All Exams  >   JEE  >   Chapter-wise Tests for JEE Main & Advanced  >   All Questions

All questions of Binomial Theorem & its Simple Applications for JEE Exam

The middle term in the expansion of (1 – 2x + x2)n is 
  • a)
  • b)
  • c)
  • d)
Correct answer is option 'B'. Can you explain this answer?

Om Desai answered

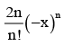
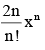
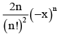
Here 2n is even   integer, therefore,

term  will be the middle term.
Now, ( n + 1)th term in (1-x)2n = 2nCn(1)2n-n(-x)n = 2nCn(-x)n

The number of terms in the expansion of (x – y + 2z)7 are:
  • a)
    35
  • b)
    38
  • c)
    36
  • d)
    37
Correct answer is option 'C'. Can you explain this answer?

Tejas Verma answered
Here the number of terms can be calculated by:
= ((n+ 1) * (n+2)) /2
where, n =7
∴ Number of terms = 36

The sum  equals 
  • a)
    nCr+1
  • b)
    n+1Cr+1
  • c)
    n+1Cr-1
  • d)
    n+1Cr
Correct answer is option 'B'. Can you explain this answer?

C(n, r)  + c(n -1, r)  +  C(n - 2, r) +  . . .   + C(r, r)
= r+1Cr+1  + r+1Cr + r+2Cr + . . .  .  +  n-1Cr + nCr
= n+1Cr+1 (applying same rule again and again)        
(∴ nCr + nCr-1 = n+1Cr)

 If 'a' be the sum of the odd terms & 'b' the sum of the even terms in the expansion of (1+x)n, then (1–x2)n equals
  • a)
    a2 – b2
  • b)
    a2 + b2
  • c)
    b2 – a2
  • d)
    None
Correct answer is option 'A'. Can you explain this answer?

Riya Banerjee answered
Sum of odd terms in the expansion of (1+x)n will be 2(n-1) ....(i)
Now 
(1−x2)n = nC0nC1 x2 + nC2 x4 + ....(−1)n nCn x2n .....(n)
(1+x2)n = nC0 + nC1 x2 + nC2 x4 +... nCn x2n .....(m)
Subtracting n from m, we get 
(1+x2)n − (1−x2)n = 2[nC1 x2 + nC3 x6 + .....]
Now let x=1.
Hence we get 
2n − 0 = 2[nC1 + nC3 + .....]
Or nC1 + nC3x2 + nC5 + ... = 2(n-1)
Hence a = b
Now (1−x2)n
=(1+x)n (1−x)n
→[(a+b)(a−b)]
=a2 − b2.

In the expansion of (a+b)n, nN the number of terms is:
  • a)
    n + 1
  • b)
    n
  • c)
    n – 1
  • d)
    an
Correct answer is option 'A'. Can you explain this answer?

Tanishq Saini answered
Explanation:

Binomial Expansion:
In the expansion of (a+b)^n, where n is a positive integer, the number of terms in the expansion is (n+1).

Proof:
When we expand (a+b)^n using binomial theorem, the general term of the expansion is given by:
T(r+1) = nCr * a^(n-r) * b^r
where r is the index of the term and nCr represents the binomial coefficient.

Number of Terms:
To find the number of terms in the expansion, we need to find the values of r that satisfy 0 ≤ r ≤ n.

Counting the Terms:
- When r = 0, we get the first term: nC0 * a^n * b^0 = a^n
- When r = 1, we get the second term: nC1 * a^(n-1) * b^1
- ...
- When r = n, we get the (n+1)th term: nCn * a^0 * b^n = b^n

Total Number of Terms:
Since we have considered all values of r from 0 to n, there are (n+1) terms in the expansion of (a+b)^n.
Therefore, the correct answer is option A) n + 1.

The expansion of  , in powers of x, is valid if
  • a)
    |x| > 2
  • b)
    x < 2
  • c)
    x > 2
  • d)
    |x| < 2
Correct answer is option 'D'. Can you explain this answer?

Knowledge Hub answered
In case of negative or fractional power, expansion (1+x)^n is valid only when |x| < 1
(6 - 3x)-1/2
= (6-1/2 (1 - x/2)-1/2)
So, this equation exists only when |x/2| < 1
|x| < 2

If n is a +ve integer, then the binomial coefficients equidistant from the beginning and the end in the expansion of (x+a)n are
  • a)
    additive inverse of each other
  • b)
    multiplicative inverse of each other
  • c)
    equal
  • d)
    nothing can be said
Correct answer is option 'C'. Can you explain this answer?

