All Exams  >   JEE  >   Daily Test for JEE Preparation  >   All Questions

All questions of May for JEE Exam

The system of equations
x + y + z = 6;
x + 4y + 6z = 20;
x + 4y + λz = μ
has NO solution for values of λ and μ given by
  • a)
    λ = 6, μ = 20
  • b)
    λ = 6, μ ≠ 20
  • c)
    λ ≠ 6, μ = 20
  • d)
    λ ≠ 6, μ ≠ 20
Correct answer is option 'B'. Can you explain this answer?

The number of solutions can be determined by finding out the rank of the Augmented matrix and the rank of the Coefficient matrix.
  • If rank(Augmented matrix) = rank(Coefficient matrix) = no. of variables then no of solutions = 1.
  • If rank(Augmented matrix)  ≠ rank(Coefficient matrix) then no of solutions = 0.
  • If rank(Augmented matrix) = rank(Coefficient matrix) < no. of variables, no of solutions = infinite.
The augmented matrix for the system of equations is

If λ = 6 and μ ≠ 20 then
Rank (A | B) = 3 and Rank (A) = 2
∵ Rank (A | B) ≠ Rank (A)
∴ Given the system of equations has no solution for λ = 6 and μ ≠ 20

Let M4 = I, (where I denotes the identity matrix) and M ≠ I, M2 ≠ I and M3 ≠ I. Then, for any natural number k, M−1 equals:
  • a)
    M4k + 1
  • b)
    M4k + 2
  • c)
    M4k + 3
  • d)
    M4k
Correct answer is option 'C'. Can you explain this answer?

Ciel Knowledge answered
Let M4 = I      ---(i)
Multiplying by M-1 on both sides
M4 M-1 = I – M-1
M3 = M-1      ---(ii)
Multiplying M4 on both sides in equation (i)
M4⋅ M4 = I ⋅ M4
M8 = M4      ---(iii)
Multiplying M-1 on both sides, we get:
M8 – M-1 = M4 M-1
M7 = M3      ---(iv)
From (ii) and (iv)
M-1 = M3 = M7
Now again multiplying M4 on both sides in equation (iii)
M8⋅ M4 = M4 M4
M12 = M8
M12 = M4 [from (iii)]
M12 = I      ---(v) [from (i)]
Multiplying M-1 on both sides we get
M11 = M-1      ---(vi)
From (ii), (iv) and (vi)
M-1 = M3 = M7 = M11 = …. & So on
3, 7, 11 ….. from general term 4k + 3 where k = 0, 1, 2
Hence, M-1 = M4k + 3
Option C is correct.

The nine numbers x1, x2, x3 ... x9, are in ascending order. Their average m is strictly greater than all the first eight numbers. Which of the following is true?
  • a)
    Average (x1, x2, ... x9, m) > m and Average (x2, x3 ... x9) > m
  • b)
    Average (x1, x2 ... x9, m) < m and Average (x2, x3 ... x9) < m
  • c)
    Average (x1, x2 ... x9, m) = m and Average (x2, x3 ... x9) > m
  • d)
    Average (x1, x2 ... x9, m) < m and Average (x2, x3 ... x9) = m 
Correct answer is option 'C'. Can you explain this answer?

Top Rankers answered
Let's take the example of it
The nine numbers x1, x2, x3 ... x9, are in ascending order
Let  the nine number is 1,1,1,1,1,1,1,1,10
Their Avg will be = 18/9 = 2
Also, this satisfies that their average m is strictly greater than all the first eight numbers. 
now varifing
Average (x1, x2 ... x9, m) = m
Avg[1,1,1,1,1,1,1,1,10,2] will be 20/10 = 2
Which satisfies the given statement
Now checking Average (x2, x3 ... x9) > m
Average (1,1,1,1,1,1,1,10) will 17/8 = 2.12
Which is greater then 2
So it is also satisfied  Average (x2, x3 ... x9) > m
So, Average (x1, x2 ... x9, m) = m and Average (x2, x3 ... x9) > m is the true statement.

