All Exams  >   Class 10  >   Olympiad Preparation for Class 10  >   All Questions

All questions of Triangles for Class 10 Exam

An aeroplane leaves an airport and flies due north at a speed of 1000 km per hour. At the same time, another aeroplane leaves the same airport and flies due west at a speed of 1200 km per hour. How far apart will be the two planes after 1(1/2) hours?
  • a)
    300√67 km
  • b)
    400√61 km
  • c)
    200√61 km
  • d)
    300√61 km
Correct answer is option 'D'. Can you explain this answer?

Mehul Mehra answered
Introduction
To determine the distance between the two planes after 1.5 hours, we will use the Pythagorean theorem, as they are flying at right angles to each other (one north and the other west).
Distance Calculations
- Plane 1 (North):
Speed = 1000 km/h
Time = 1.5 hours
Distance = Speed × Time = 1000 × 1.5 = 1500 km
- Plane 2 (West):
Speed = 1200 km/h
Time = 1.5 hours
Distance = Speed × Time = 1200 × 1.5 = 1800 km
Applying the Pythagorean Theorem
To find the distance between the two planes, we treat their paths as two sides of a right triangle:
- North Distance = 1500 km (Plane 1)
- West Distance = 1800 km (Plane 2)
The distance (D) between the two planes can be calculated as follows:
- D = √(North Distance² + West Distance²)
- D = √(1500² + 1800²)
Calculating the Squares
- 1500² = 2250000
- 1800² = 3240000
Now, add these values:
- Total = 2250000 + 3240000 = 5490000
Final Calculation
- D = √5490000
- D = √(1000² × 61) = 1000√61
Thus, the distance between the two planes after 1.5 hours is 300√61 km.
Conclusion
Therefore, the correct answer is option D) 300√61 km.

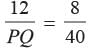
P and Q are points on sides AB and AC respectively of ΔABC. If AP = 3 cm, PB = 6 cm, AQ = 5 cm and QC = 10 cm, then BC =
  • a)
    PQ
  • b)
    2PQ
  • c)
    3PQ
  • d)
    4PQ
Correct answer is option 'C'. Can you explain this answer?

Amar Roy answered
Given Information:
- AP = 3 cm
- PB = 6 cm
- AQ = 5 cm
- QC = 10 cm

Calculation:
- Let's denote BC as x cm.
- By using the segment addition postulate in triangle ABC, we can find the lengths of BP and PC.
- AP + PB = AB
- 3 + 6 = 9 cm
- Since AB = BC, we can substitute BC with 9 cm.
- AQ + QC = AC
- 5 + 10 = 15 cm
- Since AC = AB + BC, we can substitute AB with 9 cm and BC with x cm.
- 9 + x = 15
- x = 6 cm

Conclusion:
- BC = 6 cm
- 3PQ = 3(5) = 15 cm
- Therefore, BC = 3PQ
- Hence, the correct answer is option 'C'.

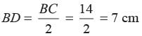
A tree is broken of 6 m from the ground and its top touches the ground at a distance of 8 m from the base of the tree. What is the original height of the tree?
  • a)
    20 m
  • b)
    12 m
  • c)
    16 m
  • d)
    14 m
Correct answer is option 'C'. Can you explain this answer?


A is the point of cleavage C is the point where top of three touches the ground
In ΔABC
AB2 + BC2 = AC2 (Pythagoras’ Theorem)
62 + 82 = AC2
= AC = 10 m
∴ Total (original) height = 10 m + 6 m = 16 m

D and E are points on the sides AB and AC respectively of a DABC such that DE || BC find value of x if AD = (7x - 4) cm, AE = (5x - 2) cm, DB = (3x - 4) cm, EC = 3x cm
  • a)
    11
  • b)
    5
  • c)
    4
  • d)
    2
Correct answer is option 'C'. Can you explain this answer?

∵ DE ║ BE
∴ DADE ~ DABC


⇒ adjusting this expression, we have
⇒ 
⇒ 
⇒ 21x2 -12x = 15x2 − 6x−8 + 20 x
⇒ 6x2 −26x+8 = 0
⇒ 6x2 −24x−2x +8=0
⇒ 6x(x −4)− 2(x −4)= 0

When, 
∴ 

Two isosceles triangles with equal vertical angles have their areas in the ratio 225:289. What is the ratio between corresponding altitudes?
  • a)
    17:15
  • b)
    15:17
  • c)
    15:13
  • d)
    13:15
Correct answer is option 'B'. Can you explain this answer?