Hansa Sharma answered
(x+a)n = nC0 xn + nC1 x(n-1) a1 + nC2 x(n-2) a2 + ..........+ nC(n-1) xa(n-1) + nCn  an
Now, nC0 = nCn, nC1 = nCn-1,    nC2 = nCn-2,........
therefore, nCr = nCn-r
The binomial coefficients equidistant from the beginning and the end in the expansion of (x+a)n are equal.

The value of 1261/3 upto three decimals is
  • a)
    5.013
  • b)
    5.014
  • c)
    5.012
  • d)
    5.011
Correct answer is option 'A'. Can you explain this answer?

Lavanya Menon answered
(126)11/3
=  (125 + 1)1/3
=  [125 (1 + (1/125))]1/3
=  1251/3(1 + (1/125))1/3         1/125 < 1
= 5 [1 + (1/3)(1/125) + ..........]
= 5 [1 + (1/3)(0.008)]
= 5 [1 + 0.002666]
= 5.013

  • a)
  • b)
  • c)
    610
  • d)
Correct answer is option 'D'. Can you explain this answer?

Om Desai answered
(1- x+2x2)10 = a0+a1x+a2x2 +..a19x19 + a20x20 
Replacing x by-x, (1+x+ 2x2)10 = a- 1x+a2x2...a19x19 +a20x20
Subtracting and putting x = 1, 210 - 410 = 2(a1 +a3 +...+a19)
⇒ 

the coefficient of xn in the expansion of 
  • a)
    n
  • b)
    2n
  • c)
    4n
  • d)
    zero
Correct answer is option 'C'. Can you explain this answer?

Suresh Reddy answered
[(1+x)/(1−x)]2
⇒ (1+x)2(1−x)-2
⇒ (1 + x2 + 2x)[1 + 2x + 3x2 +..... +(n−1)xn-2 + nxn-1 + (n+1)xn +...]
coeff of xn will be given by
(I) When 1 will be multiplied by (n+1)xn
(II) When x2 will be multiplied by (n−1)xn-1
(III) When 2x will be multiplied by nxn-1
∴ coeff. of xn = n + 1 + n − 1 + 2n
= 4n

The coefficient of y in the expansion of (y² + c/y)5 is 
  • a)
    10c 
  • b)
    10c² 
  • c)
    10c³ 
  • d)
    None of these
Correct answer is option 'C'. Can you explain this answer?

Varun Kapoor answered
Given, binomial expression is (y² + c / y)5 
Now, Tr+1 = 5Cr × (y²)5-r × (c / y)r 
= 5Cr × y10-3r × Cr 
Now, 10 – 3r = 1 
⇒ 3r = 9 
⇒ r = 3 
So, the coefficient of y = 5C3 × c³ = 10c³

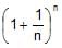
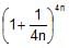
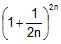
 Let n be a positive integer. Then of the following, the greatest term is
  • a)
     
  • b)
     
  • c)
     
  • d)
     
Correct answer is option 'A'. Can you explain this answer?

Neha Joshi answered
i)(1+1/4n)4n
= (1+1/4)4
= (5/4)4 = 625/256
 
ii)(1+1/3n)3n
= (1+1/3)3
= (4/3)3 = 64/27
 
iii)(1+1/2n)2n
=(1+1/2)2 = (3/2)2
= 6/4 = 3/2
 
iv)(1+1/n)n
 =(1+1)1 = 2

In a Binomial Distribution, if p, q and n are probability of success, failure and number of trials respectively then variance is given by
  • a)
    np
  • b)
    npq
  • c)
    np2q
  • d)
    npq2
Correct answer is option 'B'. Can you explain this answer?

Mehul Chavan answered
For a discrete probability function, the variance is given by

Where µ is the mean, substitute P(x)=nCx px q(n-x) in the above equation and put µ = np to obtain
V = npq

What is the coefficient of x5 in the expansion of (1-x)-6 ?
  • a)
    252
  • b)
    250
  • c)
    -252
  • d)
    251
Correct answer is option 'A'. Can you explain this answer?

Preeti Iyer answered
(1-x)-6 
=> (1-x)(-6/1)
It is in the form of (1-x)(-p/q), p =6, q=1
(1-x)(-p/q) = 1+p/1!(x/q)1 + p(p+q)/2!(x/q)2 + p(p+q)(p+2q)/3!(x/q)3 + p(p+q)(p+2q)(p+3q)/4!(x/q)4........
= 1+6/1!(x/1)1 + 6(7)/2!(x/1)2 + 6(7)(8)/3!(x/1)3 + 6(7)(8)(9)/4!(x/1)4 +.......................
So, coefficient of x5 is (6*7*8*9*10)/120
= 252

 If in the expansion of (1+x)20, the coefficients of rth and (r+4)th terms are equal, then the value of r is equal to:
  • a)
    9
  • b)
    7
  • c)
    10
  • d)
    8
Correct answer is option 'A'. Can you explain this answer?

