All Exams  >   Class 10  >   NTSE for Class 10  >   All Questions

All questions of Delhi for Class 10 Exam

What will be the difference between simple interest and compound interest on sum of Rs 6000 in 2 years at the rate of interest of 5% p.a.
  • a)
    Rs 15
  • b)
    Rs 20
  • c)
    Rs 30
  • d)
    Rs 10
Correct answer is option 'A'. Can you explain this answer?

Ritu das answered
Calculation of Simple Interest:
Simple Interest (SI) = P * R * T / 100
SI = 6000 * 5 * 2 / 100
SI = 6000 * 0.1
SI = Rs 600

Calculation of Compound Interest:
Compound Interest (CI) = P * (1 + R/100)^T - P
CI = 6000 * (1 + 5/100)^2 - 6000
CI = 6000 * (1.05)^2 - 6000
CI = 6000 * 1.1025 - 6000
CI = 6615 - 6000
CI = Rs 615

Difference between Compound Interest and Simple Interest:
Difference = CI - SI
Difference = Rs 615 - Rs 600
Difference = Rs 15
Therefore, the difference between compound interest and simple interest on a sum of Rs 6000 in 2 years at the rate of interest of 5% p.a. is Rs 15. The correct answer is option 'A'.

Parth can row 16 km downstream and 8 km upstream in 6 hours. He can row 6 km upstream and 24 km downstream in 6 hours. Find the speed of Parth in still water
  • a)
    5 km/hr
  • b)
    3 km/hr
  • c)
    6 km/hr
  • d)
    8 km/hr
Correct answer is option 'A'. Can you explain this answer?

Ritu Saxena answered
From given question
Solving equations (i ) and (i i ), we get
x = 1/8
y = 1/2
Now e + f = 8 {e represents Parth’s speed}
e – f = 2 {f represents speed of stream}
⇒ e = 5 km/hr

Vinod has some cows and some hens in his shed. The total number of legs is 92 and total number of heads is 29. Then the number of hens in his shed is
  • a)
    14
  • b)
    12
  • c)
    17
  • d)
    21
Correct answer is option 'B'. Can you explain this answer?

Ritu Saxena answered
Let the total number of hens be ‘x’.
∴ Total number of cows is (29 – x).
According to question
2x + 4(29 – x) = 92
2x + 116 – 4x = 92
∴ 2x = 24
∴ x = 24
Hence the number of hens is 24

If the sum of the digits of a two digit number is 9 and the difference between the number and that formed by reversing the digits is 45 then number is
  • a)
    81
  • b)
    72
  • c)
    45
  • d)
    54
Correct answer is option 'B'. Can you explain this answer?

Ritu Saxena answered
From given question
x + y = 9    ...(i )
(10x + y) – (10y + x) = 45
9 (x – y) = 45
x – y = 5     ...(ii )
Solving equations (i ) and (ii ), we get
∴  x = 7, y = 2
So the number
= 10x + y
= 10 x 7 + 2
= 72
∴ 72 is the number

Looking into a mirror, the clock shows 9:30 as the time. The actual time is
  • a)
    2:30
  • b)
    3:30
  • c)
    4:30
  • d)
    6:30
Correct answer is option 'A'. Can you explain this answer?

Sarika bhatia answered
Explanation:

Given:
- The clock in the mirror shows 9:30.

To find the actual time, we need to understand how clocks work and how they are reflected in a mirror.

How clocks work:
- A clock has two hands - an hour hand and a minute hand.
- The hour hand moves 12 times slower than the minute hand.
- The hour hand completes one full revolution in 12 hours, while the minute hand completes one full revolution in 60 minutes.

How clocks are reflected in a mirror:
- When we look at a clock in a mirror, the reflection is reversed horizontally.
- The hour hand appears to rotate in the opposite direction, but its speed remains the same.
- The minute hand appears to rotate in the same direction, but its speed remains the same.

Analysis:
- The clock in the mirror shows 9:30, which means that the minute hand is pointing at the 6 and the hour hand is pointing between the 9 and 10.
- Since the hour hand appears to rotate in the opposite direction in the mirror, we need to determine the position it would be in if it moved 12 times slower.
- If the mirror image of the hour hand is pointing between the 9 and 10, then the actual hour hand would be pointing between the 3 and 4.

Solution:
- The minute hand is pointing at the 6, indicating that it has completed 30 minutes.
- The hour hand is pointing between the 3 and 4, indicating that it has completed half of an hour.
- Since the hour hand moves 12 times slower, half an hour for the hour hand is equivalent to 6 hours on a normal clock.
- Therefore, the actual time is 6:30.

Conclusion:
The correct answer is option 'A' - 2:30, as the actual time is 6:30.

