KVS PGT/TGT/PRT Exam  >  KVS PGT/TGT/PRT Tests  >  KVS PRT Mock Test - 8 - KVS PGT/TGT/PRT MCQ

KVS PRT Mock Test - 8 - KVS PGT/TGT/PRT MCQ


Test Description

30 Questions MCQ Test - KVS PRT Mock Test - 8

KVS PRT Mock Test - 8 for KVS PGT/TGT/PRT 2025 is part of KVS PGT/TGT/PRT preparation. The KVS PRT Mock Test - 8 questions and answers have been prepared according to the KVS PGT/TGT/PRT exam syllabus.The KVS PRT Mock Test - 8 MCQs are made for KVS PGT/TGT/PRT 2025 Exam. Find important definitions, questions, notes, meanings, examples, exercises, MCQs and online tests for KVS PRT Mock Test - 8 below.
Solutions of KVS PRT Mock Test - 8 questions in English are available as part of our course for KVS PGT/TGT/PRT & KVS PRT Mock Test - 8 solutions in Hindi for KVS PGT/TGT/PRT course. Download more important topics, notes, lectures and mock test series for KVS PGT/TGT/PRT Exam by signing up for free. Attempt KVS PRT Mock Test - 8 | 180 questions in 180 minutes | Mock test for KVS PGT/TGT/PRT preparation | Free important questions MCQ to study for KVS PGT/TGT/PRT Exam | Download free PDF with solutions
KVS PRT Mock Test - 8 - Question 1

Select the correct option in order to complete the analogy.

Cup : Lip :: Bird : ?

Detailed Solution for KVS PRT Mock Test - 8 - Question 1

Explanation:

Cup : Lip :: Bird : Beak

The analogy is based on the relationship between the objects and the parts that interact with them. In this case, the relationship is based on the part that comes into contact with or is used to consume something.

- A cup is a container that holds liquid, and the lip is the part of the body that comes into contact with the cup when drinking from it.
- Similarly, a bird is an animal that consumes food, and the beak is the part of its body that comes into contact with the food when eating or picking it up.

Therefore, the correct option to complete the analogy is:
D. Beak

KVS PRT Mock Test - 8 - Question 2

Directions: In each of the following questions, a sentence has been given in Active (or Passive) Voice. Out of the four alternatives suggested, select the one that best expresses the same sentence in Passive/ Active Voice.

You must look into this matter.

Detailed Solution for KVS PRT Mock Test - 8 - Question 2

The given sentence is in Active voice. The 'must' in the given sentence makes use of 'should be' necessary.

KVS PRT Mock Test - 8 - Question 3

Direction: A word in capital letters is followed by four words. Choose the word that is most nearly opposite in meaning to the word given in capital letters.

EQUIVOCAL

Detailed Solution for KVS PRT Mock Test - 8 - Question 3

As we know that ,
Equivocal means doubtful or ambiguous, clear will be opposite to that, Quaint means strangely delightful.
Hence , Clear is antonym word of Equivocal . Option C is correct . 

KVS PRT Mock Test - 8 - Question 4

In which city is the iconic Allianz Arena stadium located?

Detailed Solution for KVS PRT Mock Test - 8 - Question 4

Allianz Arena is located in Munich, Germany. It is a modern and visually striking football stadium, serving as the home venue for FC Bayern Munich and TSV 1860 Munich.

KVS PRT Mock Test - 8 - Question 5

The Charter Act of 1833 made the Governor-General of ______ as the Governor-General of India and vested in him all civil and military powers.

Detailed Solution for KVS PRT Mock Test - 8 - Question 5

The correct answer is Bengal.

  • The Charter Act of 1833 made the Governor-General of Bengal as the Governor-General of India and vested in him all civil and military powers.