Prabhat jha answered
Given:
- Two isosceles triangles with equal vertical angles
- The areas of the triangles are in the ratio 225:289

To find:
- The ratio between corresponding altitudes of the triangles

Explanation:
Let's assume the two triangles are ABC and DEF, where angle BAC = angle EDF and angle ABC = angle DEF.

Step 1:
Let's assume the base of triangle ABC is BC and the base of triangle DEF is EF.
Since the triangles are isosceles, we can assume that BC = EF.

Step 2:
Let's assume the height of triangle ABC is h1 and the height of triangle DEF is h2.
We need to find the ratio h1/h2.

Step 3:
The area of a triangle can be calculated using the formula:
Area = (1/2) * base * height.

Given that the ratio of the areas of the triangles is 225:289, we can write:
(1/2) * BC * h1 / (1/2) * EF * h2 = 225/289

Simplifying the equation, we get:
BC * h1 / EF * h2 = 225/289

Step 4:
Since BC = EF, we can eliminate them from the equation:
h1/h2 = 225/289

Step 5:
To simplify the ratio, we can divide both sides of the equation by the greatest common divisor (GCD) of 225 and 289, which is 17.

(225/17)/(289/17) = 15/17

Therefore, the ratio between the corresponding altitudes of the two triangles is 15:17.

Answer:
The ratio between the corresponding altitudes of the two triangles is 15:17. (Option B)

Two poles of height 9 m and 14 m stand on a plane ground. If the distance between their feet is 12 m, then the distance between their tops is
  • a)
    13 m
  • b)
    12 m
  • c)
    14 m
  • d)
    15 m
Correct answer is option 'A'. Can you explain this answer?

Ritu Saxena answered
Let AB and CD be the heights of given poles, BC be the distance between their feet and AD be the distance between their tops. Since, BCDE is a rectangle.
∴ EB = DC = 9 m and ED = BC = 12 m
AE = AB – EB = 14 m – 9 m = 5m
Now, ΔAED is a right angled triangle
∴ AD2 = AE2 + ED2 [By Pythagoras theorem]
⇒ AD2 = (5)2 + (12)2 = 169 ⇒ AD = 13 m
Hence, the distance between their tops is 13 m.

Which of the following statements is CORRECT?
  • a)
    The ratio of the areas of two similar triangles is equal to the ratio of their corresponding sides.
  • b)
    If a line is drawn parallel to one side of the triangle to intersect the other two sides in distinct points then the other two sides are divided in the same ratio.
  • c)
    All similar figures are congruent.
  • d)
    If in two triangles, two angles of one triangle is equal to the two angles of the other triangle then two triangles may or may not be congruent.
Correct answer is option 'B'. Can you explain this answer?

Sheena mehta answered
Explanation:

Statement a: The ratio of the areas of two similar triangles is equal to the ratio of their corresponding sides.
- This statement is incorrect. The ratio of the areas of two similar triangles is equal to the square of the ratio of their corresponding sides.

Statement b: If a line is drawn parallel to one side of the triangle to intersect the other two sides in distinct points then the other two sides are divided in the same ratio.
- This statement is correct. This property is known as the Basic Proportionality Theorem (BPT) and is used to find unknown sides of similar triangles.

Statement c: All similar figures are congruent.
- This statement is incorrect. Similar figures have the same shape but not necessarily the same size, whereas congruent figures have the same shape and size.

Statement d: If in two triangles, two angles of one triangle is equal to the two angles of the other triangle then two triangles may or may not be congruent.
- This statement is correct. Two triangles with the same angle measures are not necessarily congruent, as the side lengths may differ.

Therefore, option B is the correct statement.

If a tree casts a 18 feet shadow and at the same time, a child of height 3 feet casts a 2 feet shadow, then the height of the tree is
  • a)
    27 feet
  • b)
    32 feet
  • c)
    45 feet
  • d)
    36 feet
Correct answer is option 'A'. Can you explain this answer?

Naveen Gupta answered
Given information:
- Height of the child = 3 feet
- Length of the shadow cast by the child = 2 feet
- Length of the shadow cast by the tree = 18 feet

To find: Height of the tree

The height of the tree can be determined by using the concept of similar triangles. The triangles formed by the child, its shadow, the tree, and its shadow are similar.

Similar triangles have proportional sides, meaning their corresponding sides are in the same ratio.

Using this concept, we can set up a proportion to find the height of the tree.