For what value of k, the system linear equation has no solution
(3k + 1)x + 3y - 2 = 0
(k2 + 1)x + (k - 2)y - 5 = 0
  • a)
    1
  • b)
    -1
  • c)
    2
  • d)
    6
Correct answer is option 'B'. Can you explain this answer?

Chirag Gupta answered
Explanation:

1. Determining no solution
To find the value of k for which the system of linear equations has no solution, we need to check the determinant of the coefficient matrix.

2. Writing the coefficient matrix
The coefficient matrix of the system is:
\[ \begin{pmatrix} 3k + 1 & 3 \\ k^2 + 1 & k - 2 \end{pmatrix} \]

3. Calculating the determinant
The determinant of the coefficient matrix is given by:
\[ \text{det} = (3k + 1)(k - 2) - 3(k^2 + 1) \]
\[ \text{det} = 3k^2 - 6k + k - 2 - 3k^2 - 3 \]
\[ \text{det} = -8 \]

4. Determining no solution condition
For a system of linear equations to have no solution, the determinant of the coefficient matrix should be non-zero.

5. Solving for k
Setting the determinant to zero:
\[ -8 = 0 \]
This implies that the system has no solution for any value of k.

6. Choosing the correct option
The correct option for the value of k for which the system has no solution is when the determinant is non-zero, which corresponds to option -1 (b).

The set of equations
x + y + z = 1
ax – ay + 3z = 5
5x – 3y + az = 6
has infinite solutions, if a =
  • a)
    -3
  • b)
    3
  • c)
    4
  • d)
    -4
Correct answer is option 'C'. Can you explain this answer?

Non-homogeneous equation of type AX = B has infinite solutions if ρ(A : B) = ρ(A) < Number of unknowns
Given set of equations
x + y + z = 1
ax – ay + 3z = 5
5x – 3y + az = 6

R2 → R2 – aR1 and R3 → R3 – 5R1


a2 – a – 12 = 0
a2 – 4a + 3a – 12 = 0
a(a - 4) + 3(a - 4) = 0
(a - 4)(a + 3) = 0
a = 4, -3
When a = 4, then ρ(A : B) = ρ(A) = 2 < 3
Hence, given system of equations have infinite solutions when a = 4.
Note: here a = -3 we cannot consider because for a = -3  ρ(A : B) ≠  ρ(A) 
Remember the system of equations
AX = B have
(1) Unique solution, if ρ(A : B) = ρ(A) = Number of unknowns.
(2) Infinite many solutions, if ρ(A : B) = ρ(A) <  Number of unknowns
(3) No solution, if ρ(A : B) ≠ ρ(A).

The value of k for which the system of equations.
kx - y = 2
6x - 2y = 3
has a unique solution is
  • a)
    = 3
  • b)
    ≠ 3
  • c)
    ≠ 0
  • d)
    = 0
Correct answer is option 'B'. Can you explain this answer?

EduRev JEE answered
Let consider a standard pair of linear equation such that,

For the pair of linear equations, the condition for the unique solution is,

Given a pair of linear equation is,
kx - y = 2
6x - 2y = 3
These equations can be written as,
⇒ kx - y - 2 = 0
⇒ 6x - 2y - 3 = 0
On comparing it with standard pair of linear equation, we get, 
⇒ a= k, b1 = -1, c= -2
⇒ a2 = 6, b2 = -2, c2 = -3
Using the condition for unique solution,

So, the value of k for which the system of equations has unique solution,
k ≠ 3
Hence, the correct option is 2.

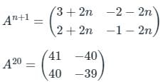
If then A20 equals  
  • a)
  • b)
  • c)
  • d)
Correct answer is option 'B'. Can you explain this answer?

EduRev JEE answered
Multiply and find the pattern.
 
Observing the pattern,

Hence option 2 is correct.