Key Points

  • The Charter Act of 1833:
    • The Governor-General and his Council were given vast powers.
    • The Council got full powers regarding revenue, and a single budget for the country was prepared by the Governor-General.
    • For the first time, the Governor-General’s Government was known as the ‘Government of India’ and his Council as the ‘Indian Council’.
    • The Governor-General of Bengal was to be the Governor-General of India.
    • All powers, administrative and financial, were handed over to Governor-General in Council.
    • A Law Commission under Lord Macaulay was constituted for the codification of laws.
KVS PRT Mock Test - 8 - Question 6

In the Global Remote Work Index (GRWI), what is India's ranking among 108 countries?

Detailed Solution for KVS PRT Mock Test - 8 - Question 6

India is ranked 64th out of 108 countries in the GRWI, reflecting a significant decline of 15 places from the previous year. Meanwhile, The top 5 countries which scored the highest on the Global Remote Work Index (GRWI) are Denmark, Netherlands, Germany, Spain and Sweden.

KVS PRT Mock Test - 8 - Question 7

'Flower' is related to 'Bud' in the same way as 'Fruit' is related to:

Detailed Solution for KVS PRT Mock Test - 8 - Question 7

As 'Flower' is made from 'Bud' similarly 'Fruit' is made from 'Flower'.

KVS PRT Mock Test - 8 - Question 8

Cursor is a ______.

Detailed Solution for KVS PRT Mock Test - 8 - Question 8

An input device used to move the pointer (cursor) on screen. The major pointing device is the mouse for the desktop computer and the touchpad for the laptop, although many road warriors bring along a mouse. Pointing sticks are available on some laptops, and a small number of users prefer trackballs over the mouse.

KVS PRT Mock Test - 8 - Question 9

Poor writing skill which consist of poor motor skill and planning is called _____. 

Detailed Solution for KVS PRT Mock Test - 8 - Question 9

Language and speech are said to be disordered or impaired if they differ from what is considered the norm. 
Key Points

The disorders that come under language disorders are Autism, Learning Disability, Specific Language Impairment, Developmental Phonological Disorders Aphasia, Dyspraxia, etc.

  • Dyspraxia is a disorder characterised by impairment in the ability of writing, plan and carries out sensory and motor tasks.
  • Symptoms include poor balance and coordination, clumsiness, vision problems, perception difficulties, emotional and behavioural problems, difficulty with reading, writing, and speaking, poor social skills, poor posture, and poor short-term memory.
  • Dyspraxia is a lifelong disorder. Many individuals are able to compensate for their disabilities through occupational and speech therapy.

​Hence, we can conclude that Poor writing skills which consist of poor motor skills and planning is called Dyspraxia.

KVS PRT Mock Test - 8 - Question 10
What does cognitive development mean?
Detailed Solution for KVS PRT Mock Test - 8 - Question 10

Cognitive development is the construction of thought processes, including remembering, problem-solving, and decision-making, from childhood through adolescence to adulthood. Key Points

  • It was once believed that infants lacked the ability to think or form complex ideas and remained without cognition until they learned the language.
  • It is now known that babies are aware of their surroundings and interested in exploration from the time they are born. From birth, babies begin to actively learn.
  • They gather, sort, and process information from around them, using the data to develop perception and thinking skills.
  • Cognitive development refers to how a person perceives, thinks, and gains an understanding of his or her world through the interaction of genetic and learned factors.
  • Among the areas of cognitive development are information processing, intelligence, reasoning, language development, and memory.
  • All these cognitive abilities help children in developing their aptitude. 

​Hence, we can conclude that option 2 is correct.

KVS PRT Mock Test - 8 - Question 11

Which of these are not principles of child development?

A. Development occurs due to interaction between maturation and experience

B. Experience is the sole determinant of development

C. Development is determined by reinforcement and punishment

D. Development can accurately predict the pace of each individual child

Detailed Solution for KVS PRT Mock Test - 8 - Question 11

Important Points

Child development refers to the psychosocial, physical, and cognitive development of children. It extends from birth to the beginning of adulthood.

  • Physical development of humans involves growth and changes in the brain and the body including sense organs, motor skills, health, etc.
  • Psychosocial development involves changes in personality, social relationships, and emotions.
  • Cognitive development involves changes in memory, language, reasoning, creativity, etc.

