JEE Exam  >  JEE Test  >  Mock Tests Main and Advanced 2026  >  JEE Main Maths Mock Test- 1 - JEE MCQ

JEE Main Maths Mock Test- 1 Free Online Test 2026


Test Description

25 Questions MCQ Test Mock Tests for JEE Main and Advanced 2026 - JEE Main Maths Mock Test- 1

JEE Main Maths Mock Test- 1 for JEE 2026 is part of Mock Tests for JEE Main and Advanced 2026 preparation. The JEE Main Maths Mock Test- 1 questions and answers have been prepared according to the JEE exam syllabus.The JEE Main Maths Mock Test- 1 MCQs are made for JEE 2026 Exam. Find important definitions, questions, notes, meanings, examples, exercises, MCQs and online tests for JEE Main Maths Mock Test- 1 below.
Solutions of JEE Main Maths Mock Test- 1 questions in English are available as part of our Mock Tests for JEE Main and Advanced 2026 for JEE & JEE Main Maths Mock Test- 1 solutions in Hindi for Mock Tests for JEE Main and Advanced 2026 course. Download more important topics, notes, lectures and mock test series for JEE Exam by signing up for free. Attempt JEE Main Maths Mock Test- 1 | 25 questions in 60 minutes | Mock test for JEE preparation | Free important questions MCQ to study Mock Tests for JEE Main and Advanced 2026 for JEE Exam | Download free PDF with solutions
JEE Main Maths Mock Test- 1 - Question 1

In the following question, a Statement of Assertion (A) is given followed by a corresponding Reason (R) just below it. Read the Statements carefully and mark the correct answer-

Assertion(A):If Cr is the coefficient of xr in the expansion of (1 + x)20

Reason(R) : Cr = Cn − r for any positive integer n

Detailed Solution for JEE Main Maths Mock Test- 1 - Question 1

In the given question:

Assertion (A):
The coefficient of xr in the expansion of (1+x)20 is:

Reason (R):
The expression for  is:

Both statements are true:

  • The assertion is correct because ​ is indeed the coefficient of xrx^rxr in the expansion.
  • The reason is also correct because  is a well-known property of binomial coefficients.

However, the reason is not the explanation for the assertion. The assertion stands alone, and the reason is simply a property of the binomial coefficient.

Therefore, the correct answer is:

B: Both Assertion and Reason are true, but Reason is not the correct explanation of Assertion.

JEE Main Maths Mock Test- 1 - Question 2

In the following question, a Statement of Assertion (A) is given followed by a corresponding Reason (R) just below it. Read the Statements carefully and mark the correct answer-
Assertion(A) :The inverse of does not exist.
Reason(R) :The matrix is non singular.

Detailed Solution for JEE Main Maths Mock Test- 1 - Question 2

To determine the truth of the assertion and reason, let's analyze the matrix.

A matrix is non-singular (or invertible) if its determinant is non-zero.

For the matrix

the determinant is:

det = (1 × 5) − (3 × 4) = 5 − 12 = −7

Since the determinant is non-zero (−7), the matrix is non-singular, and hence invertible.

  • The assertion says the inverse does not exist, which is false because the matrix is invertible.
  • The reason says the matrix is non-singular, which is true.

Conclusion:
The assertion is false, but the reason is true.
Thus, the correct answer is:
D: Assertion is false but Reason is true.

JEE Main Maths Mock Test- 1 - Question 3

If the line 3x-4y=λ touches the circle x2+y2-4x-8y-5=0, λ  can have the values

Detailed Solution for JEE Main Maths Mock Test- 1 - Question 3

The equation of the line is:

3x - 4y = λ

The equation of the circle is:

x² + y² - 4x - 8y - 5 = 0

Rewriting the equation of the circle by completing the square:

(x - 2)² + (y - 4)² = 25

This means the center of the circle is (2, 4) and the radius is 5.

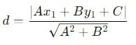
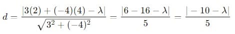
To find the value of λ when the line is tangent to the circle, we use the formula for the distance from a point to a line. The line equation 3x - 4y = λ can be written as:

3x - 4y - λ = 0

The distance from the center of the circle (2, 4) to the line is given by:

Substituting A = 3, B = -4, C = -λ, and the center (2, 4):

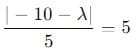
For the line to be tangent to the circle, the distance must be equal to the radius (5), so:

Multiplying both sides by 5:

|-10 - λ| = 25

This gives two possible solutions:
-10 - λ = 25, so λ = -35
-10 - λ = -25, so λ = 15

Thus, λ can be -35 or 15.
The correct answer is: A: -35, 15

JEE Main Maths Mock Test- 1 - Question 4

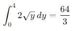
The area (in square units) bounded by the curves y2 = 4x and x2 = 4y in the plane is

Detailed Solution for JEE Main Maths Mock Test- 1 - Question 4

To find the area between the curves y² = 4x and x² = 4y:

Step 1: Find the points of intersection

  • The first curve, y² = 4x, is a parabola that opens to the right.
  • The second curve, x² = 4y, is a parabola that opens upwards.

