KVS PGT/TGT/PRT Exam  >  KVS PGT/TGT/PRT Tests  >  KVS PRT Mock Test - 1 - KVS PGT/TGT/PRT MCQ

KVS PRT Mock Test - 1 - KVS PGT/TGT/PRT MCQ


Test Description

30 Questions MCQ Test - KVS PRT Mock Test - 1

KVS PRT Mock Test - 1 for KVS PGT/TGT/PRT 2025 is part of KVS PGT/TGT/PRT preparation. The KVS PRT Mock Test - 1 questions and answers have been prepared according to the KVS PGT/TGT/PRT exam syllabus.The KVS PRT Mock Test - 1 MCQs are made for KVS PGT/TGT/PRT 2025 Exam. Find important definitions, questions, notes, meanings, examples, exercises, MCQs and online tests for KVS PRT Mock Test - 1 below.
Solutions of KVS PRT Mock Test - 1 questions in English are available as part of our course for KVS PGT/TGT/PRT & KVS PRT Mock Test - 1 solutions in Hindi for KVS PGT/TGT/PRT course. Download more important topics, notes, lectures and mock test series for KVS PGT/TGT/PRT Exam by signing up for free. Attempt KVS PRT Mock Test - 1 | 180 questions in 180 minutes | Mock test for KVS PGT/TGT/PRT preparation | Free important questions MCQ to study for KVS PGT/TGT/PRT Exam | Download free PDF with solutions
KVS PRT Mock Test - 1 - Question 1

घाट-घाट का पानी पीना का अर्थ है -

KVS PRT Mock Test - 1 - Question 2

Direction: Study the following question carefully and choose the right answer.

If REASON is coded as 5 and BELIEVED as 7, then what is the code for GOVERNMENT?

Detailed Solution for KVS PRT Mock Test - 1 - Question 2

Clearly, each word is coded by the numeral which is 1 less than the number of letters in the word.
Since, there are 10 letters in the word GOVERNMENT, so required = 10 – 1 = 9.
Hence, option C is correct.

KVS PRT Mock Test - 1 - Question 3

Directions to Solve

In each of the following questions find out the alternative which will replace the question mark.

Question -

Poles : Magnet :: ? : Battery

Detailed Solution for KVS PRT Mock Test - 1 - Question 3

As magnet has poles similarly battery has terminals.

KVS PRT Mock Test - 1 - Question 4

Which answer figure will complete the pattern in the following question figure? 

Detailed Solution for KVS PRT Mock Test - 1 - Question 4

For this question, We have to find the missing part of given image. The missing part is similar to other parts of image and can complete the image in a proper way.

Here, The missing part is similar to Option (2).

Hence, Option (2) is correct.

KVS PRT Mock Test - 1 - Question 5

You can group non-contiguous worksheets with

Detailed Solution for KVS PRT Mock Test - 1 - Question 5

To group non-contiguous worksheets in Microsoft Excel, you can use the following method:
1. The Ctrl key and mouse:
- Open Excel and go to the worksheet tab bar at the bottom of the Excel window.
- Hold down the Ctrl key on your keyboard.
- Click on the first worksheet tab that you want to include in the group.
- While holding down the Ctrl key, click on the other worksheet tabs that you want to include in the group. You can select multiple non-contiguous worksheets using this method.
- Release the Ctrl key after selecting all the desired worksheets.
- The selected worksheets will now be grouped together.
Note: When you group non-contiguous worksheets, any actions or changes you make to one worksheet will apply to all the grouped worksheets simultaneously.
It is important to note that the other options mentioned in the question are not the correct methods to group non-contiguous worksheets:
- The group button on the standard toolbar (Option A) is used to group contiguous worksheets, not non-contiguous ones.
- The shift key and the mouse (Option B) is used to select a range of contiguous worksheets, not non-contiguous ones.
- The alt enter key (Option D) is used to insert a line break within a cell, and it is not related to grouping worksheets.
Therefore, the correct answer is Option C: The Ctrl key and mouse.
KVS PRT Mock Test - 1 - Question 6

Which one of the following is a search engine?