Key PointsPrinciples of Child development are:

  • All areas of development are important. Development is a lifelong process.
  • It proceeds at different rates.
  • It is a continuous process. 
  • Development results from maturity and experience.
  • Maturation is a sequence of orderly biological changes in children.
  • Most of the maturation depends on changes in the nervous system and brain.
  • It helps young children to grasp abilities and skills with appropriate experiences.
  • Early experiences have profound effects on development and learning.
  • Development is influenced by both nurture and nature.

Hence we can conclude that development occurs due to interaction between maturation and experience is the only principle of child development. 

KVS PRT Mock Test - 8 - Question 12
Which of the following combination of Teaching Learning Material - Category of Teaching Learning Material is not correct?
Detailed Solution for KVS PRT Mock Test - 8 - Question 12

Any object or material that is used to facilitate learning and teaching can be considered as teaching-learning material (TLM). In other words, any material suitable for use in teaching is invariably a learning material.

Key Points

  • We are familiar with materials specifically prepared for teaching and learning particular subjects or topics. Maps, charts, pictures, models, toys, marbles, coloured sticks, flashcards, number and alphabet cards are examples of some of the most common prepared TLMs known and used by teachers. Standard items like maps, globes, charts, scales, measuring tapes are usually purchased from the market.
  • TLMs is based on the audio and visual effects produced by the materials. Accordingly, there are three types of TLMs: Audio, Visual and Audio-Visual.
    • Audio aids The materials or devices which call upon the auditory senses and thus help the individuals to learn through listening e.g. Radio broadcasts, Cassette and CD player.
    • Visual aids: The aids which call upon the visual senses and thus help the learners to learn through viewing. The important and under this head are Blackboard, Charts, Pictures, Graphs, Models, Film strips, Slides etc.
    • Audio-Visual Aids: The devices which require the auditory as well as visual senses and help the students to learn through listening as well as viewing. Examples of such aids are television, films and computer-assisted instruction.
  • Still another way of categorizing TLMs is based on projected, non- projected or experiential.
    • Projected aids: Movies, epidiascope, the magic lantern, micro-projectors and projection with the overhead projectors, LCD projector are examples of projected aids.
    • Non-Projected aids: Chalkboard, felt board, bulletin board, photographs, posters, maps, charts, globes, specimens, and textbook illustrations, come under non-projected aids.
    • Experiential Aids: Field trips, educational tours, visiting important institutions and industries, observing experiments, demonstrations and natural phenomena are a few examples of experiential aids

 Thus, it can be concluded that micro-projectors - non-projected aids is not teaching-learning material - category of teaching-learning material.

KVS PRT Mock Test - 8 - Question 13
Content executed at pre primary and primary level may include readiness for _____________.
Detailed Solution for KVS PRT Mock Test - 8 - Question 13

The early years are the most significant years for human growth, development and learning of all children including those with special needs due to disability conditions. The all-around capacities that emerge in the 3 to 6 years age group are the prerequisites for later success in school and life.

  • National Council of Educational Research and Training has framed the Preschool curriculum that aim at helping teachers, administrators, policy planners and other stakeholders to provide good quality preschool education to children.
  • Preschool and primary education together come under the elementary level of education.

Key Points School readiness:

  • Before the child enters class 1 i.e. formal schooling, the preparatory school equips him with the appropriate cognitive, pre-literacy and pre-numeracy skills.
  • These skills are critical to succeed in the school environment.
  • These skills that are reading, writing and arithmetic comprise what is referred to as school readiness.
  • Other skills that are desirable to be acquired in some measure before formal schooling begins to include the capacity to be sedentary and pay attention, social interaction, shape and colour identification, correlating alphabets to their sounds, counting numbers etc. 
  • Matching, sorting, labelling, grouping, and pattern-making are some of the pre-academic skills required for children to be ready for the higher school curriculum.

Hence, it can be concluded that content executed at pre-primary and primary levels may include readiness for reading, writing and arithmetic.