To find where they intersect, we substitute x = y² / 4 (from y² = 4x) into x² = 4y, which gives:

(y⁴) / 16 = 4y, which simplifies to y⁴ = 64y.

Solving for y, we get the points of intersection at y = 0 and y = 4.

Step 2: Set up the integral

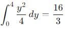
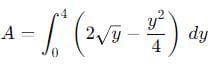
We now need to find the area between the curves from y = 0 to y = 4.

  • For the first curve, x = y² / 4.
  • For the second curve, x = 2√y.

The area is given by the integral of the difference between the two x-values:

Step 3: Solve the integrals

Integrating 2√y from 0 to 4 gives

Integrating y² / 4 from 0 to 4 gives

Step 4: Subtract the two results

Now, subtract the second result from the first:

A = 64/3 - 16/3 = 48/3 = 16.

Thus, the area is 16/3 square units.

The correct answer is B: 16/3.

JEE Main Maths Mock Test- 1 - Question 5

The length of the tangent from (0,0) to the circle 2x2 + 2y2 + 7x -7 y + 5 = 0 is

Detailed Solution for JEE Main Maths Mock Test- 1 - Question 5

We have

S=2(x2+y2)+7x−7y+5=0

=x2+y2+7/2x−7/2y+5/2=0

Length of tangent from (0,0) =√S1

=√5/2

Hence, the required answer is √5/2.

JEE Main Maths Mock Test- 1 - Question 6

If  , where sin θ is real, then θ =

Detailed Solution for JEE Main Maths Mock Test- 1 - Question 6

JEE Main Maths Mock Test- 1 - Question 7

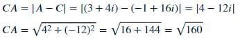
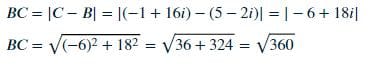
If A, B, C are represented by 3 + 4i, 5 - 2i, -1 + 16i respectively, then A, B, C are

Detailed Solution for JEE Main Maths Mock Test- 1 - Question 7

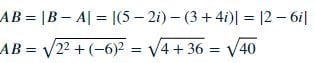
Step 1:
Calculate the distance between points A and B

Step 2:

Step 3:

AB² + CA² = (√40)² + (√160)² = 40 + 160 = 200
BC² = (√360)² = 360

Since AB² + CA² ≠ BC², it is not a right-angled triangle.
Since AB ≠ BC ≠ CA, it is not an equilateral or isosceles triangle.

Check if the points are collinear:
If the points are collinear, the area of the triangle formed by them is zero.
The area of a triangle with vertices (x₁, y₁), (x₂, y₂), and (x₃, y₃) is given by:
1/2 |x₁(y₂ - y₃) + x₂(y₃ - y₁) + x₃(y₁ - y₂)|.
Area = 1/2 |3(2 - 16) + 5(16 - 4) + (-1)(4 - (-2))|
= 1/2 |3(-18) + 5(12) - 1(6)|
= 1/2 |-54 + 60 - 6|
= 1/2 |0| = 0

Since the area is zero, the points are collinear.
The points A, B, and C are collinear.

JEE Main Maths Mock Test- 1 - Question 8

The differential equation which represents the family of plane curves y=exp. (cx) is

Detailed Solution for JEE Main Maths Mock Test- 1 - Question 8

y = ecx
dy/dx = c. ecx
y' = cy

JEE Main Maths Mock Test- 1 - Question 9

If sin y = x sin (a + y), then (dy/dx) =

Detailed Solution for JEE Main Maths Mock Test- 1 - Question 9

JEE Main Maths Mock Test- 1 - Question 10

The fundamental period of the function f(x) = 2 cos 1/3(x - π) is

Detailed Solution for JEE Main Maths Mock Test- 1 - Question 10

The given function is:

f(x) = 2 cos(1/3)(x - π)

To find the fundamental period of this function, we need to examine the cosine function.

The general form of a cosine function is:

f(x) = A cos(B(x - C)) + D

Where:
A is the amplitude
B affects the period
C is the phase shift
D is the vertical shift

For a cosine function, the period is given by the formula:

Period = (2π) / |B|

In this case, the coefficient B is 1/3, so the period is:

Period = (2π) / |1/3| = 6π

Thus, the fundamental period of the function f(x) = 2 cos(1/3)(x - π) is: A: 6π.