The inverse of  is
  • a)
  • b)
  • c)
  • d)
Correct answer is option 'C'. Can you explain this answer?

Ciel Knowledge answered
Given:

The inverse of matrix (A) = adjoint of A / det(A) 

Calculations:
The inverse of / (Determinant of given matrix)

Hence, The correct option is 3.

The inverse of  is
  • a)
  • b)
  • c)
  • d)
    More than one of the above
Correct answer is option 'C'. Can you explain this answer?

Tarun Kaushik answered
Given: 
The inverse of matrix (A) = adjoint of A / det(A) 

The inverse of 

Hence, The correct option is 3.

If . Then the product of the matrices AB is
  • a)
  • b)
  • c)
  • d)
Correct answer is option 'C'. Can you explain this answer?

The product of two matrices A and B is defined if the number of columns of matrix A is equal to the number of rows of matrix B.

Given: 
The order of the matrix A is 2 × 3 whereas the order of the matrix B is 3 × 3,
Then Product of matrix A and matrix B while be of the order 2 × 3

A set of linear equations is given in the form Ax = b, where A is a 2 × 4 matrix with real number entries and b ≠ 0. Will it be possible to solve for x and obtain a unique solution by multiplying both left and right sides of the equation by AT (the super script T denotes the transpose) and inverting the matrix AT A? Answer is 
  • a)
    Yes, it is always possible to get a unique solution for any 2 × 4 matrix A.
  • b)
    No, it is not possible to get a unique solution for any 2 × 4 matrix A.
  • c)
    Yes, can obtain a unique solution provided the matrix AT A is well conditioned
  • d)
    Yes, can obtain a unique solution provided the matrix A is well conditioned.
Correct answer is option 'B'. Can you explain this answer?

From the properties of a matrix,
The rank of m × n matrix is always ≤ min {m, n}
If the rank of matrix A is ρ(A) and rank of matrix B is ρ(B), then the rank of matrix AB is given by
ρ(AB) ≤ min {ρ(A), ρ(B)}
If n × n matrix is singular, the rank will be less than ≤ n
Given:
AX = B
Where A is 2 × 4 matrices and b ≠ 0
The order of AT is 4 × 2
The order of ATA is 4 × 4
Rank of (A) ≤ min (2, 4) = 2
Rank of (AT) ≤ min (2, 4) = 2
Rank (ATA) ≤ min (2, 2) = 2
As the matrix ATA is of order 4 × 4, to have a unique solution the rank of ATA should be 4.
Therefore, the unique solution of this equation is not possible.

The value of k, for which the following system of linear equations has a non-trivial solution.
x + 2y - 3z = 0
2x + y + z = 0
x - y + kz = 0
  • a)
    4
  • b)
    2
  • c)
    3
  • d)
    -4
Correct answer is option 'A'. Can you explain this answer?

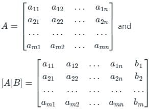
Consider the system of m linear equations
a11 x1 + a12 x2 + … + a1n xn = 0
a21 x1 + a22 x2 + … + a2n xn = 0

am1 x1 + am2 x2 + … + amn xn = 0
The above equations containing the n unknowns x1, x2, …, xn. To determine whether the above system of equations is consistent or not, we need to find the rank of the following matrix.

A is the coefficient matrix of the given system of equations.
  • The system of homogeneous equations has a unique solution (trivial solution) if and only if the determinant of A is non-zero.
  • The system of homogeneous equations has a Non - trivial solution if and only if the determinant of A is zero.
Given:
x + 2y – 3z = 0
2x + y + z = 0
x – y + kz = 0

For non-trivial, solution the determinant should be zero

∴ 1(k + 1) – 2(2k - 1) – 3(-2 - 1) = 0
∴ k + 1 – 4k + 2 + 9 = 0
∴ 12 = 3k
∴ k = 4

If a matrix is given by A =  then the determinant of A-1 is:
  • a)
    3
  • b)
    1/3
  • c)
    1/4
  • d)
    More than one of the above
Correct answer is option 'C'. Can you explain this answer?