Let's denote:
- Height of the tree = x feet

Proportion:
(height of the tree) / (length of its shadow) = (height of the child) / (length of its shadow)

x / 18 = 3 / 2

Now, we can cross-multiply and solve for x:

2x = 18 * 3

2x = 54

x = 54 / 2

x = 27

Therefore, the height of the tree is 27 feet.

So, the correct answer is option A) 27 feet.

In a triangle ABC, ∠B = 55°, ∠C = 35° then which of the following option is true?
  • a)
    BC2 = AB2 + AC2
  • b)
    AC2 = AB2 + BC2
  • c)
    AB2 = BC2 + AC2
  • d)
    None of these
Correct answer is option 'A'. Can you explain this answer?

Ritu Saxena answered
∠A = 180° - (∠B + ∠C)
= 180° - (55° + 35°) = 90°
∴ ∠A is 90° or the triangle is right angled at A
∴ AB2 + AC2 = BC2 (pythagoras’ theorem)

In the given figure, AD ⊥ BC, BE ⊥ AC, CF ⊥ AB, then AF2 + BD2 + CE2 =
  • a)
    OA2 + OB2 + OC2
  • b)
    OD2 + OE2 + OF2
  • c)
    AB2 + BC2 + AC2
  • d)
    AE2 + BF2 + CD2
Correct answer is option 'D'. Can you explain this answer?

Vivek Bansal answered
In ΔODB and ΔODC, using pythagoras theorem,
OB2 = OD2 + BD2 and OC2 = OD2 + CD2
∴ OC2 = BD2 – CD2 ...(i)
Similarly, we have
OC2 – OA2 = CE2 – AE2 ...(ii)
And OA2 – OB2 = AF2 – BF2 ...(iii)
Adding (i), (ii) and (iii), we get
BD2 + CE2 + AF2 – CD2 – AE2 – BF2 = 0
⇒ BD2 + CE2 + AF2 = CD2 + AE2 + BF2

In the given figure, ∠ ABC = 90° and BD ⊥ AC . If BD = 8 cm, AD = 4 cm, then CD =
  • a)
    16 cm
  • b)
    14 cm
  • c)
    15 cm
  • d)
    17 cm
Correct answer is option 'A'. Can you explain this answer?

In ΔDBA and ΔDCB, we have
∠BDA = ∠CDB [Each 90°]
and ∠DBA = ∠DCB [Each = 90° – ∠A]
∴ ΔDBA ~ ΔDCB [By AA similarity]

In ΔABC, ∠B = 70°, ∠C = 50° then ∠BAD = ?
  • a)
    40°
  • b)
    30°
  • c)
  • d)
    50°
Correct answer is option 'B'. Can you explain this answer?

Ritu Saxena answered
In ΔABD and ΔACD

By Angle Bisector Theorem
it is given,
and ∠BAC = 180 - 70 - 50
= 180 - 120 = 60°
so, ∠BAD = 

In ΔLMN, P and Q are the mid-points of LM and LN respectively. What is the ratio of the area of ΔLPQ, and ΔLMN?
  • a)
    4:1
  • b)
    1:4
  • c)
    2:3
  • d)
    3:2
Correct answer is option 'B'. Can you explain this answer?

Ritu Saxena answered
∵ P and Q are mid-points of ∠M and ∠N respectively
∠ PQ || MN (according to midpoint theorem) and, also,

where G and H are feets of  perpendicular dropped from L on PQ and MN respectively.

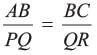
In the given figure in DPQR, ST || QR, so that PS = (7x - 4) cm, PT = (5x - 2) cm, QS = (3x + 4) cm, RT = 3x cm. 
What is the value of x?
  • a)
    4
  • b)
    3
  • c)
    5
  • d)
    2
Correct answer is option 'A'. Can you explain this answer?

In ΔPQR and ΔPST

⇒ According to Thales’ theorem

Subtracting unity from both sides, we have,

⇒ 21x2-12x = 15x2 - 6x + 20x - 8
⇒ 6x2 - 26x + 8 = 0
⇒ 3x2 - 13x + 4 = 0
⇒ 3x2 - 12x - x + 4 = 0
⇒ 3x(x - 4) - 1(x - 4) = 0
⇒ (x - 4) (3x - 1) = 0
∴x = 4

Match the following.
  • a)
    (P)→(1), (Q)→(2), (R)→(3), (S)→(4)
  • b)
    (P)→(2), (Q)→(1), (R)→(3), (S)→(4)
  • c)
    (P)→(4), (Q)→(2), (R)→(1), (S)→(3)
  • d)
    (P)→(3), (Q)→(1), (R)→(4), (S)→(2)
Correct answer is option 'B'. Can you explain this answer?