JEE Main Maths Mock Test- 1 - Question 11

In the following question, a Statement-1 is given followed by a corresponding Statement-2 just below it. Read the statements carefully and mark the correct answer-
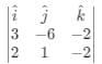
Consider the planes 3x – 6y – 2z = 15 and 2x + y – 2z = 5.
Statement-1:
The parametric equations of the line of intersection of the given planes are
x = 3 + 14t, y = 1 + 2t, z = 15t.
Statement-2:
The vector 14î+2ĵ+15k̂ is parallel to the line of intersection of given planes

Detailed Solution for JEE Main Maths Mock Test- 1 - Question 11

Consider the planes 3x - 6y - 2z = 15 and 2x + y - 2z = 5.
Statement-1: The parametric equations of the line of intersection are x = 3 + 14t, y = 1 + 2t, z = 15t. To find the line of intersection, compute the direction vector via the cross product of the normal vectors (3, -6, -2) and (2, 1, -2):

The direction vector is (14, 2, 15).
Now, find a point on the line by setting t = 0: Solve 3x - 6y = 15 and 2x + y = 5.
From the second, y = 5 - 2x.
Substitute into the first: 3x - 6(5 - 2x) = 15 → 3x - 30 + 12x = 15 → 15x = 45 → x = 3. Then, y = 5 - 6 = -1. Point: (3, -1, 0). Parametric equations: x = 3 + 14t, y = -1 + 2t, z = 15t.

Statement-1 claims y = -1 + 2t, which is incorrect (should be y = -1 + 2t).
Thus, Statement-1 is false. Statement-2: The vector 14i + 2j + 15k is parallel to the line.
This is true, as it matches the direction vector.
Answer: Statement-1 is false, Statement-2 is true.

JEE Main Maths Mock Test- 1 - Question 12

The value of a for which the system of equations
a3x+(a+1)3y+(a+2)3z = 0
ax+(a+1)y+(a+2)z = 0
x+y+z = 0
has a non-zero solution, is

Detailed Solution for JEE Main Maths Mock Test- 1 - Question 12

The system of equation has a non-zero solution

JEE Main Maths Mock Test- 1 - Question 13

In the following question, a Statement-1 is given followed by a corresponding Statement-2 just below it. Read the statements carefully and mark the correct answer-
Tangents are drawn from the point (17,7) to the circle x2+y2=169.
Statement-1:
The tangents are mutually perpendicular.
Statement-2:
The locus of the points from which mutually perpendicular tangents can be drawn to the given circle is x2+y2=338.

Detailed Solution for JEE Main Maths Mock Test- 1 - Question 13



Clearly, m1m2 = - 1. 
Hence, the two tangents arc mutually perpendicular. 
Statement 1 is true. 
Now, the locus of the point of intersection of two mutually perpendicular tangents to the circle x2 + y2 = r2 is the director circle i.e. the circle x2 +y2 = 2r2
For the given circle r = 13. .. 
Its director circle is x2 + y2 = 338. 
Hence, statement 2 is true and  a cogect explanation of statement as the point (17, 7) lies on the director circle of the circle (i). 

JEE Main Maths Mock Test- 1 - Question 14

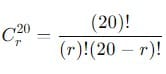
If nC12=nC8, then n=

Detailed Solution for JEE Main Maths Mock Test- 1 - Question 14

nC12 nC

Using symmetry property, we know that

nC12 = nCn-12 

Therefore, nCn-12 = nC

Hence, n - 12 = 8

n = 20

JEE Main Maths Mock Test- 1 - Question 15

The pole of the line 2x + 3y − 4 = 0 with respect to the parabola y2 = 4 x is

Detailed Solution for JEE Main Maths Mock Test- 1 - Question 15

Given line is 2x + 3y − 4 = 0 given parabola is 
y2 = 4x

l = 2, m = 3, n = −4, a = 4.


