All Exams  >   Class 10  >   CBSE Sample Papers For Class 10  >   All Questions

All questions of CBSE Sample Question Papers for 2021-22 for Class 10 Exam

In evening, during family time, Radha observed the dimensions of room. If the length, breadth andheight of a room are 24 m, 18 m and 9 m respectively, then the length of the longest rod that canmeasure the dimensions of the room exactly is :
  • a)
    2
  • b)
    3
  • c)
    4
  • d)
    5
Correct answer is option 'B'. Can you explain this answer?

Rohit Sharma answered
Length = 24 m, breadth = 18 m and height = 9 m
Since, the length of the longest rod is equal to HCF (24, 18, 9), i.e., 24 = 23 × 3
18 = 2 × 32
and 9 = 32
Then, HCF (24, 18 and 9) = 3
Thus, the longest rod that can measure the dimensions of the room exactly = 3 m.

The distance of the point P(– 4, 3) from the origin is:
  • a)
    1 unit
  • b)
    7 units
  • c)
    5 units
  • d)
    6 units
Correct answer is option 'C'. Can you explain this answer?

Mira Sharma answered
Here, two points (–4, 3) and
(0, 0) are given, then
x1 = – 4, y1 = 3 and x2 = 0, y2 = 0
∴ Distance between them

If a piece of wire 30 cm long is bent into the form of an arc of a circle, subtending an angle of 60° at its centre, then radius of the circle is :
a)90 /π cm
b)45 /π cm
c)60 /π cm
d)30 /π cm
Correct answer is option 'A'. Can you explain this answer?

Alisha kapoor answered
Given :
A piece of wire is bent in the form of an arc of a circle, of length: 30 cm
Angle subtended : 60 degree

Solution :
Here,
A wire of 30 cm subtends an angle of 60 degree or π/3 at the center.
Now, if we have another wire long enough to form an entire circle, that circle will subtend an angle of 360 degree or 2π at the center.
So in the second case , the length of arc will be ,
30 cm  =  π/3
x cm   =  2π
Therefore, x = 180 cm

This is now the circumference of the circle,
Therefore , 2πr = 180
or r = 90 / π
 r = 28.6 cm (approx)

Final answer :
Hence, the radius of the circle is 90 / π or 28.6 cm.
You can go through the course for Class 10 Sample Papers of all subjects: 

If a number when divided by 71 gives 37 as quotient and 42 as remainder, then the number is:
  • a)
    2668
  • b)
    2669
  • c)
    2670
  • d)
    2667
Correct answer is option 'B'. Can you explain this answer?

Meera Rana answered
Here, divisor = 71, quotient = 37 and remainder = 42.
∴ Dividend = Divisor × Quotient + Remainder
= (71 × 37) + 42
= 2669.

In the given figure, if PQ = 8 cm and PR = 6 cm, then the radius of the circle is ..... cm, where O is thecentre of circle.
  • a)
    5
  • b)
    6
  • c)
    7
  • d)
    4
Correct answer is option 'A'. Can you explain this answer?

Ashwani Mishra answered
Since ∠P in a semicircle, so
∠P = 90°
∴ In DRPQ, RQ2 = PR2 + PQ2
(Using Pythagoras theorem)
= (6)2 + (8)2
= 100
∴ RQ = 10 cm
∴ Radius = 1/2RQ
= 5 cm

If the polynomial is p(x) = x3 - 3x2 + x + 1, then the value of p(- 3) is:
  • a)
    56
  • b)
    – 56
  • c)
    58
  • d)
    57
Correct answer is option 'B'. Can you explain this answer?

Aditya Shah answered
We have,
p(x) = x3 – 3x2 + x + 1
Then, p(– 3) = (-3)3 – 3(– 3)2 + (– 3)
+ 1
= – 27 – 27 – 3 + 1
= – 56.

The difference of (3 + 2 √3) and (3 − 2 √3) is :
  • a)
    2 √3
  • b)
    3 √3
  • c)
    4 √3
  • d)
    5 √3
Correct answer is option 'C'. Can you explain this answer?

(3 2/3) - (3 - 2/3) = 3 2/3 - 3 2/3= 3 - 3 2/3 2/3 = 4/3 Thus, option (c) is the correct option Note :- I have used '/' as the symbol for root.