Bs Academy answered
Determinant of (A-1) = 
Where, Determinant of A = 1(4 × 1 - 5 × 0) - 2(0 - 0) + 3(0 - 0) = 4
Given:
Determinant of A = 4 
So, Determinant of (A-1) = 

adj.A = Transverse of matrix 
A11 = Aij = (-1)× (cross multiplication of remaining column and row) = (-1)n × 
Where, n = (i + j)
We follow the same procedure for the A11, A12, A13, .......as so on. Also find the determinant of matrix A. Then applies the given formula after that we finally obtain the A-1.

If A is m * n matrix such that AB & BA both are defined, then B is a matrix of order
  • a)
    n * n
  • b)
    m * m
  • c)
    m * n
  • d)
    n * m
Correct answer is option 'D'. Can you explain this answer?

Two matrices Am × n and Bp × q 
if AB and BA are defined then p = n and q = m
Given:
AB and BA are defined.
so the order of the matrix B is Bn × m

A 3 × 3 matrix  is such that, P= P. Then the eigenvalues of P are
  • a)
    1, 2, −1
  • b)
  • c)
  • d)
    0, 1, −1
Correct answer is option 'D'. Can you explain this answer?

Bs Academy answered
CAYLEY-HAMILTON THEOREM:
Statement: Every square matrix satisfies its own characteristic equation.
The Cayley–Hamilton theorem states that substituting the matrix A for x in polynomial, p(x) = det(xIn – A), results in the zero matrices, such as:
p(A) = 0
It states that a ‘n x n’ matrix A is demolished by its characteristic polynomial det(tI – A), which is monic polynomial of degree n.
Uses of Cayley-Hamilton theorem:
(1) To calculate the positive integral powers of A
(2) To calculate the inverse of a square matrix A

Let v1, . . . , v9 be the column vectors of a non-zero 9 × 9 real matrix A. Let a1, . . . , a9 ∈ ℝ, not all zero, be such that   Then the system Ax =  has
  • a)
    no solution
  • b)
    a unique solution
  • c)
    more than one but only finitely many solutions
  • d)
    infinitely many solutions
Correct answer is option 'D'. Can you explain this answer?

EduRev JEE answered
v1, . . . , vn be the column vectors of a non-zero n × n real matrix A. Let a1, . . . , an ∈ ℝ, not all zero, be such that 
that means v1, . . . , vn are Linearly independent.
In the system of equations when the system is L.I. then rank (A) = number of unknowns then it has a unique solution. 
if at least one ���� not equal to zero vector(s) are Linearly dependent. 
In the system of equations when rank of A < n then it has infinitely many solution(s) 
Here, given that ,  where all ���� are not zero Hence vectors are linearly dependent 
When vectors are Linearly independent then in system  rank of A is less than 9 (number of column vectors )
Hence, it has infinitely many solutions.
Therefore, the Correct Option is Option (4).

If the system
2x – y + 3z = 2
x + y + 2z = 2
5x – y + az = b
Has infinitely many solutions, then the values of a and b, respectively, are
  • a)
    – 8 and 6
  • b)
    8 and 6
  • c)
    – 8 and –6
  • d)
    8 and –6
Correct answer is option 'B'. Can you explain this answer?

Bs Academy answered
Consider the system of m linear equations
a11 x1 + a12 x2 + … + a1n xn = b1
a21 x1 + a22 x2 + … + a2n xn = b2

am1 x1 + am2 x2 + … + amn xn = bm
The above equations containing the n unknowns x1, x2, …, xn. To determine whether the above system of equations is consistent or not, we need to find the rank of following matrices.