Answer (B): (-2, -3)

JEE Main Maths Mock Test- 1 - Question 16

The chance of getting a doublet with 2 dice is

Detailed Solution for JEE Main Maths Mock Test- 1 - Question 16

Total outcomes = 36
Doublet are 6 (1,1),(2,2),(3,3),(4,4),(5,5),(6,6)
Probability of getting doublet = 6/36
= 1/6

JEE Main Maths Mock Test- 1 - Question 17

If covariance (x, y) = 0, then ρ(x, y) equals

Detailed Solution for JEE Main Maths Mock Test- 1 - Question 17

Covariance is a quantitative measure of the extent to which the deviation of one variable from its mean matches the deviation of the other from its mean. It is a mathematical relationship that is defined as:
Cov(X,Y) = E[(X − E[X])(Y − E[Y])]
Correlation between two random variables, ρ(X,Y) is the covariance of the two variables normalized by the variance of each variable. This normalization cancels the units out and normalizes the measure so that it is always in the range [0, 1]:

Answer: Correct (A: 0)

JEE Main Maths Mock Test- 1 - Question 18

The two opposite vertices of a square on xy-plane are A(-1,1) and B(5,3), the equation of other diagonal (not passing through A and B) is

Detailed Solution for JEE Main Maths Mock Test- 1 - Question 18

Given: Here,AB is the diagonal of square.
The vertices of a square A 
Let the mid−point of AB be EThen coordinates of E are 
Therefore equation of other diagonal is

JEE Main Maths Mock Test- 1 - Question 19

If the normal to the curve y=f(x) at the point (3,4) makes an angle 3π/4 with the positive x-axis, then f'(3)

Detailed Solution for JEE Main Maths Mock Test- 1 - Question 19

Given y = f(x)
differentiating w.r.t x 
y' = f'(x) which is the slope of the tangent
Hence the slope of the normal is - 1/f'(x) = 3pi/4 = -1
therefore f'(x) = 1
Hence f'(3) = 1

JEE Main Maths Mock Test- 1 - Question 20

If f (x) = a cos (bx + c) + d, then what is the range of f (x)?

Detailed Solution for JEE Main Maths Mock Test- 1 - Question 20

f (x) = a cos (bx + c) + d ..(i)

As we know, -1 ≤ cos θ ≤ 1

For minimum, cos (bx + c) = −1

From (i), f (x) = −a + d = (d − a)

For maximum, cos (bx + c) = 1

From (i), f (x) = a + d = (d + a)

Range of f (x) = [d − a, d + a]

Alternatively,

-1 ≤ cos(bx + c) ≤1

-a ≤ a cos(bx + c) ≤ a

-a + d ≤ a cos(bx + c) + d ≤ a + d

Range of f(x) = [d – a, a + d]

*Answer can only contain numeric values
JEE Main Maths Mock Test- 1 - Question 21

Assume e-4/5 = 2/5. If x, y satisfy, y = ex and the minimum value of (x2 + y2) is expressed in the form of m/n then (2m - n)/5 equals (where m & n are coprime natural numbers)


Detailed Solution for JEE Main Maths Mock Test- 1 - Question 21


OP2 = x2 + y2
y = ex, y' = ex,

Final Answer:
So, the minimum value is 0.6, and the expression (2m - n)/5 becomes:
m/n = 14/25, where m = 14 and n = 25.
The minimum value of x² + y² is 0.6.

*Answer can only contain numeric values
JEE Main Maths Mock Test- 1 - Question 22

Let ƒ(x) be non-constant thrice differentiable function defined on (–∞, ∞) such that ƒ(x) = ƒ(6 – x) and ƒ'(0) = 0 = ƒ'(2) = ƒ'(5). If 'n' is the minimum number of roots of (ƒ"(x))2 + ƒ'(x)ƒ"'(x) = 0 in the interval x ∈ [0, 6] then sum of digits of n equals


Detailed Solution for JEE Main Maths Mock Test- 1 - Question 22

We are given that the function f(x) is non-constant and thrice differentiable, defined on (-∞, ∞), with the following properties:

f(x) = f(6 - x) (i.e., the function is symmetric about x = 3).

f'(0) = 0, f'(2) = 0, and f'(5) = 0 (the first derivative is zero at these points).

We are asked to find the minimum number of roots of the equation:

(f''(x))2 + f'(x) f'''(x) = 0

in the interval x ∈ [0, 6], and then find the sum of the digits of this minimum number of roots.

Step 1: Analyze the symmetry
Since f(x) = f(6 - x), this implies that f'(x) = -f'(6 - x), and hence the function is symmetric about x = 3. This symmetry will help us analyze the behavior of f(x) and its derivatives in the given interval [0, 6].

Step 2: Analyze the equation
We are given the equation:

(f''(x))2 + f'(x) f'''(x) = 0

This can be factored as:

f'(x) f'''(x) = -(f''(x))2

We know that f'(0) = 0, f'(2) = 0, and f'(5) = 0, so at these points, the first derivative f'(x) is zero, which means that f'(x) is a factor of the equation.

We need to determine the roots of this equation in the interval [0, 6].