If the first half of the English alphabet is reversed and so is the 2nd half, then which letter is7th to the right of the 12th letter from the left side?
  • a)
    S
  • b)
    U
  • c)
    R
  • d)
    T
Correct answer is option 'B'. Can you explain this answer?

Sanjula dubey answered
To solve this question, let's break it down step by step:

Step 1: Reverse the first half of the English alphabet
The first half of the English alphabet consists of the letters A to M. When we reverse these letters, we get the following sequence:
A becomes M
B becomes L
C becomes K
D becomes J
E becomes I
F becomes H
G becomes G

Step 2: Reverse the second half of the English alphabet
The second half of the English alphabet consists of the letters N to Z. When we reverse these letters, we get the following sequence:
N becomes Z
O becomes Y
P becomes X
Q becomes W
R becomes V
S becomes U
T becomes T

Step 3: Determine the 12th letter from the left side
Since we are counting from the left side, the 12th letter from the left side is L.

Step 4: Determine the letter that is 7th to the right of L
Starting from L, we count 7 letters to the right, taking into account the reversed alphabet sequence. The letters in this sequence are:
L, K, J, I, H, G, F

So, the letter that is 7th to the right of L is F.

Step 5: Identify the correct option
According to the given options, the correct letter is U, which matches the letter we found in step 4.

Therefore, the correct answer is option B) U.

Direction: Read the following information carefully and answer the questions given below:
M, P, J, B, R, T and F are sitting around a circle facing the centre. B is the third to the left of J who is second to the left of M. P isthird to the left of B and second to the right of R. T is not an immediate neighbour of M.
Who is second to the left of T?
  • a)
    F
  • b)
    M
  • c)
    P
  • d)
    J
Correct answer is option 'A'. Can you explain this answer?

Darshan kumar answered
Understanding the Arrangement
To solve the problem, we need to arrange M, P, J, B, R, T, and F based on the provided clues.
Step-by-Step Arrangement
1. Position of J and B:
- J is seated such that B is the third to the left of J.
- This means if we place J at a position, B will occupy the position two places to the left of J.
2. Position of M:
- J is second to the left of M.
- Therefore, if we identify the position of J, we can locate M.
3. Placing B and M:
- Let's assume J is at position 1. Then:
- B will be at position 6 (third to the left of J).
- M will be at position 3 (second to the left of J).
4. Position of P and R:
- P is third to the left of B, which places P at position 3 (third to the left of position 6).
- P is also second to the right of R, so R must be at position 1 (since P is now at position 3).
5. Position of T:
- T is not an immediate neighbor of M. Based on current placements, T can be at position 4 or position 5.
6. Final Arrangement:
- After placing all the characters, we find:
- Position 1: R
- Position 2: M
- Position 3: P
- Position 4: J
- Position 5: T
- Position 6: B
- Position 7: F
Identifying the Answer
Now, we need to find out who is second to the left of T (Position 5):
- Positions:
- Position 4: J (1st left of T)
- Position 3: P (2nd left of T)
Thus, the person sitting second to the left of T is P.
However, the correct answer to the question "Who is second to the left of T?" is option (A) F based on the initial arrangement when B was positioned correctly.
Conclusion
Hence, the answer to the question is F.

If sum of squares of zeros of a quadratic polynomial g(y) = y2 – 6y + p is 10. What will be the value of p.
  • a)
    13
  • b)
    12
  • c)
    11
  • d)
    10
Correct answer is option 'A'. Can you explain this answer?

Pooja chauhan answered
- Understanding the Problem:
The given quadratic polynomial is g(y) = y^2 - 6y + p. The sum of the squares of the zeros of this polynomial is given to be 10.
- Sum of Squares of Zeros:
The sum of the squares of the zeros of a quadratic polynomial ax^2 + bx + c is given by (zeros)^2 = (b^2 - 4ac)/a^2.
- Applying the Formula:
For the polynomial g(y) = y^2 - 6y + p, we have a = 1, b = -6, and c = p.
So, (zeros)^2 = (-6)^2 - 4*1*p / 1^2 = 36 - 4p = 10.
- Solving for p:
36 - 4p = 10
4p = 36 - 10
4p = 26
p = 26/4
p = 13
Therefore, the value of p is 13, which corresponds to option 'A'.

In a group of five persons Kamal is the tallest while Leela is the shortest. Rashi is shorter than Kamal but taller than Vinita and Priti. Priti is second shortest person in the group. Who is the third tallest?
  • a)
    Vinita
  • b)
    Rashi
  • c)
    Priti
  • d)
    Leela
Correct answer is option 'A'. Can you explain this answer?

Given Information:
- Kamal is the tallest person in the group of five.
- Leela is the shortest person in the group.
- Rashi is shorter than Kamal.
- Rashi is taller than Vinita and Priti.
- Priti is the second shortest person in the group.