A is the coefficient matrix and [A|B] is called as augmented matrix of the given system of equations.
We can find the consistency of the given system of equations as follows:
  • If the rank of matrix A is equal to the rank of augmented matrix and it is equal to the number of unknowns, then the system is consistent and there is a unique solution, i.e.
    Rank of A = Rank of augmented matrix = n
  • If the rank of matrix A is equal to the rank of augmented matrix and it is less than the number of unknowns, then the system is consistent and there are an infinite number of solutions.
    Rank of A = Rank of augmented matrix < n
  • If the rank of matrix A is not equal to the rank of the augmented matrix, then the system is inconsistent, and it has no solution.
    Rank of A ≠ Rank of augmented matrix
Calculation:
Given linear system is
2x – y + 3z = 2
x + y + 2z = 2
5x – y + az = b
Then augmented matrix form is written below;

For rank (A) < n = 3
‘a’ must be = 8
For rank [A|B] < 3, b = 6
Therefore a = 8 & b = 6

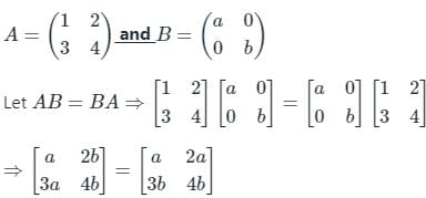
Let A and B be matrices of order 3. Which of the following is true?
  • a)
    (AB)-1 = A-1B-1
  • b)
    (AB)-1 = AB-1
  • c)
    (BA)-1 = B-1
  • d)
    None of the above
Correct answer is option 'D'. Can you explain this answer?

Tarun Kaushik answered
Apply element-wise inversion i.e multiply by the inverse of the same element to make it an identity matrix until the desired objective is reached.
Let (BA)-1 = K
Multiply by the BA on both sides, in the same order
(BA)(BA)-1 = (BA)K
I = BAK   {∵ (A)(A-1) = I}
Multiply B-1 on both the sides
B-1I = B-1BAK
B-1 = AK
Multiply A-1 on both sides
A-1B-1 = A-1AK
A-1B-1 = K
so, (BA)-1 = A-1B-1  {∵ (BA)-1 = K}

If  then (AAT)-1 = ?
  • a)
    I
  • b)
    5I
  • c)
    3I
  • d)
    More than one of the above
Correct answer is option 'A'. Can you explain this answer?

Given matrix 
Now its transpose will be 

The product will be 

⇒ AAT = I;
∴ (AAT)-1 = (I)-1 = I;

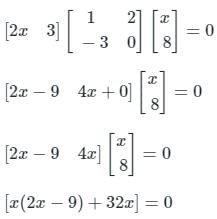
If  value of x is
  • a)
    23/2
  • b)
    13/2
  • c)
    (-13)/2
  • d)
    (-23)/2
Correct answer is option 'D'. Can you explain this answer?

Concept:
If  are two matrices. then

Given:

2x2 - 9x + 32x = 0
2x2 + 23x = 0
x(2x + 23) = 0
⇒ x = 0 or x = - (23/2)

Which of the following is the inverse of the matrix 
  • a)
  • b)
  • c)
  • d)
Correct answer is option 'A'. Can you explain this answer?

Ciel Knowledge answered

The inverse of a matrix:
The inverse of a matrix A is defined by the following formula.

Where, Adj(A) = [cofactor(A)]T
cofactor(A) =


For a 2 × 2 matrix there is a short-cut formula for obtaining the inverse:


Note: Inverse exists only for a non-singular matrix (i.e. 

If 
Then the product of determinant P and Q has the value
  • a)
    50
  • b)
    80
  • c)
    500
  • d)
    600
Correct answer is option 'D'. Can you explain this answer?