Detailed Solution for KVS PRT Mock Test - 1 - Question 6
Search Engine:
- A search engine is a software program that enables users to search for information on the internet by entering keywords or phrases.
- It retrieves and displays a list of relevant websites, documents, or other resources based on the search query.
Options:
A:

Macromedia Flash


- Macromedia Flash is a multimedia software program used for creating and delivering interactive content on the web, such as animations and games.
- It is not a search engine.
B:

Google


- Google is a search engine and is one of the most popular and widely used search engines worldwide.
- It allows users to search for information, images, videos, news, and more.
- Google uses complex algorithms to index and rank web pages, providing users with relevant search results.
C:

Netscape


- Netscape is a web browser that was popular in the early days of the internet.
- It is not a search engine.
D:

Librarians’ Index to the Internet


- Librarians' Index to the Internet is a directory of websites selected and evaluated by librarians.
- While it helps users find reliable and quality websites, it is not a search engine.
Conclusion:
- Among the given options, only Google is a search engine.
- Macromedia Flash, Netscape, and Librarians' Index to the Internet are not search engines but serve different purposes.
KVS PRT Mock Test - 1 - Question 7
Factors affecting growth and development
Detailed Solution for KVS PRT Mock Test - 1 - Question 7

Growth refers to structural and physiological changes whereas Development is a combination of maturation and learning. Development is qualitative and quantitative both.

Key Points The factors affecting growth and development are categorized as Internal and External Factors.

Internal Factors include -

  • Heredity factors - The physical structure, nervous system, and body structure to a great extent is decided by the heredity factors. It is the process by which the features and characteristics are passed from parents to the child before the child is born.
  • Intelligence- The ability to learn, adjust and make the right decision at the right time- has a significant role in the overall growth and development of the child.
  • Emotional Factors- A child who is found to be overwhelmed by negative emotions like fear, anger, jealousy, etc. is adversely affected in his physical, mental, social, moral, and language development.

​​External Factors-The factors lying outside the individual in his/her environment are said to be the external factors influencing his/her growth and development.

External factors include Physical conditions, Social and cultural conditions.

Hence, we conclude that option 4, All the above is correct in the context of the question. 

Additional Information Characteristics of growth and development- 

  • Growth refers to physical changes whereas Development refers to the overall change in the human body.
  • Growth is one part of the development of an individual. 
  • Growth is quantitative i.e., can be measured. It includes factors like height, weight, and length. Development is qualitative i.e., can not be measured. 
  • Growth stops at a particular age but development is continuous throughout the life span.
KVS PRT Mock Test - 1 - Question 8
Cephalo-caudal principal of development states that–
Detailed Solution for KVS PRT Mock Test - 1 - Question 8

Development: The term 'development' refers to a progressive series of changes that occur in an orderly, predictable pattern as a result of maturation and experience.

Key PointsDevelopment is always in a sequence:

  • Every living being followed a pattern of development. A child also develops in an orderly sequence that is almost similar in all children. Each stage of development leads to the next; for instance, all children first learn to sit without support before they learn to stand up.

Cephalocaudal:

  • One of the sequential patterns of development relates to the two directions in which development takes place. Normally, the development of the upper portions of the body precedes the development of the lower portions. This is known as the 'cephalocaudal' or "head to toe" sequence.
  • This means that improvements in the structure and function of a child's body come first in the head region, then in the trunk and last in the leg region. This growth pattern helps to explain why children sit before they can stand and crawl before they can walk. 

Thus, Cephalo – Caudal principle of development states that development proceeds from head to toe.

Additional Information 

  • Secondly, the development moves from the centre line of the body outward towards the distant or peripheral parts referred to as 'proximodistal' or 'near to far'.

Thus, Cephalo – Caudal principle of development states that development proceeds from head to toe.

KVS PRT Mock Test - 1 - Question 9
Socialization of the child is best effected through-
Detailed Solution for KVS PRT Mock Test - 1 - Question 9

Socialization is a process by which an individual becomes a member of society through a mechanism of interaction. Its purpose is to prepare individuals for future roles.​

Key Points

  • Socialization is a process of acquiring values, beliefs, and expectations.
  • Socialization is a process in which a person adapts all the social behavior such as-
    • Adaptation of social values and principles.
    • Adaptation of cultural rituals
    • Adaptation of skills
  • These social behaviors are adapted in order to be accepted by society.
  • Socialization is a combination of personality development and cultural development.
  • Socialization prepares people to participate in a social group by teaching them its norms and expectations.
  • Socialization has three primary goals:
    1. teaching impulse control and developing a conscience,
    2. preparing people to perform certain social roles,
    3. cultivating shared sources of meaning and value.

