| | Aishwarya gupta answered |
| | Vivek Bansal answered |

| | Saanvi choudhary answered |
| | Seema joshi answered |
| | Niharika dasgupta answered |
| | Ritu Saxena answered |

| Neha Sharma answered |
| | Priyanka Kapoor answered |


| | Sarita iyer answered |
| | Smita das answered |
| | Vivek Bansal answered |

| Anoushka Nambiar answered |
| Ashish Choudhary answered |

| | Priyanka Kapoor answered |
| | Priyanka Kapoor answered |



| | Ritu Saxena answered |


| | Ritu Saxena answered |



| | Rohit Sharma answered |

| | Priyanka Kapoor answered |


= 22 × 7 = 154 cm2.
| | Priyanka Kapoor answered |


| | Vivek Bansal answered |

| | Ritu Saxena answered |


| | Priyanka Kapoor answered |


| | Priyanka Kapoor answered |
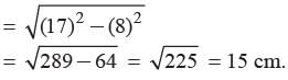
= 15 cm.
| | Ritu Saxena answered |





| | Ritu Saxena answered |




| | Priyanka Kapoor answered |






| | Priyanka Kapoor answered |
∴ ∠AED = ∠CED + ∠AEC| | Priyanka Kapoor answered |


| | Priyanka Kapoor answered |





| | Priyanka Kapoor answered |

| | Ritu Saxena answered |


| | Priyanka Kapoor answered |


| | Ritu Saxena answered |


| | Vivek Bansal answered |
| | Priyanka Kapoor answered |



| | Priyanka Kapoor answered |




| | Priyanka Kapoor answered |

= 24 cm.| | Priyanka Kapoor answered |


| | Ritu Saxena answered |

| | Ritu Saxena answered |

| | Priyanka Kapoor answered |


| Nk Classes answered |





Olympiad Preparation for Class 1070 videos|236 docs|187 tests |