Bs Academy answered
Since P and Q are upper triangular matrix, therefore determinant of these matrices are the product of their diagonal elements.
det(��) = 6×1×2=12 
det(��) = 2×5×5=50 
The product of determinant P and Q,
det(P)×det(Q) = 12×50 = 600 
∴ The product of determinant P and Q is 600

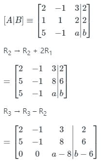
The system of equations
x + y + z = 6;
x + 4y + 6z = 20;
x + 4y + λz = μ
has NO solution for values of λ and μ given by
  • a)
    λ = 6, μ = 20
  • b)
    λ = 6, μ ≠ 20
  • c)
    λ ≠ 6, μ = 20
  • d)
    λ ≠ 6, μ ≠ 20
Correct answer is option 'B'. Can you explain this answer?

The number of solutions can be determined by finding out the rank of the Augmented matrix and the rank of the Coefficient matrix.
  • If rank(Augmented matrix) = rank(Coefficient matrix) = no. of variables then no of solutions = 1.
  • If rank(Augmented matrix)  ≠ rank(Coefficient matrix) then no of solutions = 0.
  • If rank(Augmented matrix) = rank(Coefficient matrix) < no. of variables, no of solutions = infinite.
The augmented matrix for the system of equations is

Performing: R3 → R3 – R2

If λ = 6 and μ ≠ 20 then
Rank (A | B) = 3 and Rank (A) = 2
∵ Rank (A | B) ≠ Rank (A)
∴ Given the system of equations has no solution for λ = 6 and μ ≠ 20

If  then x is equal to
  • a)
    6
  • b)
    -6
  • c)
  • d)
    0
Correct answer is option 'C'. Can you explain this answer?

If  is a square matrix of order 2, then determinant of A is given by:  |A| = (a­11 × a22) – (a12 – a21).

If a system of simultaneous equations has infinite solutions, then that system of equations is called:
  • a)
    Opposite
  • b)
    Unopposite
  • c)
    Dependent
  • d)
    None of these 
Correct answer is option 'C'. Can you explain this answer?

Top Rankers answered
When a system of simultaneous equations has infinite solutions, it's called a "dependent" system of equations.
In such a scenario, the equations are representing the same line or are multiples of each other, leading to an infinite number of solutions where the equations overlap entirely.
Therefore, the correct term for a system with infinite solutions is "dependent."

If a matrix is given by A =  then the determinant of A-1 is:
  • a)
    3
  • b)
    1/3
  • c)
    1/4
  • d)
    4
Correct answer is option 'C'. Can you explain this answer?

Imk Pathsala answered
Determinant of 
Where, Determinant of A = 1(4 × 1 - 5 × 0) - 2(0 - 0) + 3(0 - 0) = 4
Given:
Determinant of A = 4 
So, Determinant of (A-1) = 

adj.A = Transverse of matrix 
A11 = Aij = (-1)× (cross multiplication of remaining column and row) = (-1)n × 
Where, n = (i + j)
We follow the same procedure for the A11, A12, A13, .......as so on. Also find the determinant of matrix A. Then applies the given formula after that we finally obtain the A-1.

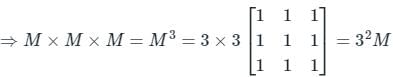
If  then what will the resultant of M50?
  • a)
    349M
  • b)
    0
  • c)
    -1
  • d)
    1
Correct answer is option 'A'. Can you explain this answer?

Top Rankers answered
Since all the entries of the matric are 1 so when it will be multiplied by itself then we will get the pattern in the entries of the resultant matrices.
Given:




Referring to the pattern formed,
∴ ��50 = 349×��.
So, the correct answer is option 1.

Chapter doubts & questions for May - Daily Test for JEE Preparation 2025 is part of JEE exam preparation. The chapters have been prepared according to the JEE exam syllabus. The Chapter doubts & questions, notes, tests & MCQs are made for JEE 2025 Exam. Find important definitions, questions, notes, meanings, examples, exercises, MCQs and online tests here.

Chapter doubts & questions of May - Daily Test for JEE Preparation in English & Hindi are available as part of JEE exam. Download more important topics, notes, lectures and mock test series for JEE Exam by signing up for free.

Top Courses JEE

Related JEE Content