KVS PRT Mock Test - 8 - Question 14
What is not correct about modern educational Supervision ?
Detailed Solution for KVS PRT Mock Test - 8 - Question 14

Supervision is a way of stimulating, guiding, improving, refreshing, encouraging, and overseeing certain classrooms with the hope of seeking their cooperation for the supervisors to be successful in their task of supervision. It is a learner-centered method of teaching-learning.

  • Supervision has been defined as a leadership activity which states the cooperative relationship between a leader and one or more persons to accomplish a particular purpose (Lambertson) supervision is a kind of teaching which involves, advising, helping, inspiring leading, and liberating (jean Barrett).
  • Supervision may thus be defined as a two way dynamic and social process. 
  • It is undertaken for the specific purpose of fulfillment of organizational goals.

Important Points

Basic tenets of Supervision can then be described as follows:

  • Supervision is an ongoing process that is invariably interwoven with motivation, performance appraisal, staff development, and leadership.
  • Supervisors are always accountable for the performance of the subordinates under her/his span of control.
  • Supervisors are to help the workers improve, develop, and reinforce knowledge and skills according to their individual learning needs.
  • Supervisors are required to help the workers develop the right attitude.
  • Another essential tenet of supervision includes assisting the workers to perform in the best possible way to yield the best results in terms of realization of the organizational goals.

Hence, we can conclude that supervision is a fault-finding activity is not correct about modern educational Supervision.

KVS PRT Mock Test - 8 - Question 15
While organizing an activity in the classroom for students to have hands-on experience, the role of the teacher is to
Detailed Solution for KVS PRT Mock Test - 8 - Question 15

The teacher is a very important component of the teaching-learning process. The teacher has to play different roles in order to facilitate the learning process and to provide direct and real-life experiences to learners.

  • The student's learning pace or performance level gets highly influenced by the teacher's activities. The teacher aims to develop the holistic personality of a student.
  • The teacher is a facilitator, as his role is to create such an atmosphere of learning where the children can themselves realize their true potential and can construct knowledge.

Key Points

The different roles of a teacher:

While organizing an activity in the classroom for students to have hands-on experience, the role of the teacher is to supervise students and provide guidance wherever required.

Confusion Points  

ask students to carry out the activity strictly as per the instruction given: This will hinder the creativity of the child in the classroom. The child will not be able to construct knowledge on his own if s/he is following the instructions strictly. 

give all the freedom to students to carry out the activity on their own: In this case, the student will not be able to resolve his doubts and misconception without the teacher that will arise during the activity. 

instruct constantly so that students achieve their results without making any mistakes: In this case, the children will not get any space to construct the knowledge and show his/her creativity.

KVS PRT Mock Test - 8 - Question 16

Fill in the blank with an appropriate preposition.

We have been working in this office ________ 2010.

Detailed Solution for KVS PRT Mock Test - 8 - Question 16

The correct answer is option 1) i.e. since.

Explanation

  • Let us explore the options:
    • The preposition 'since' is used with a particular point in time. Since can refer to a point after a specific time or event in the past. Or it can refer to a particular point beginning sometime in the past and continuing until the present time.
    • The preposition 'for' is used to specify a period of time, to talk about an amount of time or space. The amount of time could be seconds, minutes, hours, days, months or even years.
    • The preposition 'at' is used when referring tonight, weekend, used to show an exact or a particular time.
    • The preposition 'in' is used for days, months, years, centuries and period of time.
  • Hence, we can say that 'since' is the correct preposition.

Important Point

  • A preposition is a word governing, and usually preceding, a noun or pronoun and expressing a relation to another word or element in the clause.
  • A preposition of time is a preposition that allows you to discuss a specific time period such as a date on the calendar, one of the days of the week, or the actual time something takes place.
  • Prepositions of time are the same words as prepositions of place, however, they are used in a different way.
KVS PRT Mock Test - 8 - Question 17

Direction: Find out which part of the sentence has an error and select the appropriate option. If a sentence is free from error, select 'No Error'.

William thinks this is not his book, it is somebody's else.