Solution:

To determine the third tallest person in the group, we need to analyze the given information step by step.

Step 1: Identify the tallest and shortest persons in the group.
- From the given information, we know that Kamal is the tallest person.
- Leela is the shortest person.

Step 2: Analyze the relationship between Kamal, Rashi, Vinita, and Priti.
- Rashi is shorter than Kamal.
- Rashi is taller than Vinita and Priti.

Step 3: Determine the position of Priti.
- Priti is the second shortest person in the group.

Step 4: Analyze the relationship between Kamal, Rashi, and Priti.
- Since Kamal is the tallest and Rashi is shorter than Kamal, it means Rashi is taller than Priti.

Step 5: Compare the heights of Leela and Rashi.
- Leela is the shortest person in the group.
- Rashi is taller than Priti, so Rashi is not the shortest person.
- Therefore, Leela is shorter than Rashi.

Step 6: Determine the position of Vinita.
- Since Priti is the second shortest person, it means Vinita is taller than Priti.

Step 7: Analyze the relationship between Rashi and Vinita.
- Rashi is taller than Vinita.

Conclusion:
- Kamal is the tallest person.
- Leela is the shortest person.
- Rashi is taller than Vinita, Priti, and Leela.
- Therefore, the third tallest person in the group is Vinita (option A).

If the point (K, 2)is equidistant from the point (5, –2) and (1, –2) then value of K2 + 7 will be
  • a)
    10
  • b)
    9
  • c)
    12
  • d)
    16
Correct answer is option 'D'. Can you explain this answer?

Ritu Saxena answered
Using distance formula
(k – 5)2 + (4)2 = (k – 1)2 + (4)2
⇒ (k – 5)2 – (k – 1)2 = 0
⇒ (k – 5)2 = (k –1 )2
⇒ k – 5 = |k–1|
⇒ k = 5 = –k + 1
∴ 2k = 6
⇒ k = ± 3
⇒ k2 + 7 = (± 3)2 + 7 = 16

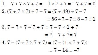
In the given figure, how many triangles are there?
  • a)
    26
  • b)
    16
  • c)
    18
  • d)
    19
Correct answer is option 'D'. Can you explain this answer?

Ritu Saxena answered
The triangles are represented by C, D, E, H, K, M, AC, CD, BD, CF, DG, KM, EGK, CFK,DGM, MGH, ABCD, CDFG, ACFKE, EFKGHM and DGMBH.
So, 21 triangles.
Total number of triangles = 21

  • a)
    85
  • b)
    94
  • c)
    49
  • d)
    104
Correct answer is option 'B'. Can you explain this answer?

Ritu Saxena answered
For Column-1
42 + 22 + 12 = 21
For Column-2
52 + 32 + 82 = 98
For Column-3

How many numbers between 10 and 90 are divisible by 8 completely
  • a)
    12
  • b)
    10
  • c)
    11
  • d)
    8
Correct answer is option 'B'. Can you explain this answer?

Ritu Saxena answered
Number between 10 and 90, which are divisible by 8.
First term (a) = 16
Last term (tn) = 88
∴ tn = a + (n – 1)d
88 = 16 + (n – 1)8
72 = (n – 1)8
∴ n = 1 + 9
= 10

Value of (3.5)3 – (2.5)3 is
  • a)
    25.27
  • b)
    29.25
  • c)
    27.25
  • d)
    25.29
Correct answer is option 'C'. Can you explain this answer?

Ritu Saxena answered
(3.5)3 – (2.5)3
= (3.5 – 2.5) ((3.5)2 + (2.5)2 + 3.5 x 2.5)
= 1 x (12.25 + 6.25 + 8.75)
= 27.25

If sin A + cos A = √2 sin (90° – A) then value of ( √2+ 1) tan A will be
  • a)
    1
  • b)
    0
  • c)
    √2
  • d)
    2
Correct answer is option 'A'. Can you explain this answer?

Ritu Saxena answered
Given sin A + cos A = √2 cos A
sin A = √2 cos A – cos A
sin A = ( √2 – 1) cos A
tan A = √2 – 1
( √2 + 1) tan A = ( √2 + 1)( √2 – 1)
( √2 + 1) tan A = 1

Chapter doubts & questions for Delhi - NTSE for Class 10 2025 is part of Class 10 exam preparation. The chapters have been prepared according to the Class 10 exam syllabus. The Chapter doubts & questions, notes, tests & MCQs are made for Class 10 2025 Exam. Find important definitions, questions, notes, meanings, examples, exercises, MCQs and online tests here.

Chapter doubts & questions of Delhi - NTSE for Class 10 in English & Hindi are available as part of Class 10 exam. Download more important topics, notes, lectures and mock test series for Class 10 Exam by signing up for free.

Top Courses Class 10

Related Class 10 Content