Hence, the Socialization of the child is best effected through indoctrinating young children in socially acceptable ways of behavior. By doing this we are preparing students to perform and behave in a manner that is socially acceptable.

 

  • exposing young children to the example of socially mature adults: Only giving examples won't affect much because students learn effectively by doing it on their own.
  • providing appropriate direction to a few leaders: All the students should be given opportunities to socialize not only a few leaders. Therefore, it is not suitable way.
  • maintaining a ‘hands off’ policy maturation will take care of socialization: Mere a policy won't help it to make the best socialization.
KVS PRT Mock Test - 1 - Question 10
The knowledge of ________ and the environment is very much essential for a teacher in dealing with all kinds of children.
Detailed Solution for KVS PRT Mock Test - 1 - Question 10

The development of a child is primarily determined by two factors: heredity and environmentHeredity refers to inborn traits and capacities. These inborn capacities are transmitted from parents to the child. The birth of a child is also considered to be a social phenomenon. The child is born at a place among other individuals.

Key Points The family, particularly the socialization practices and parent-child-relationship (i.e. the physical environment) has a great impact on cognitive, language, social, and personality development.

  • A group of theorists, known as Behaviourists (most notably John B. Watson), believe that human development is controlled by these external factors and they totally ignore the significance of hereditary factors. 
  • Both heredity and environment interact (multiply) to influence various aspects of development.
  • The effect of the two is not simple addition (heredity + environment), rather it is multiplication (heredity x environment).
  • A teacher must possess knowledge of heredity and environment both to understand the individual difference in the psychology of children.
  • It is not easy to separate the effects of the two since, dynamic interaction between them is continuous and complex. 

Hence, we conclude that the knowledge of both Heredity & Environment is very much essential for a teacher in dealing with all kinds of children.

KVS PRT Mock Test - 1 - Question 11
A democratic curriculum
Detailed Solution for KVS PRT Mock Test - 1 - Question 11

Promoting a Democratic Environment in school: The school should emphasize the need to establish a democratic school environment. It states that the children should have the opportunity to express their views and they should be given due weight.

Key Points

Characteristics of a democratic classroom:

  • Democratic Values: It provides students with the freedom to have their voice in what they learn and how they learn. Democratic classroom empowers them to become thoughtful human beings who think and reflect critically. In democracy ideals such as freedom, equality, care for fellow citizens, empathy, dignity and the common good find place. In democratic classroom learning goes beyond the classroom.
  • Responsibility of the Teachers: In a democratic classroom, teachers share their responsibility in decision making, provide equality and student-centred education, create an environment for effective communication, give importance to all the students, treat them equally and provide a fair chance to all the students to express their views freely, establish rules and regulation along with students, encourage students to participate, and show love and respect to individuals. It caters individual attitudes and abilities as teachers have to contribute to a democratic atmosphere and to welcome pupil participation in classroom processes. 
  • Role of the Students: In a democratic classroom, students have to say in what they learn, how they learn, and how the classroom functions. The democratic classroom is centred around student choice and self-direction. If a student has the freedom to choose to learn in a way that interests him/her, then he/she will have more meaningful learning.
  • Classroom Environment: Democratic classrooms function as a group. If one of the members has a problem, all of them try to address that problem. The classroom develops group feeling rather than individualistic feeling. Critical thinking is fostered in the classroom. Students are asked to question and evaluate the learning task. They do not blindly accept what is taught to them.

Hence, we conclude that a democratic curriculum ​has variety and flexibility.

KVS PRT Mock Test - 1 - Question 12

Which is a conditioned stimulus in Pavlov's experiment ?

Detailed Solution for KVS PRT Mock Test - 1 - Question 12

Ivan Pavlov, a Russian psychologist has propounded the 'Theory of Classical Conditioningwhich emphasizes that learning as a habit formation is based on the principle of association and substitution.

  • Classical Conditioning Theory explains that the process of learning takes place when a response becomes associated with a new stimulus and this process of a response to a new stimulus is known as conditioning.

Key Points

  • Neutral Stimulus: By virtue of its occurrence in close time and space with a natural stimulus that gives rise to a natural response, becomes capable of eliciting that natural response, even in absence of the natural stimulus.
  • Conditioned Stimulus: When a neutral stimulus is conditioned with an unconditioned stimulus for bringing desired behaviour change, it becomes a conditioned stimulus.