Detailed Solution for KVS PRT Mock Test - 8 - Question 17

The correct answer is -It is somebody's else.
Key Points

  • Use 'somebody else's' in place of 'somebody's else'
  • Because we know that If 'else' is used with anybody/ nobody etc, 'apostrophe' will be used.
    • Let's see some example:
      • I can rely on your words, not somebody else's.
      • I obey your orders and nobody else's.

Hence the correct sentence is- William thinks this is not his book It is somebody else's.
Additional Information

  • 's' is used with anybody, nobody, everybody, somebody, anyone, someone, no one, and everyone.
  • Example: Everyone's concern is no one's concern.

Hinglish

  • 'somebody's else' के स्थान पर 'somebody else's' का उपयोग करें
  • क्योंकि हम जानते हैं कि यदि anybody/ nobody आदि के साथ 'else' का उपयोग किया जाता है , तो 'apostrophe' का उपयोग किया जाएगा।
    • आइए देखें कुछ उदाहरण:
      • I can rely on your words, not somebody else's.
      • I obey your orders and nobody else's.
KVS PRT Mock Test - 8 - Question 18

The following sentence has a word or phrase underlined. Read the sentence carefully and find which part of speech the underlined word belongs to. Indicate your response accordingly.

Penicillin was an extremely significant medical discovery.

Detailed Solution for KVS PRT Mock Test - 8 - Question 18
The correct answer is 'Intensifier'.
Key Points
  • Here, in the given above sentence the underlined part "extremely" is used as an intensifier.
  • As per the general rule, intensifiers are adverbs or adverbial phrases that strengthen the meaning of other expressions and show emphasis.
  • Example:
    • The weather forecast was totally wrong, as usual.
    • She was utterly devastated when her husband died.
  • Here, in the given above examples, 'totally and utterly' can be used as an intensifier.
  • According to the explanation and example that are given above, ‘Intensifier’ is the correct part of speech for the given above sentence.

Additional Information

  • Let's have a look at the definition and example of the other option:
  • Noun- "A noun is a word that names something, such as a person, place, thing, or idea".
    • Example: They didn't fully grasp the enormity of their decision.
  • Adjective- "Adjectives are words that describe the qualities or states of being of nouns".
    • Example: The erudite student graduated at the top of her class.
  • Verb- "Verbs are the action words in a sentence that describe what the subject is doing".
    • Example: Lyndon was exonerated from the accusation of cheating.
KVS PRT Mock Test - 8 - Question 19
'घूंघट' शब्द के उचित पर्यायवाची का चयन करें -
Detailed Solution for KVS PRT Mock Test - 8 - Question 19

'घूंघट' शब्द के उचित पर्यायवाची है - 'अवगुंठन'

  • 'घूंघट' शब्द का अन्य पर्यायवाची है - मुखावरण, पर्दा, नकाब, बुर्का।

Confusion Points

  • किंकर - दास
  • किंकिर - अश्व, कोयल, भौंरा, कामदेव।

Mistake Points

  • बादल - जलद, मेघ, जगजीवन, अंबुद, अंबुधर, अब्र, घटा, घनश्याम
  • किंकिर के अनेकार्थी शब्द - अश्व, कोयल, भौंरा, कामदेव।
  • अलल शब्द अरबी भाषा से लिया गया है।
  • अलल का अर्थ - इधर उधर।

Key Points

  • जो शब्द समान अर्थ के कारण किसी दूसरे शब्द की जगह ले लेते हैं उन्हें पर्यायवाची शब्द कहते है।

Additional Informationकुछ अन्य महत्वपूर्ण पर्यायवाची शब्द:-​

  • उग्र - प्रचण्ड, उत्कट, तेज, महादेव, तीव्र, विकट।
  • कृपा - प्रसाद, करुणा, अनुकम्पा, दया, अनुग्रह।
  • खग - पक्षी, द्विज, अण्डज, शकुनि, पखेरू।
  • आँख - नेत्र, नयन, चक्षु, दृग, लोचन, अक्षि, नजर, दृष्टि, विलोचन।
  • नदी - सरिता, तटिनी, तरंगिणी, निर्झरिणी, आपगा, निम्नगा, कूलंकषा।
  • कपड़ा - वस्त्र, चीर, वसन, अंबर, पट, कर्पट, दुकूल, परिधान।
  • वृक्ष - तरु, द्रुम, पादप, विटप, अगम, पेड़, गाछ।
  • मेघ - घन, जलधर, वारिद, बादल, नीरद, वारिधर, पयोद, अंबुद, पयोधर।
KVS PRT Mock Test - 8 - Question 20
‘बछड़ा’ का अन्य लिंग रूप क्या है?
Detailed Solution for KVS PRT Mock Test - 8 - Question 20