Raghav Bansal answered
Coefficients of the rth and (r+4)th terms in the given expansion are Cr−120  and 20Cr+3.
Here,Cr−120  = 20Cr+3
⇒ r−1+r+3 = 20 
[∵ if nCnCy  ⇒ x = y or x+y = n]
⇒ r = 2 or 2r = 18
⇒ r = 9  

 What is the general term in the expansion of (2y-4x)44?
  • a)
  • b)
  • c)
  • d)
Correct answer is option 'A'. Can you explain this answer?

Om Desai answered
 n = 44, p = 2y q = -4x
General term of (p+q)n is given by
T(r+1) = nCr . pr . q(n-r)
= 44Cr . (2y)r . (-4x)(44-r)

The coefficient of x4 in the expansion of (1 + x + x2 + x3)n is:
  • a)
    nC4 + nC2
  • b)
    nC4 + nC2+ nC4.nC2
  • c)
    nC4 + nC2+ nC1.nC2
  • d)
    nC4
Correct answer is option 'C'. Can you explain this answer?

Gaurav Kumar answered
x4 can be achieved in the following ways: 
x4 . 1(n-4) . (x2)0 . (x3)0
Hence, coefficient will be  nC4 .
x2 . 1(n-3) . (x2)1 . (x3)0
Hence, coefficient will be 3nC3.
x1 . 1(n-2) . (x2)0 . (x3)1
Hence, coefficient will be 2nC2.
x0 . 1(n-2) .(x2)2 .(x3)0
Hence, coefficient will be nC2 .
Hence, the required coefficient will be 
nC4 + 3nC3 + 3nC2
= nC4 + 3(nC3 + nC2).
= nC4  + 3(n+1C3).
= nC4  + nC2 + nC1 . nC2

Which of the following is divisible by 25:
  • a)
    6n - 5n + 1
  • b)
    6n + 5n
  • c)
    6n - 5n
  • d)
    6n - 5n - 1
Correct answer is option 'D'. Can you explain this answer?

Riya Banerjee answered
we can write (6ⁿ ) = (1 + 5)ⁿ
we know, according to binomial theorem,
(1 + x)ⁿ = 1 + nx + n(n-1)x²/2! + n(n-1)(n-2)x³/3! +.............∞ use this here,
(6)ⁿ = (1 + 5)ⁿ = 1 + 5n + n(n-1)5²/2! + n(n-1)(n-2)5³/3! +...........∞
= 1 + 5n + 5²{ n(n-1)/2! + n(n-1)(n-2)5/3! +.......∞}
Let P = n(n-1)/2! + n(n-1)(n-2)5/3! +.........∞
6ⁿ = 1 + 5n + 25P
6ⁿ - 5n = 1 + 25P -------(1)
but we know, according to Euclid algorithm ,
dividend = divisor × quotient + remainder ---(2)
compare eqn (1) to (2)
we observed that 6ⁿ -5 n always leaves the remainder 1 when divided by 25

The general term in the expansion of (a - b)n is
  • a)
    Tr+1 = (-1)r nCr an-r br
  • b)
    Tr+1nCr an-r br
  • c)
    Tr+1nCr abr
  • d)
    Tr+1 = (-1)r nCr abr
Correct answer is option 'A'. Can you explain this answer?

Poonam Reddy answered
If a and b are real numbers and n is a positive integer, then:
(a - b)n = nC0 an + nC1 a(n – 1) b1 + nC2 a(n – 2) b2+ ...... + nCr a(n – r) br+ ... + nCnbn,
The general term or (r + 1)th term in the expansion is given by:
Tr + 1 = (-1)Cr a(n–r) br

If 2nd, 3rd and 4th terms in the expansion of (x+a)n are 240, 720 and 1080 respectively, then the value of n is
  • a)
    15
  • b)
    20
  • c)
    5
  • d)
    10
Correct answer is option 'C'. Can you explain this answer?