Important Points

Other Concepts related to classical conditioning:

  • Unconditioned stimulus (UCS): The natural stimulus that elicits a natural response. In Pavlov’s experiment, the meat powder was the UCS.
  • Unconditioned response (UCR): The natural response elicited to the natural stimulus. In Pavlov’s experiment, the salivation was the UCR.
  • Conditioned stimulus (CS): The neutral stimulus that does not naturally elicit the target response, but may do so after being associated with the UCS for a number of times. In Pavlov’s experiment, the sound of the bell was the CS.
  • Conditioned response (CR): The target response similar to the UCR that originally occurred to the UCS only, but after conditioning occurred to CS, even in the absence of the UCS. In Pavlov’s experiment, the salivation that occurred in response to the bell was the CR.

Hence, we conclude that the only bell is a conditioned stimulus in Pavlov's experiment. 

KVS PRT Mock Test - 1 - Question 13

The essence of an effective classroom environment is

Detailed Solution for KVS PRT Mock Test - 1 - Question 13

In an effective classroom, students take part in discussions, investigations, and experiments that broaden their knowledge and skills. Whether through whole group discussion, small group work, or independent practice, the majority of learning is student-led.

 Important Point

Characteristics of the effective classroom:

  • Student Engagement:
    • A well-managed classroom will keep the students engaged at all times in the learning process.
    • Students are involved in the learning process, which helps foster higher-level thinking skills in students.
    • Teaching creatively, i.e interesting lessons, activities can be a major factor in student engagement.
  • Clear Expectations: 
    • Expectations such as class objectives are clear in a well-managed classroom.
    • Students know the material they will be tested on, as well as the teacher's expectations for the various assignments they will be graded on.
    • A good way to ensure that students are clear on what the class objectives are is to write the daily tasks on the board at the beginning of each lesson, as well as write any exam dates in a place that students can see regularly.
  • Effective Time Management:
    • The students know which areas in the classroom are accessible to them, as well as where items are placed in the classroom.
  • Positive Environment:
    • A positive classroom environment is one of the main characteristics of a well-managed classroom.
    • Students are comfortable asking the teacher questions, a lively student-teacher interaction is found.
    • The classroom environment is also stress-free to ensure a good workflow and positive environment. 
    • Collaborative and cooperative environments encourage students' mixed abilities.
  • Firm Discipline:
    • Students have clear and firm guidelines on which behaviors are allowed in the classroom to remain disciplined and encourage an efficient workflow.
    • Students should also be given positive reinforcement and praise for appropriate behavior and good work to help encourage them and others in the classroom

Some of the factors like a variety of teaching aids, pin-drop silence, and strict discipline in the class also act as associated factors to make the taching=learning environment better, But, lively student-teacher interaction is the most essential factor for an effective classroom environment.

Thus option 2 is the correct answer.

KVS PRT Mock Test - 1 - Question 14
The main principle/s which need to be kept in mind while planning and organizing the activities in the classroom is/are
Detailed Solution for KVS PRT Mock Test - 1 - Question 14

Like other subjects, the contents of Social Science are organised by connecting what is already known by learners with what is to be taught by teachers. Therefore, the use of continuous and comprehensive evaluation is quite relevant in Social Sciences.

Key Points

Principles while planning activities in the classroom:

  • List dimensions of socio-cultural diversity, including religious and linguistic, among learners;
  • Prepare their profiles based on these dimensions;
  • Appreciate multiple views, on social issues, and democratic forms of interaction among learners.
  • Facilitate open discussion and collective decision making in social science classes;
  • Use local contexts, including stories, songs, festivals, languages, agricultural practices, natural resources, in the teaching-learning process;  
  • Use a socio-cultural background of learners, e.g. religions, social class, the standard of living, parent’s education, as instructional tools;
  • Facilitate social interaction and the plurality of thinking as an effective principle of teaching/learning social sciences.
  • Identify concepts, materials and teaching-learning activities that suit to the developmental stage of the learners ;
  • Design learning activities based on local contexts and resources so as to facilitate concept formation

Thus, it is clear from the above points that all the above-mentioned points are correct.

KVS PRT Mock Test - 1 - Question 15
Which of the following is not a characteristic of social development in adolescence?
Detailed Solution for KVS PRT Mock Test - 1 - Question 15

Adolescence marks an important time in the process of human development, the passage between childhood and adulthood. It is a time of tremendous opportunity and promises when adolescents begin to explore their growing individuality and independence and begin to think critically about themselves and the world around them. 