‘बछड़ा’ शब्द पुल्लिंग शब्द है। ‘बछड़ा’ का अर्थ है गाय का बच्चा। इस आधार पर कह सकते हैं कि अतः सही विकल्प बछिया है।

  • गाय अथवा के भैंस के नर सन्तान को बछड़ा कहते है और
  • मादा सन्तान को बछिया।

विशेष

KVS PRT Mock Test - 8 - Question 21

The value of  is 50 x K3, Find the value of K?

Detailed Solution for KVS PRT Mock Test - 8 - Question 21

Given:

Concept used:
Follow the BODMAS rule according to the table given below:

a3 + b3 = (a + b) (a2 - ab + b2)

Calculation:

⇒ 500 x 100 = 50 x K3

⇒ K3 = 1000 = 103

⇒ K = 10

∴ Value of K is 10.

KVS PRT Mock Test - 8 - Question 22
If 21168 = 2a × 3b × 7c, where a, b and c are natural numbers, then the value of (4a - 5b + c) will be:
Detailed Solution for KVS PRT Mock Test - 8 - Question 22

Given:

⇒ 21168 = 2a × 3b × 7c, where a, b and c are natural numbers

Calculation:

Here are the steps for finding the prime factorization:

Begin by dividing the number by the smallest prime number, which is 2. Keep dividing by 2 until you can't divide evenly anymore. For 21168:

21168 / 2 = 10584
10584 / 2 = 5292
5292 / 2 = 2646
2646 / 2 = 1323
1323 is not divisible by 2.

Thus, the power of 2 (a) is 4, because we divided four times by 2.

Move on to the next prime number, 3, and repeat the process:

1323 / 3 = 441
441 / 3 = 147
147 / 3 = 49
49 is not divisible by 3.

Thus, the power of 3 (b) is 3, because we divided three times by 3.

Continue with the next prime, which is 7 as it will divide 49:

49 / 7 = 7
7 / 7 = 1

Thus, the power of 7 (c) is 2, because we divided twice by 7.

So, 24 × 33 × 72 = 2a × 3b × 7c

Here, a = 4, b = 3, & c = 2

(4a - 5b + c) = (4 × 4 - 5 × 3 + 2) = 3

KVS PRT Mock Test - 8 - Question 23
If 1 m2 = x mm2, then the value of x is
Detailed Solution for KVS PRT Mock Test - 8 - Question 23

Calculation:

1 m = 1000 mm

1 m2 = 1 m × 1 m = 1000 mm × 1000 mm = 10,00,000 mm2

∴ 1 m2 = 1,000,000 mm2

KVS PRT Mock Test - 8 - Question 24

Simplify the following expression.

72 − 42 ÷ 6 of 7 × 4 of 3 ÷ 4 × 3 − 5

Detailed Solution for KVS PRT Mock Test - 8 - Question 24

Given:

72 − 42 ÷ 6 of 7 × 4 of 3 ÷ 4 × 3 − 5

Concept Used:

Follow the BODMAS rule according to the table given below:

Calculations:

⇒ 72 − 42 ÷ 6 of 7 × 4 of 3 ÷ 4 × 3 − 5

⇒ 72 − 42 ÷ 42 × 12 ÷ 4 × 3 − 5

⇒ 72 − 1 × 3 × 3 − 5

⇒ 72 − 9 − 5

⇒ 72 − 14

⇒ 58

Hence, The value of above is 58.