Ritu Saxena answered

(P) Given : 
∴ ∠A is containing the sides AB and AC and ∠P is containing the sides PQ and PR.
∴ ΔABC ~ ΔPQR (By SAS criteria)
(Q) Given : ∠A = ∠P, ∠B = ∠Q
∴ ΔABC ~ ΔPQR (By AA criteria)

∵ Sides of the ΔABC and ΔPQR are in proportion
∴ ΔABC ~ ΔPQR (By SSS criteria)
(S) Given, DE || BC

In the given figure, ∠BAC = ∠ADC, then CA/CB is
  • a)
    CB × CD
  • b)
    CA2
  • c)
    DC/AC
  • d)
    CD2
Correct answer is option 'C'. Can you explain this answer?

Ritu Saxena answered
In Δ’s ABC and DAC,
∠BAC = ∠ADC (Given)
∠ACB = ∠ACD (Common angle)
∴ ΔABC ~ ΔDAC (By AA similarity)

In the given trapezium ABCD, AB || CD and AB = 2CD. If area of ΔAOB = 84 cm2, then the area of ΔCOD is
  • a)
    22 sq.cm
  • b)
    25 sq.cm
  • c)
    21 sq.cm
  • d)
    24 sq.cm
Correct answer is option 'C'. Can you explain this answer?

In ΔAOB and ΔCOD, we have
∠AOB = ∠COD
[Vertically opposite angles]

∠OAB = ∠OCD [Alternate interior angles]
∴ ΔAOB ~ ΔCOD [By AA similarity]
 [∵ AB = 2CD]

What is the perimeter of a rhombus the length of whose diagonal are 16 cm and 30 cm?
  • a)
    64 cm
  • b)
    68 cm
  • c)
    72 cm
  • d)
    76 cm.
Correct answer is option 'B'. Can you explain this answer?

Let the side of rhombus be x cm. Now, we know that the diagonals of rhombus bisect each other at right angles.
∴ By using Pythagoras’ Theorem

= 64 + 225= 289
⇒ x = 17 cm
∴ Perimeter =  4 × x = 4 × 17 = 68 cm

In rhombus ABCD, AB2 + BC2 + CD2 + DA2 =
  • a)
    OA2 + OB2
  • b)
    OB2 + OC2
  • c)
    OC2 + OD2
  • d)
    AC2 + BD2
Correct answer is option 'D'. Can you explain this answer?

Ritu Saxena answered
Let the length of sides of rhombus be x, length of OC be x1 and length of OD be y1. Then, AB2 + BC2 + CD2 + DA2 = 4x2
Since, AC and DB bisect each other at O.
∴ AC = 2x1 and BD = 2y1
In ΔAOD, ΔDOC, ΔAOB, ΔBOC
4[x21 + y21] = 4x2
⇒ AC2 + BD2 = AB2 + BC2 + CD2 + AD2

P and Q are the mid-points of the sides CA and CB respectively of a DABC, right angled at C, then find :
(i) 4AC2 + BC2 
(ii) 4BC2 + AC2
(iii) 4(AQ2 + BP2)
  • a)
    A
  • b)
    B
  • c)
    C
  • d)
    D
Correct answer is option 'A'. Can you explain this answer?

Ritu Saxena answered
Construction : Join PQ, BP and AQ.
(i) 4AC2 + BC2 = 4AC2 + (2QC)2
[∵ Q is mid-point of BC]
= 4AC2 + 4QC2
= 4(AC2 + QC2)
= 4AQ2 [∵ AQC is right angled triangle]
(ii) 4BC2 + AC2 = 4BC2 + (2CP)2 [∵ P is mid-point of AC]
= 4BC2 + 4CP2 = 4(BC2 + CP2) = 4BP2 [∵ PBC is right angled triangle]
(iii) 4[AC2 + QC2] = 4(AQ)2 [from (i) part]
⇒ 4AC2 + BC2 = 4AQ2 ...(i)
4[BC2 + CP2] = 4(BP)2 [from (ii) part]
⇒ 4BC2 + AC2 = 4BP2 ...(ii)
Now, adding (i) and (ii), we get
4(AQ2 + BP2) = 5(AC2 + BC2) = 5AB2 [∵ ABC is right angled triangle]

In the given figure,the line segment XY is parallel to side AC of ΔABC and it divides the triangle into two parts of equal area. Then, find 

(i) AX : AB (ii) AC/XY
  • a)
    A
  • b)
    B
  • c)
    C
  • d)
    D
Correct answer is option 'B'. Can you explain this answer?