Key Points In the social sphere, adolescents undergo a lot of changes in their interpersonal relationships and they also begin to understand society and its diverse influences. The dependence on parents noted during childhood gets transformed into dependence on friends and peers. And adolescent starts to develop an attraction towards members of the opposite sex. Adolescents also begin to acquire beliefs, opinions, attitudes, and stereotypes about a society based upon their own understanding.

Characteristics of Adolescents’ Social Development

  • Increased peer group influence:
    • Adolescents spend most of their time outside the home and with members of the peer group, so peers have a greater influence on the attitudes, speeches, interests, appearance, and behaviour of adolescents.
    • Being recognized as a popular member of a peer group is an important adolescent need.
    • Adolescents often get into arguments with their parents and elders since they want to break away from their control.
    • As adolescence progress, peer group influences begin to wane.
  • Changes in social behaviour
    • Attraction towards members of the opposite sex is another prominent characteristic of the adolescent.
    • This is natural and occurs mainly because of the sexual maturity taking place among adolescents.
    • Social activities whether with the same sex or with the opposite reach its peak in the high school years.
    • As a result of broader opportunities for social participation social insight improves among older adolescents.
    • The greater the social participation of adolescents, the greater their social competency, as their social skills and abilities develop. 
  • New social groupings: The gangs of childhood gradually break and the interest in the organized groups controlled by the adults also wanes. They like to be a part of the group control of the group controlled by them.
  • New values in the selection of friends
    • Adolescents no longer select their friends on the basis of ready availability at school or in the neighbourhood, as they did during childhood.
    • Adolescents want as friends those whose interests and values are similar to theirs, who understand them and make them feel secure, and in whom they can confide problems and discuss matters they feel they cannot share with parents or teachers.
  • New values in social acceptance: The values of the adolescents largely depend on the value system of their peer group which is used to judge others. And they often feel that the value that they hold are in conflict with their parents or society at large.
  • New values in the selection of leaders: Adolescents want their leader with some superior abilities and skills because he/ she is representing their group in the eyes of society. Adolescent expects their leaders with certain qualities, like attractive, intelligent, energetic, eager to do things, etc.
  • Influence of media: Media becomes a very powerful source of influence in this stage, especially music and television. These provide adolescents with role models like film heroes, great athletes, etc., whom they try to emulate. Such models help adolescents realize their fantasies and dreams.
  • Body-conscious: Body image becomes a very important concern for adolescents. Having an appropriate figure, in fact, is almost a teenage obsession.
  • In addition, fashion and glamour reflected in the style of dressing, sporting, make-up, having the right hairstyle, etc. become very important in their lives. These are associated with the social roles that adolescents want to develop and to experiment with.

From the above,  we can conclude that a high decrease in friendly relationships is not a characteristic of adolescence.

KVS PRT Mock Test - 1 - Question 16

Which combination best describe the principles of development-

(i) The growth pattern follows a genetic sequence.

(ii) Systems and functions of the organism grow at different rate.

(iii) Unfolding abilities and skills are spontaneously expressed.

(iv) The development is continuous.

Detailed Solution for KVS PRT Mock Test - 1 - Question 16

Development refers to functional or non-organic changes and is usually qualitative in nature (e.g., development of intelligence). It is a life-long process that covers the entire spectrum of human life, whereas organic development (growth) does reach a point of maturity from which no further change is anticipated. 

Key Points

Child development is marked by three interrelated processes. They are differentiation, integration and learning. The integration and differentiation of tissues follow certain principles that have been described below- 

  • The growth pattern follows a genetic sequence.
  • All individuals are different.
  • Systems and functions of the organism grow at a different rate.
  • Unfolding abilities and skills are spontaneously expressed. 
  • Each phase of development has characteristic traits and features.
  • The development is continuous.
  • Individuals develop as a unified whole.

Important Points

Thus from the above-mentioned points, it is clear that statements (i), (ii), (iii), and (iv) are true. 

KVS PRT Mock Test - 1 - Question 17

Children's engagement with learning in schools is influenced by which of the following factors?

(i) Socialisation by the family

(ii) Peer relations

(iii) Cultural values

(iv) Self-esteem of the children

Detailed Solution for KVS PRT Mock Test - 1 - Question 17

Children are always encouraged to concentrate on learning in schools. A lot of effort is dedicated by the teacher and the parents to aid the child in the learning process.