KVS PRT Mock Test - 8 - Question 25

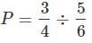
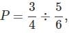
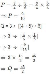
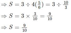
If  Q = 3 ÷ [(4 ÷ 5) ÷ 6], R = [3 ÷ (4 ÷ 5)] ÷ 6 and S = 3 ÷ 4(5 ÷ 6) then

Detailed Solution for KVS PRT Mock Test - 8 - Question 25

Given

Q = 3 ÷  [(4 ÷ 5) ÷ 6]

R = [3 ÷ (4 ÷ 5)] ÷ 6

S = 3 ÷ 4(5 ÷ 6)

Calculation

R = [3 ÷ (4 ÷ 5)] ÷ 6

S = 3 ÷ 4(5 ÷ 6)

∴ P and S are equal.

KVS PRT Mock Test - 8 - Question 26
Which of the following sources of protein is different from others?
Detailed Solution for KVS PRT Mock Test - 8 - Question 26

The correct answer is Cottage cheese (paneer).

Concept:

Nutrients:

  • Nutrients are substances that provide nourishment for the maintenance and growth of life.
  • The major nutrients in our food are named carbohydrates, proteins, fats, vitamins, and minerals.
  • Vitamins and minerals are nutrients that are required in smaller amounts but are still essential.

Explanation:

  • Proteins are the most abundant biomolecules in the living system.
  • Proteins are made up of amino acids that contain the elements carbon, hydrogen, oxygen, and nitrogen.
  • Chief sources of proteins are milk, cheese, pulses, peas, peanuts, fish, meat, etc.
  • They occur in every part of the body and form the fundamental basis of the structure and functions of life.
  • Proteins are needed for the growth and repair of our body.
  • Proteins are often called ‘bodybuilding foods’.
  • Among the given sources of protein, cottage cheese (paneer) is different from the other sources of protein because it is obtained from animals.
  • It is an animal protein and peas, gram and soybeans are proteins obtained from plants.
KVS PRT Mock Test - 8 - Question 27
Paheli moves on a straight road from point A to point C. She takes 20 minutes to cover a certain distance AB and 30 minutes to cover the rest of distance BC. She then turns back and takes 30 minutes to cover the distance CB and 20 minutes to cover the rest of the distance to her starting point. She makes 5 rounds on the road the same way. Paheli concludes that her motion is
Detailed Solution for KVS PRT Mock Test - 8 - Question 27

Concept:

  • Motion is the free movement of a body in relation to time.
  • Motion is the alteration of a body's position or orientation over time.
  • Every single physical process in the universe has the motion of some kind, whether it be quick or slow, but the motion is always present.

Explanation:

Rectilinear and periodic both:

  • Rectilinear motion is the term used to describe an object moving in a straight line.
  • For instance, consider the motion of a train on a track, or a stone falling freely from the top of a structure to the ground.
  • Motion that repeats itself at regular intervals of time is referred to as periodic motion.
  • Typically, the objects' main motion is back and forth.
  • A swinging pendulum, the earth rotating on its axis, ticking clock hands, and other examples of periodic motion.

Thus, Paheli concludes that her motion is rectilinear and periodic both.

Additional InformationOther types of motions are:

KVS PRT Mock Test - 8 - Question 28
The components of air which are harmful to living beings are
Detailed Solution for KVS PRT Mock Test - 8 - Question 28

Concept:

  • A mixture of gases known as air makes up the Earth's atmosphere.
  • 78% nitrogen, 21% oxygen, 1% other gases, and water vapor make up its composition.
  • The composition of the air doesn't change as you pass through the layers of the atmosphere.
  • What changes is the number of molecules.

Explanation:

Dust and smoke:

  • There are significant threats to human health from airborne dust.
  • A significant factor in determining the possible risk to human health is dust particle size.
  • The only organs that can be harmed by particles larger than 10 m are the skin, eyes, and nose, which are frequently irritated, develop conjunctivitis, and the eyes, which are more susceptible to infection.
  • Smaller than 10 nm inhalable particles frequently become lodged in the mouth, nose, and upper respiratory tract, leading to respiratory conditions such as asthma, tracheitis, pneumonia, allergic rhinitis, and silicosis.
  • Finer particles, on the other hand, have the potential to pass through the lower respiratory tract and reach the bloodstream, where they can impact all internal organs and cause cardiovascular diseases.
  • Smoke exposure can result in runny noses, coughs, aching eyes, and tears.
  • Smoke that lasts for days or even weeks or that is very heavy might harm the lungs and prolong a cough.
  • Smoke exposure can exacerbate lung and heart diseases.

