All Exams  >   Bank Exams  >   Mock Tests for Banking Exams 2025  >   All Questions

All questions of IBPS Clerk Prelims for Bank Exams Exam

A man rows upstream 16 km and downstream 27 km talking 5 hours each time. What is the velocity of current?
  • a)
    2 km/hr
  • b)
    2.1 km/hr
  • c)
    1.1 km/hr
  • d)
    1.4 km/h
  • e)
    None of these 
Correct answer is option 'C'. Can you explain this answer?

Let's assume the speed of the man in still water is 'x' km/hr and the velocity of the current is 'y' km/hr.

Rowing upstream:
- When rowing upstream, the man's effective speed will be reduced by the velocity of the current.
- So, the effective speed will be (x - y) km/hr.

Rowing downstream:
- When rowing downstream, the man's effective speed will be increased by the velocity of the current.
- So, the effective speed will be (x + y) km/hr.

Given that the man takes 5 hours each time to row upstream and downstream, we can use the formula:

Distance = Speed × Time

For rowing upstream:
16 = (x - y) × 5

For rowing downstream:
27 = (x + y) × 5

Solving the equations:
16 = 5x - 5y
27 = 5x + 5y

Adding the two equations:
16 + 27 = 5x - 5y + 5x + 5y
43 = 10x

Dividing both sides by 10:
x = 4.3

Substituting the value of x in one of the equations:
27 = (4.3 + y) × 5
27 = 21.5 + 5y
5y = 27 - 21.5
5y = 5.5
y = 5.5/5
y = 1.1

Therefore, the velocity of the current is 1.1 km/hr.
Hence, the correct answer is option 'C' (1.1 km/hr).

How many numbers would remain if the numbers which are divisible by 5 and also those having 5 as only one of the digits are dropped from the numbers 35 to 70?
  • a)
     23
  • b)
    21
  • c)
    20
  • d)
    24
  • e)
    None of these
Correct answer is option 'C'. Can you explain this answer?

Anirban Mehta answered
Numbers which are divisible only one digit have '5'
35, 40, 45, 50, 55,60, 65, 70 =8 (51,52 etc are not included because in the condition it is said that the numbers which are divisible by 5 and also those having 5 as only one of the digits)
Rest Numbers = 36 - 8 = 28

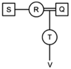
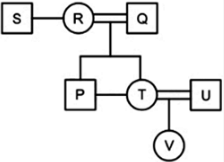
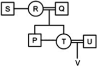
Study the following information carefully and answer the questions given below.
Point M is 12m to the west of point N which is 18m to the north of point O. Point Q is 24m to the north of point P which is 10m to the east of point O. Point R is 5m to the west of point Q. Point T is 15m to the east of point S which is 12m to the south of point R.
Q. If point U is north of point P and east of point S, then what is the shortest distance between Point R and Point U?
  • a)
    17m
  • b)
    29m
  • c)
    20m
  • d)
    13m
  • e)
    None of the above
Correct answer is option 'D'. Can you explain this answer?

Ankit Jain answered
Given information:
- Point M is 12m to the west of point N.
- Point N is 18m to the north of point O.
- Point Q is 24m to the north of point P.
- Point P is 10m to the east of point O.
- Point R is 5m to the west of point Q.
- Point T is 15m to the east of point S.
- Point S is 12m to the south of point R.

To find:
The shortest distance between Point R and Point U.

Analysis:
1. From the given information, we can determine the positions of all the points relative to each other.
2. We need to find the distance between Point R and Point U, so we need to determine the positions of Point U.

Solution:
1. Determine the position of Point U:
- Point U is north of Point P and east of Point S.
- Point P is east of Point O, so Point U will also be east of Point O.
- Point S is south of Point R, so Point U will also be south of Point R.
- Combining these two directions, Point U will be east and south of Point O.

2. Determine the position of Point O:
- Point N is 18m to the north of Point O.
- Point P is 10m to the east of Point O.
- Combining these two directions, Point O will be northeast of Point N.

3. Determine the position of Point U (continued):
- Point U is east and south of Point O.
- Point O is northeast of Point N, so Point U will also be southeast of Point N.

4. Determine the position of Point N:
- Point M is 12m to the west of Point N.
- Combining this information, Point N will be northwest of Point M.

5. Determine the position of Point U (continued):
- Point U is southeast of Point N.
- Point N is northwest of Point M, so Point U will also be south of Point M.

6. Determine the position of Point M:
- Point M is 12m to the west of Point N.
- Combining this information, Point M will be west of Point N.

7. Determine the shortest distance between Point R and Point U:
- Point R is 5m to the west of Point Q.
- Point Q is 24m to the north of Point P.
- Point P is 10m to the east of Point O.
- Point O is northeast of Point N.
- Point N is northwest of Point M.
- Point U is southeast of Point N.
- Point M is west of Point N.

From this information, we can determine the following shortest distance between Point R and Point U:
- From Point R, go north to reach Point Q (24m).
- From Point Q, go north to reach Point P (24m).
- From Point P, go east to reach Point O (10m).
- From Point O, go northeast to reach Point N (18m).
- From Point N, go southeast to reach Point U (18m).

Therefore, the shortest distance between Point R and Point U is 24m + 24m + 10m + 18m + 18m = 94m.

Answer:
The shortest

Chapter doubts & questions for IBPS Clerk Prelims - Mock Tests for Banking Exams 2025 2025 is part of Bank Exams exam preparation. The chapters have been prepared according to the Bank Exams exam syllabus. The Chapter doubts & questions, notes, tests & MCQs are made for Bank Exams 2025 Exam. Find important definitions, questions, notes, meanings, examples, exercises, MCQs and online tests here.

Chapter doubts & questions of IBPS Clerk Prelims - Mock Tests for Banking Exams 2025 in English & Hindi are available as part of Bank Exams exam. Download more important topics, notes, lectures and mock test series for Bank Exams Exam by signing up for free.

Top Courses Bank Exams