  • Although significant learning occurs through these efforts, a child may not necessarily perform up to his best potential. This may occur due to many factors. A child's mind is highly influenced by his environment. Children are curious to learn new things by observing their environment.

Key Points

Following are the factors that influenced children's engagement with learning in schools:

  • Socialization by the family influences a child's engagement in learning as it creates motivation in the mind of the child about the learning and its benefits. The more the child interacts with the family about learning in a positive manner, the more engagement will be observed in the learning process.
  • Peer relations are those which a child makes outside of his family such as friends and classmates. A good social circle always encourages a person while a negative relation is detrimental or demotivating in nature. If the peer group of the child is motivated then the child will also display interest in learning.
  • Cultural values are significant influencers in the process of learning. A child who is aware of his culture and is motivated to preserve the cultural integrity of the society develops an interest in learning more about the society and thinks about the ways towards the betterment of the society.
  • Self-esteem of the children is an emotion where the child feels self-appreciated and is proud of the work he is doing. Self-esteem significantly influences the learning process as it influences the self-motivation of the learner.

Thus, it is concluded that all the above options are the factors that influenced children's engagement with learning in schools.

KVS PRT Mock Test - 1 - Question 18
Out of the following which one is the subject matter for the study of Gestalt Psychologist?
Detailed Solution for KVS PRT Mock Test - 1 - Question 18

Gestalt is the German word that means shape, form, or whole. It is a psychological term that means unified whole. 

Key Points Gestalt psychology is a school of thought that looks at the human mind and behavior as a whole.

  • The founder of Gestalt psychology is Max Wertheimer.
  • Gestalt Psychologist was interested in looking at the totality of mind and behavior.
  • Organisms perceive entire patterns or configurations, not merely individual components.
  • When trying to make sense of the world around us, Gestalt psychology suggests that we do not simply focus on every small component.
  • When trying to make sense of the world around us.
  • It suggests that we do not simply focus on every small component.

Thus, it is concluded that mental and behavioral processes as a whole are the subject matter for the study of Gestalt Psychologists.

KVS PRT Mock Test - 1 - Question 19

Directions : Each of the following sentences has a blank space and four words are given below it. Select the most appropriate word from the option.

After they _________ lunch, the boys ran outside.

Detailed Solution for KVS PRT Mock Test - 1 - Question 19

The correct answer is: had eaten

Key Points

  • Here, the action had already taken place, i.e. the boys first ate lunch and then ran outside.
  • Thus, the past perfect tense must be used to express action completed in the past.
  • It must be in had + V3 format.
  • Thus, option 2 is correct here.

The correct answer is: After they had eaten lunch, the boys ran outside.

KVS PRT Mock Test - 1 - Question 20

Select the segment of the sentence that contains a grammatical error. If there is no error, mark ‘No error’.

After they had retrieved their luggage, Mr. Samuel instructed a man to carrying it to a white limousine.

Detailed Solution for KVS PRT Mock Test - 1 - Question 20

The erroneous part is option 1) i.e. 'to carrying it to a white limousine.'

Key Points

  • The error lies in the part 'to carrying it to a white limousine.'
  • In the given sentence, the use of the present participle or gerund form of the verb 'carrying' is incorrect.
  • Gerunds are always used after prepositions but the word 'to' in the underlined segment is not acting as a preposition.
  • The word 'to' in the underlined segment is acting as part of the to-infinitive. The to-infinitive is formed as 'to + base form of the verb.'
  • Therefore in the given sentence, we need to use the base form of the verb 'carry' in place of the gerund or present participle form of the verb 'carrying' to make the sentence grammatically correct.
  • Hence, the correct answer is option 1.

Correct sentence: After they had retrieved their luggage, Mr. Samuel instructed a man to carry it to a white limousine.

KVS PRT Mock Test - 1 - Question 21

Change the given sentence into Past Indefinite Tense.

My mom prefers cold weather.

Detailed Solution for KVS PRT Mock Test - 1 - Question 21

The correct answer is - "My mom preferred cold weather."

Key Points

  • The given sentence is in Present Indefinite Tense.
  • The structure of the Past Indefinite Tense is -
    • Structure - Subject + Verb (2nd Form) + Object
      • Eg. He played in the match.
  • Therefore, Option 1 shows the sentence correctly in the Past Indefinite Tense.

Correct Sentence: My mom preferred cold weather.