The difference of LCM and HCF of 28 and 42 is:
  • a)
    50
  • b)
    60
  • c)
    80
  • d)
    70
Correct answer is option 'D'. Can you explain this answer?

Vp Classes answered
28 = 22 × 7
and 42 = 2 x 3 x 7
∴ HCF (28, 42) = 2 x 7 = 14
and LCM (28, 42) = 22 x 3 x 7 = 84
Now, difference = 84 – 14 = 70.

The zeroes of the quadratic polynomial 3x2 + 2x – 1 = 0 are :
  • a)
    -1 and 1/3
  • b)
    -1 and 2/3
  • c)
    1 and 1/3
  • d)
    1 and 2/3
Correct answer is option 'A'. Can you explain this answer?

Avinash Patel answered
Given, 3x2 + 2x – 1 = 0
⇒ 3x2 + 3x – x – 1 = 0
⇒ 3x(x + 1) – 1 (x + 1) = 0
⇒ (x + 1) (3x – 1) = 0
⇒ x = – 1 and 1/3

If sin A = 1/√2, then the value of tan A + cot A is:
  • a)
    0
  • b)
    1
  • c)
    2
  • d)
    1/2
Correct answer is option 'C'. Can you explain this answer?

Anita Menon answered
∵ sin A = 1/√2,
∴ sin A = sin 45°
⇒ A = 45°
Now, tan A + cot A = tan 45° + cot 45°
= 1 + 1
= 2.

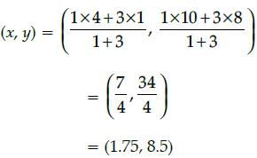
The point   divide the line segment joining the points A(3, 5) and (– 3, – 2) is the ratio:
  • a)
    2 : 3
  • b)
    5 : 2
  • c)
    2 : 5
  • d)
    3 : 2
Correct answer is option 'A'. Can you explain this answer?

Vivek Rana answered
Let the required ratio be k : 1, then the coordinates of P are


⇒ –15k + 15 = 3k + 3 and –10k + 25 = 11k + 11
⇒ –18k = –12 and –21k = –14
⇒ k = 2/3  and k = 2/3
Hence the point P divides AB in the ratio
2 : 3.

If cot (A + B – C) = √3 and cos (B + C – A) = 1/2, then the value of B is :
  • a)
    45°
  • b)
    30°
  • c)
    60°
  • d)
    90°
Correct answer is option 'A'. Can you explain this answer?

Rohit Sharma answered
cot (A + B + C) = √3 = cot 30°
⇒ A + B – C = 30° ...(i)
and cos (B + C – A) = 1/2
⇒ cos (B + C – A)= cos 60°
⇒ B + C – A = 60° ...(ii)
Adding eq. (i) and (ii), we get
2B = 90°
⇒ B = 45°

In a given ABC, DE || BC and AB/DB = 3/5. If AC = 5.6 cm, then AE = .
  • a)
    2.5 cm
  • b)
    2.8 cm
  • c)
    2.1 cm
  • d)
    2.6 cm
Correct answer is option 'C'. Can you explain this answer?

Aditya Shah answered
Let AE = x cm,
then EC = (5.6 – x) cm
and DE || BC   (given)

⇒ 3(5.6 – x) = 5x
⇒ 16.8 – 3x = 5x
⇒ 8x = 16.8
⇒ x = 2.1

Chapter doubts & questions for CBSE Sample Question Papers for 2021-22 - CBSE Sample Papers For Class 10 2025 is part of Class 10 exam preparation. The chapters have been prepared according to the Class 10 exam syllabus. The Chapter doubts & questions, notes, tests & MCQs are made for Class 10 2025 Exam. Find important definitions, questions, notes, meanings, examples, exercises, MCQs and online tests here.

Chapter doubts & questions of CBSE Sample Question Papers for 2021-22 - CBSE Sample Papers For Class 10 in English & Hindi are available as part of Class 10 exam. Download more important topics, notes, lectures and mock test series for Class 10 Exam by signing up for free.

Top Courses Class 10

Related Class 10 Content