Thus, the components of air that are harmful to living beings are dust and smoke.

KVS PRT Mock Test - 8 - Question 29
The process of loosening and turning of soil is called
Detailed Solution for KVS PRT Mock Test - 8 - Question 29

Concept:

Soil:

  • The mixture of organic matter, gases, minerals, liquids, and living things makes up the soil.
  • It is also referred to as earth or dirt and it supports life.

Explanation:

  • In order to pull weeds and aerate the soil, ploughing entails breaking, loosening, and turning the soil.
  • Tilling is another name for it.
  • Most often accomplished with the aid of a wooden or iron plough.
  • For crop cultivation, it is the first step in soil preparation.

Thus, the process of loosening and turning of soil is called tilling and ploughing.

Additional InformationIrrigation and manuring:

  • The crop receives water during irrigation.
  • The agricultural practice of putting measured amounts of water to land to aid in crop production is known as irrigation.
  • Manuring is when fertilizers are provided to the soil.
  • Manure is an organic substance that is utilized in agriculture as an organic fertilizer.
  • Animal waste makes up the majority of manure; compost and green manure are alternative sources.

Digging and winnowing:

  • The process of winnowing is used to separate grain from chaff.
  • It can be used to clean pests out of grain that has been stored.
  • When preparing grains, threshing is typically followed by winnowing.

Harvesting and Storage:

  • The produce is taken out of the field and stored in the proper location during harvesting and storage.
  • Before being kept, harvested grains are often dried since moisture promotes the growth of microbes.
  • Then, they are kept in grain silos, gunny sacks, or earthen or metal containers.
  • To get rid of pests, the godowns where grains are kept are first fumigated.
KVS PRT Mock Test - 8 - Question 30

Moon eclipse occurs, when ______________.

Detailed Solution for KVS PRT Mock Test - 8 - Question 30

Concept:

Lunar Eclipse:

  • Also known as the eclipse of the moon it occurs when the earth comes in between the sun and the moon.
  • As a result, the earth blocks sunlight from reaching the moon and casts its shadow over the moon.
  • It generally occurs on a full moon night. We can see about three Lunar Eclipses in a year.
  • Depending on the positions of the sun, moon, and earth Lunar Eclipses can be of two kinds:
    • Partial Eclipse - when only part of the moon is covered by the earth's shadow.
    • Total Eclipse - when the earth passes directly in front of the moon and casts its full shadow on the moon.

Explanation:

Thus from the above discussion, it's clear that the earth will be in between sun and moon.

Additional Information
Solar Eclipse:

  • A Solar eclipse occurs when the moon comes in between the earth and the sun.
  • It leaves a moving region of shadow on the earth's surface.
  • Eclipse can be classified into four types annular, total, partial, and hybrid.
    • An annular Solar eclipse occurs when the moon completely covers the sun.
    • A total solar eclipse occurs when the new moon comes between the sun and the earth casting the darkest part of a shadow on Earth.
    • In a total solar eclipse, the moon covers the disc of the sun entirely.
  • It is called the total solar eclipse because at the maximum point of the eclipse the sky goes dark

Important Points

  • It is advised not to look directly at the sun during a Solar Eclipse as it can affect the eyes adversely.
  • Lunar Eclipses can, however, be observed with naked eyes.
View more questions
Information about KVS PRT Mock Test - 8 Page
In this test you can find the Exam questions for KVS PRT Mock Test - 8 solved & explained in the simplest way possible. Besides giving Questions and answers for KVS PRT Mock Test - 8, EduRev gives you an ample number of Online tests for practice
Download as PDF