KVS PRT Mock Test - 1 - Question 22

निम्नलिखित प्रश्न में, चार विकल्पों में से, क्रिया का सही रुप पहचानिये |

स्कूल बस पांच मिनट ______ | (भूतकाल)

Detailed Solution for KVS PRT Mock Test - 1 - Question 22

(पहले चली गई) में स्कूल बस पांच मिनट 'पहले चली गई।' वाक्य सही होगा।

Key Points

KVS PRT Mock Test - 1 - Question 23
'कृतज्ञ' का विलोम है-
Detailed Solution for KVS PRT Mock Test - 1 - Question 23

'कृतज्ञ' का विलोम है- कृतघ्न

  • कृतज्ञता का अर्थ है अपने प्रति की हुई श्रेष्ठ और उत्कृष्ट सहायता के लिए श्रद्धावान होकर दूसरे व्यक्ति के समक्ष सम्मान प्रदर्शन करना।
  • कृतघ्न का अर्थ है किए हुए उपकार को न माननेवाला।

Key Points​अन्य विकल्प

  • कुकृत्य का विलोम सुकृत्य
  • परोपकार का विलोम अपकार
  • कपटी का विलोम निष्कपट

Additional Information

  • विलोमार्थक शब्द/ विलोम: 'विलोम’ शब्द का अर्थ है- उल्टा या विपरीत।
  • अत: किसी शब्द का उल्टा अर्थ व्यक्त करने वाला शब्द विलोमार्थक शब्द कहलाता है।
  • विलोमार्थक शब्दों को विपर्यायवाची, प्रतिलोमार्थक और विलोम शब्द भी कहते हैं।
  • कुछ महत्वपूर्ण विलोम शब्द:-
KVS PRT Mock Test - 1 - Question 24
वह एक अच्छा छात्र है।" वाक्य में पुरुष का भेद बताइए।
Detailed Solution for KVS PRT Mock Test - 1 - Question 24

"वह एक अच्छा छात्र है।" वाक्य में पुरुष का भेद: अन्य पुरुष

  • जिस सर्वनाम का प्रयोग वक्ता किसी तीसरे व्यक्ति के बारे में बताने के लिए करता है। जैसे : यह, वह, ये, वे, आदि।
  • जैसे::वह फुटबॉल बहुत अच्छा खेलता है।​

Important Points

Additional Information

KVS PRT Mock Test - 1 - Question 25
विशेषण से निर्मित भाववाचक संज्ञा है-
Detailed Solution for KVS PRT Mock Test - 1 - Question 25

सही उत्तर 'भव्यता' है।

Key Points

  • 'भव्य' विशेषण से 'भव्यता' भाववाचक संज्ञा का निर्माण हुआ है।
  • विशेषण से निर्मित भाववाचक संज्ञा उसे कहते है जिसमे किसी विशेषता के होने से भाव का होना प्रकट होता हो ।
  • जैसे - कायर से कायरता, गंभीर से गंभीरता

अन्य विकल्प:

अन्य विकल्प भाववाचक संज्ञा है, परन्तु विशेषण से निर्मित नहीं है।

KVS PRT Mock Test - 1 - Question 26
इनमें से बादल का पर्यायवाची शब्द क्या है?
Detailed Solution for KVS PRT Mock Test - 1 - Question 26

सही उत्तर है - ‘नीरद’।

  • बादल का पर्यायवाची शब्द नीरद होगा।

Key Points

  • बादल के अन्य पर्यायवाची शब्द : जलद, अभ्र, मेघ, धर, जलधर, वारिधर आदि।​

अन्य विकल्प:

  • अनिल के पर्यायवाची शब्द : पवमान, प्रभंजन, प्रवात, समीरण, मातरिश्वा, बयार, पवन, वायु, हवा, समीर आदि।
  • नीरज के पर्यायवाची शब्द : कमल, नलिन, उत्पल, अम्भोज, तामरस, पुष्कर, सरोज, जलजात, पुण्डरीक आदि।
  • नीरजा का मतलब कमल का फूल, शुद्ध, एक और देवी लक्ष्मी के लिए नाम होता है।

Additional Informationपर्यायवाची शब्द:

  • वे शब्द जिनका अर्थ एक समान होता हैं पर्यायवाची शब्द कहलाते हैं।
  • पर्यायवाची शब्द को हम समानर्थी शब्द भी कहते है। ‘पर्याय’ का अर्थ है ‘समान’ तथा ‘वाची’ का अर्थ है ‘बोले जाने वाले’ अर्थात
    समान बोले जाने वाले शब्दों को हम पर्यावाची शब्द या समानार्थी शब्द कहते है।

