infinites: He seemed (to have) finished his homework. Here, 'seemed' is a transitive verb and thus, 'to have' is the correct option.

VITEEE PCME Mock Test - 9 - Question 30

Study the table carefully to answer the questions that follow.
Profit (in ₹1000) made by six different shopkeepers over the months

What is the difference in profit earned by shopkeeper T in January 2010 from the previous month?

Detailed Solution for VITEEE PCME Mock Test - 9 - Question 30

Given that the profit of shopkeeper T in December 2009 is 5.31 and in January 2010 is 5.69.
Therefore, the difference is:
⇒ (5.69−5.31) × 1000
⇒ 0.38 × 1000
⇒ ₹380
Hence, the correct answer is ₹380

View more questions
Information about VITEEE PCME Mock Test - 9 Page
In this test you can find the Exam questions for VITEEE PCME Mock Test - 9 solved & explained in the simplest way possible. Besides giving Questions and answers for VITEEE PCME Mock Test - 9, EduRev gives you an ample number of Online tests for practice
Download as PDF