(i) Since, XY || AC, we have
∠A = ∠BXY and ∠C = ∠BYX [Corresponding angles]
∴ ΔABC ~ ΔXBY [By AA similarity]
 ...(i)
But, ar(ΔABC) = 2 × ar(ΔXBY) [Given]
 ...(ii)
From (i) and (ii), we get 


Hence, AX : AB = (2 − √2) : 2
(ii) Since, ΔABC ~ ΔXBY

 

Mason Construction wants to connect two parks on opposite sides of town with a road. Surveyors have laid out a map as shown. The road can be built through the town or around town through point R. The roads intersect at a right angle at point R. The line joining Park A to Park B is parallel to the line joining C and D.

(i) What is the distance between the parks through town?
(ii) What is the distance from Park A to Park B through point R?
  • a)

     
  • b)
  • c)
  • d)
Correct answer is option 'C'. Can you explain this answer?

Ritu Saxena answered
(i) Since, CD || AB [Given]
∴ In ΔRCD and ΔRBA, we have
∠BAR = ∠RDC [Alternate interior angles]
∠ABR = ∠RCD
∴ ΔRCD ~ ΔRBA [By AA similarity]
 ... (i)

i.e., Distance between the parks through town is 8.75 m.
(ii) In right ΔCRD, we have
(CD)2 = (CR)2 + (RD)2
⇒ RD2 = (1.4)2 – (1.2)2 = 0.52 ⇒ RD = 0.72 m
Since ΔRCD ~ ΔRBA


i.e., Distance from Park A to Park B through point R = AR + RB
= 4.5 m + 7.5 m = 12 m

In the given figure, ABC is a right triangle right-angled at B. AD and CE are the two medians drawn from A and C respectively. If AC = 5 cm and AD =  then the length of CE is
  • a)
    4 cm
  • b)
    2√5 cm
  • c)
    3√5 cm
  • d)
    5 cm
Correct answer is option 'B'. Can you explain this answer?

Ritu Saxena answered
Since ΔABD is a right angled triangle
∴ AD2 = AB2 + BD2 [By using Pythagoras theorem]
⇒ AD2 = AB2 + (BC/2)2 [∵ AD is median on BC]
⇒ AD2 = AB2 + (1/4) BC2 ...(i)
Similarly in, ΔBCE
CE2 = BC2 + BE2 ⇒ CE2 = BC2 + (AB/2)[∵ EC is median on AB]
⇒ CE2 = BC2 + (1/4).AB2 ...(ii)
Adding (i) and (ii), we get

A vertical pole 12 m long casts a shadow of 8 m long on the ground. At the same time, a tower casts the shadow 40 m long on the ground. What is the height of the tower?
  • a)
    80 m
  • b)
    20 m
  • c)
    60 m
  • d)
    None of these
Correct answer is option 'C'. Can you explain this answer?

Both Ds are right angled, and also the elevation of coming sunlight will be same.
∴ All the angles of the ΔABC and ΔPQR will be correspondingly identical.
∴ ΔABC ~ ΔPQR
⇒ 
⇒ 
⇒ PQ = 12 × 5 = 60m

In the given ΔABC, AD⊥BC and ∠A is right angled. Then AD2 =
  • a)
    AB × AC
  • b)
    BD × CD
  • c)
    BC × AC
  • d)
    AB × BC
Correct answer is option 'B'. Can you explain this answer?

In Δ's CDA and BAD,
we have
∠BAD = 90° – ∠ABD
∠DAC = 90° – ∠BAD
= 90° – (90° – ∠ABD) = ∠ABD
⇒ ∠DAC = ∠ABD

Now, in Δ's BDA and ADC, we have
∠ABD = ∠CAD
∠BDA = ∠ADC [Each 90°]
∴ ΔBDA ~ ΔADC [By AA similarity]
⇒ 

Chapter doubts & questions for Triangles - Olympiad Preparation for Class 10 2025 is part of Class 10 exam preparation. The chapters have been prepared according to the Class 10 exam syllabus. The Chapter doubts & questions, notes, tests & MCQs are made for Class 10 2025 Exam. Find important definitions, questions, notes, meanings, examples, exercises, MCQs and online tests here.

Chapter doubts & questions of Triangles - Olympiad Preparation for Class 10 in English & Hindi are available as part of Class 10 exam. Download more important topics, notes, lectures and mock test series for Class 10 Exam by signing up for free.

Top Courses Class 10

Related Class 10 Content