पर्यायवाची शब्द के उदाहरण :

  • गिरि - पहाड़, मेरु, शैल, महीधर, धराधर, भूधर।
  • ख्याल - ध्यान, विचार भाव, सम्मति, मनोवृति।
  • चावल - तंदुल, धान, भात।
  • जंग - लड़ाई, संग्राम, युद्ध।
KVS PRT Mock Test - 1 - Question 27
The greatest number of five digits which is divisible by 13, 15, 18 and 21 is:
Detailed Solution for KVS PRT Mock Test - 1 - Question 27

Given:

Divisors = 13,15, 18, 21

Calculation:

⇒ Factors of 13 = 1 × 13

⇒ Factors of 15 = 3 × 5

⇒ Factors of 18 = 2 × 3 × 3

⇒ Factors of 21 = 3 × 7

⇒ LCM of 13, 15, 18, and 21 = 8190

⇒ Largest five digit number = 99999

⇒ Now, 99999 ÷ 8190 gives Remainder = 1719

⇒ Required number = 99999 – 1719 = 98280

Therefore, the greatest five digits number divisible by 13, 15, 18, and 21 is 98280.

KVS PRT Mock Test - 1 - Question 28

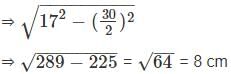
The perpendicular from the center O of the circle bisects the chord EF at G. If EF = 30 cm and the radius of the circle is 17 cm, then find the length of the perpendicular OG.

Detailed Solution for KVS PRT Mock Test - 1 - Question 28

Given:

EF = 30 cm

Radius = 17 cm

Concept:

Pythagorean theorem

h2 = p2 + b2

Where h, p & b be the hypotenuse, perpendicular & base of triangle

Calculation:

Triangle OEG is a right-angle triangle.

EG = FG = OG/2

The distance of chord from center =

∴ The length of the perpendicular OG is 8 cm.

KVS PRT Mock Test - 1 - Question 29
Wadhvana Wetland is located in which state?
Detailed Solution for KVS PRT Mock Test - 1 - Question 29

The correct answer is Gujarat.

Key Points

  • This reservoir was created in 1910 by the previous Baroda State.
  • it's located in a semi-arid agricultural landscape and it is surrounded by wheat and paddy fields and villages.
  • The wetland is internationally important for its birdlife because it provides wintering ground to migratory waterbirds, including over 80 species that migrate on the Central Asian Flyway.
  • Almost 46,000 individual birds were recorded during a mid-winter waterbird census conducted in 2020.
  • The location provides a global example of how a wetland originally created for irrigation has come to serve as an important waterbird habitat and hub for ecotourism and nature education.

Additional Information

  • Gujarat:
    • Chief Minister: Bhupendrabhai Patel (BJP)
    • Governor: Acharya Dev Vrat
    • Legislature: Unicameral (182 seats)
    • Rajya Sabha: 11 Seats
    • Lok Sabha: 26 seats
KVS PRT Mock Test - 1 - Question 30
Arrange in correct descending order of dissolved salt content in sea water?
Detailed Solution for KVS PRT Mock Test - 1 - Question 30

Key Points

Salinity:

  • All waters in nature, whether rainwater or ocean water, contain dissolved mineral salts.
  • Salinity is the term used to define the total content of dissolved salts in seawater.
  • It is calculated as the amount of salt (in gm) dissolved in 1,000 gm (1 kg) of seawater.
  • It is usually expressed as parts per thousand (‰) or ppt.
  • Salinity is an important property of seawater.
  • The main source of Salinity is the dissolution of the rocks of oceanic crust which contains salts
  • The salinity of 24.7ppt (parts per thousand) has been considered as the upper limit to demarcate ‘brackish water'.

Important Points

Dissolved Salts in Sea Water (gm of Salt per kg of Water)

Thus, correct descending order of dissolved salt content in seawater is Chlorine, Sodium, Sulphate, Magnesium, Calcium

View more questions
Information about KVS PRT Mock Test - 1 Page
In this test you can find the Exam questions for KVS PRT Mock Test - 1 solved & explained in the simplest way possible. Besides giving Questions and answers for KVS PRT Mock Test - 1, EduRev gives you an ample number of Online tests for practice
Download as PDF