All questions of Sample Papers for JEE Exam

If the electron in a hydrogen atom jumps from an orbit with level n1 = 2 to an orbit with level n2 = 1 the emitted radiation has a wavelength given by
  • a)
    λ = 5/3R
  • b)
    λ = 4/3 R
  • c)
    λ = R/4
  • d)
    λ = 3R/4
Correct answer is option 'B'. Can you explain this answer?

656.3 nm
b) 486.1 nm
c) 434.0 nm
d) 410.2 nm

The correct answer is b) 486.1 nm.

This can be determined using the formula for the wavelength of emitted radiation:

λ = hc/ΔE

where λ is the wavelength, h is Planck's constant, c is the speed of light, and ΔE is the energy difference between the two levels.

The energy difference can be calculated using the formula:

ΔE = Rh(1/n1^2 - 1/n2^2)

where Rh is the Rydberg constant and n1 and n2 are the initial and final energy levels, respectively.

Plugging in the values for n1 and n2, we get:

ΔE = Rh(1/2^2 - 1/1^2) = 3Rh/4

Substituting this into the first formula, we get:

λ = hc/(3Rh/4)

Plugging in the values for h, c, and Rh, we get:

λ = (3 x 10^-7 m)(2.998 x 10^8 m/s)/(3(1.097 x 10^7 m^-1)/4)

λ = 486.1 nm

Therefore, the emitted radiation has a wavelength of 486.1 nm.

19 g of water at 30° C and 5 g of ice at – 20° C are mixed together in a calorimeter. What is the final temperature of the mixture? Given specific heat of ice = 0.5 cal g–1(°C)–1 and latent heat of fusion of ice = 80 cal g–1
  • a)
    0° C
  • b)
    – 5° C
  • c)
    5° C
  • d)
    10° C
Correct answer is option 'C'. Can you explain this answer?

°C is mixed with 31 g of water at 50°C. What is the final temperature of the mixture?

To solve this problem, we need to use the principle of conservation of energy:

Q1 + Q2 = Q3

where Q1 is the heat absorbed by the first sample of water, Q2 is the heat absorbed by the second sample of water, and Q3 is the heat released by the final mixture.

We can calculate Q1 and Q2 using the specific heat capacity of water:

Q1 = 19 g x 4.18 J/g·°C x (Tf - 30°C)
Q2 = 31 g x 4.18 J/g·°C x (Tf - 50°C)

where Tf is the final temperature of the mixture.

We can simplify these equations by factorizing out the specific heat capacity and solving for Tf:

Q1 = Q2
19 x (Tf - 30) = 31 x (50 - Tf)
19Tf - 570 = 1550 - 31Tf
50Tf = 2120
Tf = 42.4°C

Therefore, the final temperature of the mixture is 42.4°C.

A compound is formed by substitution of two chlorine for two hydrogens in propane. The number of possible isomeric compounds is
  • a)
    4
  • b)
    3
  • c)
    5
  • d)
    2
Correct answer is option 'C'. Can you explain this answer?

Neha Joshi answered
   following isomers of C3H6 Cl2 is possible
        
Due to presence of chiral carbon compound (IV) is optically active and forms an enantiomer. So total no of isomers =5

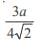
   is a symmetric matrix, then the value of x is
  • a)
    4
  • b)
    3
  • c)
    – 4
  • d)
    – 3
Correct answer is option 'C'. Can you explain this answer?

Since it is a symmetric matrix,
Transpose of A will be equal to A.
This will give eqn 2x+3=x-1.
By solving this eqn , ans will be -4.

An organic compound made of C, H and N contains 20% nitrogen. Its molecular weight is :
  • a)
    70
  • b)
    140
  • c)
    100
  • d)
    65
Correct answer is option 'A'. Can you explain this answer?

Yash Patel answered
Nitrogen at. wt. = 14 in a molecule minimum one atom of N is present
i.e.,    20% ≡ 14             Molecular weight = 70
100% ≡ 14 × 5 = 70

Chapter doubts & questions for Sample Papers - WBJEE Sample Papers, Section Wise & Full Mock Tests 2026 2025 is part of JEE exam preparation. The chapters have been prepared according to the JEE exam syllabus. The Chapter doubts & questions, notes, tests & MCQs are made for JEE 2025 Exam. Find important definitions, questions, notes, meanings, examples, exercises, MCQs and online tests here.

Chapter doubts & questions of Sample Papers - WBJEE Sample Papers, Section Wise & Full Mock Tests 2026 in English & Hindi are available as part of JEE exam. Download more important topics, notes, lectures and mock test series for JEE Exam by signing up for free.

Top Courses JEE

Related JEE Content