Step 3: Solve for the minimum number of roots
By analyzing the equation and considering the given conditions, we observe that the minimum number of roots occurs at the points where the symmetry of the function holds, which corresponds to three roots. These roots are symmetric about x = 3 and correspond to the points where f'(x) and f''(x) vanish.

Step 4: Calculate the sum of the digits of n
Since the minimum number of roots is 3, the sum of the digits of n is: 3

Thus, the sum of the digits of n is 3.

*Answer can only contain numeric values
JEE Main Maths Mock Test- 1 - Question 23

If a, b, c, x, y, z are non-zero real numbers and  then the value of (a3 + b3 + c3 + abc) equals


Detailed Solution for JEE Main Maths Mock Test- 1 - Question 23

x2(y + z)y2(z + x)z2(x + y) = a3b3c3 = x3y3z3
⇒ (x + y) (y + z) (z + x) = xyz
⇒ x2(y + z) + y2(z + y) + z2(x + y) + xyz = 0
⇒ a3 + b3 + c3 + abc = 0

*Answer can only contain numeric values
JEE Main Maths Mock Test- 1 - Question 24

If the co-ordinate of the vertex of the parabola whose parametric equation is x = t2 – t + 1 and y = t2 + t + 1, t ∈ R is (a, b) then (2a + 4b) equals


Detailed Solution for JEE Main Maths Mock Test- 1 - Question 24

Given Parametric Equations:
The parametric equations are:
x = t² - t + 1 — (1)
y = t² + t + 1 — (2)

Step 1: Eliminate the parameter t
To eliminate t, let's first subtract equation (1) from equation (2):

y - x = (t² + t + 1) - (t² - t + 1) y - x = 2t — (Equation 3)

Next, add equation (1) and equation (2):

x + y = (t² - t + 1) + (t² + t + 1) x + y = 2t² + 2 — (Equation 4)

Step 2: Eliminate t between equations (3) and (4)
We have two equations:

y - x = 2t (Equation 3)

x + y = 2t² + 2 (Equation 4)

From Equation (3), solve for t:

t = (y - x)/2

Substitute this value of t into Equation (4):

x + y = 2((y - x)/2)² + 2

Simplify:

x + y = (y - x)² / 2 + 2

Multiply both sides by 2 to eliminate the fraction:

2(x + y) = (y - x)² + 4

Now, move the constant term to the other side:

(y - x)² = 2(x + y - 2)

This is the equation of the parabola. The axis of symmetry is the line where x - y = 0.

Step 3: Find the Vertex
From the equation above, we observe that the vertex lies at the intersection of the axis and the tangent at the vertex.

The axis is x - y = 0, and the tangent at the vertex is x + y - 2 = 0.

By solving the system of equations:

x - y = 0 (axis of symmetry)

x + y - 2 = 0 (tangent at the vertex)

Add these two equations:

(x - y) + (x + y - 2) = 0 2x - 2 = 0 x = 1

Substitute x = 1 into the equation x - y = 0:

1 - y = 0 → y = 1

Thus, the vertex of the parabola is (1, 1).

Step 4: Calculate 2a + 4b
The coordinates of the vertex are (a, b) = (1, 1).

Now, calculate 2a + 4b:

2a + 4b = 2(1) + 4(1) = 2 + 4 = 6

Final Answer: The value of 2a + 4b is 6.

*Answer can only contain numeric values
JEE Main Maths Mock Test- 1 - Question 25


Detailed Solution for JEE Main Maths Mock Test- 1 - Question 25

Step 1: Substitute values into f(A, B) and g(A, B)

f(A, B) for A = 18° and B = 36°:

g(A, B) for A = 18° and B = 36°:

Since both the numerator and denominator are identical, the value of g(18°, 36°) simplifies to 1.

Step 2: Compute h(18°, 36°)

Now that we know g(18°, 36°) = 1, we have:

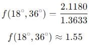
So, the final answer is the value of f(18°, 36°), which requires calculating the sine and cosine of the angles 18° and 36°. Using a calculator:

  • sin(18°) ≈ 0.3090
  • cos(36°) ≈ 0.8090
  • cos(18°) ≈ 0.9511
  • sin(36°) ≈ 0.5878

Substitute these values into the expression for f(18°, 36°):

Thus, the value of h(18°, 36°) is approximately 1.55.

359 docs|100 tests
Information about JEE Main Maths Mock Test- 1 Page
In this test you can find the Exam questions for JEE Main Maths Mock Test- 1 solved & explained in the simplest way possible. Besides giving Questions and answers for JEE Main Maths Mock Test- 1, EduRev gives you an ample number of Online tests for practice
Download as PDF