General term Tr+1 of (x+y)n is given by 
Tr+1 = nCr xn-r yr
T2 = nC2 xn-2 y = 240
T3 = nC3 xn-3 y2 = 720
T4 = nC4 xn-4 y3 = 1080
T3/T2 = [(n-1)/2] * [y/x] = 3......(1)
T4/T2 = {[(n-1)(n-2)]/(3*2)} * x2/y2 = 9/2
T4/T3 = [(n-2)/3] * [y/x] = 3/2...(2)
Dividing 1 by 2
[(n-1)/2] * [3/(n-2)] = 2
⇒ 3n−3 = 4n−8
⇒ 5 = n

 n-1Cr = (k2 - 3). nCr + 1 [JEE 2004 (Scr.)]
  • a)
     
  • b)
  • c)
     
  • d)
     
Correct answer is option 'D'. Can you explain this answer?

Rohit Jain answered
(n - 1)!/{r! × (n - 1 - r)!} = (k² - 3) × n!/(r + 1)!(n - r - 1)!
or, (n - 1)!/r! = (k² - 3) × n!/(r + 1)!
or, (n - 1)!/r! = (k² - 3) × n(n - 1)!/(r + 1)r!
or, 1/1 = (k² - 3) × n/(r + 1)
or, (r + 1)/n = (k² - 3)
we know, r and n are integers so, (r + 1)/n  (0, 1]
so, 0 < (r + 1)/n ≤ 1
or, 0 < k² - 3 ≤ 1
or, 3 < k² ≤ 4
or, √3 < k ≤ 2 , -2 ≤ k < -√3
hence, k  (√3, 2]

The coefficient of x3 in the binomial expansion of   
  • a)
    792m5
  • b)
    942m7
  • c)
    330m4
  • d)
    792m6
Correct answer is option 'C'. Can you explain this answer?

Geetika Shah answered
T(r+1) = 11Cr x(11-2r) (m/r)r (-1)r
= 11Cr x(11-2r) mr (-1)r
Coefficient of x3 = 11 - 2r = 3
8 = 2r 
r = 4
T5 = 11C4 x3 m4 (-1)
Coefficient of x3 = 11C4 m4
= 330 m4

The total number of 9 digit numbers which have all different digits is
  • a)
    9.9!
  • b)
    10!
  • c)
    10P9
  • d)
    99
Correct answer is option 'A'. Can you explain this answer?

Geetika Shah answered
Total number of digits =10
 
i.e. 0,1,2,3,4,5,6,7,8,9
 
require 9 diffrent number 
 
0 cant be placed in first place 
 
= first place can be filled in 9 ways 
 
and the rest 9 blank with 9 digits in 9! ways 
 
total ways = 9×9!

Fractional part of 
  • a)
    2/31
  • b)
    4/31
  • c)
    8/31
  • d)
    10/31
Correct answer is option 'C'. Can you explain this answer?

Aryan Khanna answered

= 8(1+31)15 = 8{15C15C131+..+15C15(31)15}
278 = 8 + an integer multiple of 31;

The coefficient of x17 in the expansion of (x- 1) (x- 2) …..(x – 18) is
  • a)
    - 171
  • b)
    342
  • c)
    171/2
  • d)
    684
Correct answer is option 'A'. Can you explain this answer?

The coefficient of x17 is given by 
−1 + (−2) + (−3) + ….. (−18)
= −1 − 2 − 3….. − 18
= − (18(18+1))/2
= − 9(19)
= − 171

In the expansion of (1+x)60, the sum of coefficients of odd powers of x is
  • a)
    261
  • b)
    260
  • c)
    2
    59
  • d)
    none of these.
Correct answer is option 'C'. Can you explain this answer?

Mohit Mittal answered
C is correct as
sum of ( 1+ x )^60 gives 2^60 which includes both even and odd powers of x
so for only one type of power ( odd power) of x we divide 2^ 60 by 2 so we get 2^ 59

The sum of coefficients of (1 + x - 3x2)2134 is
  • a)
    -1
  • b)
    1
  • c)
    0
  • d)
    22134
Correct answer is option 'B'. Can you explain this answer?

Anjana Sharma answered
Sum of coefficients in (1+x−3x^2)^2143
⇒(1+1−3(1)^2)^2143
⇒(−1)^2143 = −1
Hence (A) is the correct answer.

Chapter doubts & questions for Binomial Theorem & its Simple Applications - Chapter-wise Tests for JEE Main & Advanced 2025 is part of JEE exam preparation. The chapters have been prepared according to the JEE exam syllabus. The Chapter doubts & questions, notes, tests & MCQs are made for JEE 2025 Exam. Find important definitions, questions, notes, meanings, examples, exercises, MCQs and online tests here.

Chapter doubts & questions of Binomial Theorem & its Simple Applications - Chapter-wise Tests for JEE Main & Advanced in English & Hindi are available as part of JEE exam. Download more important topics, notes, lectures and mock test series for JEE Exam by signing up for free.

Top Courses JEE

Related JEE Content