KVS PGT/TGT/PRT Exam  >  KVS PGT/TGT/PRT Tests  >  KVS PRT Mock Test - 9 - KVS PGT/TGT/PRT MCQ

KVS PRT Mock Test - 9 - KVS PGT/TGT/PRT MCQ


Test Description

30 Questions MCQ Test - KVS PRT Mock Test - 9

KVS PRT Mock Test - 9 for KVS PGT/TGT/PRT 2025 is part of KVS PGT/TGT/PRT preparation. The KVS PRT Mock Test - 9 questions and answers have been prepared according to the KVS PGT/TGT/PRT exam syllabus.The KVS PRT Mock Test - 9 MCQs are made for KVS PGT/TGT/PRT 2025 Exam. Find important definitions, questions, notes, meanings, examples, exercises, MCQs and online tests for KVS PRT Mock Test - 9 below.
Solutions of KVS PRT Mock Test - 9 questions in English are available as part of our course for KVS PGT/TGT/PRT & KVS PRT Mock Test - 9 solutions in Hindi for KVS PGT/TGT/PRT course. Download more important topics, notes, lectures and mock test series for KVS PGT/TGT/PRT Exam by signing up for free. Attempt KVS PRT Mock Test - 9 | 180 questions in 180 minutes | Mock test for KVS PGT/TGT/PRT preparation | Free important questions MCQ to study for KVS PGT/TGT/PRT Exam | Download free PDF with solutions
KVS PRT Mock Test - 9 - Question 1

Fill in the blanks with the proper past participle form of the following verbs.

Shake

Detailed Solution for KVS PRT Mock Test - 9 - Question 1

Explanation:

- The past participle form of the verb "shake" is "shaken."
- This form is used to create perfect tenses, such as present perfect, past perfect, and future perfect.
- Here are some examples of how "shaken" can be used in sentences:
- He has shaken the bottle vigorously.
- The earthquake had shaken the building.
- By the time I arrive, the snow will have shaken off the trees.

KVS PRT Mock Test - 9 - Question 2

Directions: A sentence is given here with a blank and you need to fill the blank choosing the word/words given below. If all the words given can fill the blank appropriately, choose ‘All are correct’ as your answer.

Russian hardware was airlifted in with the aim of reinforcing _______________ in the south and the initial ambition was to advance along the southern coast of Ukraine.

I. Troop

II. Troupe

III. Fleet

Detailed Solution for KVS PRT Mock Test - 9 - Question 2

Let us first learn the meanings of the given words:

Troop (noun): a group of soldiers or scouts.

Troupe (noun): a group of performers.

Fleet (noun): a group of ships sailing together, engaged in the same activity, or under the same ownership.

After reading the meanings, we can conclude that only ‘troop’ is the perfect contextual fit.

Hence, the correct answer is option C.

KVS PRT Mock Test - 9 - Question 3

SALACITY

Detailed Solution for KVS PRT Mock Test - 9 - Question 3

Bliss : perfect happiness; great joy.
Depression : feelings of severe despondency and dejection.
Indecency : an indecent act or expression.
Recession : a period of temporary economic decline during which trade and industrial activity are reduced, generally identified by a fall in GDP in two successive quarters.
Salacity : the expression of undue or inappropriate interest in sexual matters.

Synonym of Salacity is Indecency
 

KVS PRT Mock Test - 9 - Question 4
परन्तू' का शुद्ध रूप निम्न में से कौन सा है?
Detailed Solution for KVS PRT Mock Test - 9 - Question 4

'परन्तू' का शुद्ध रूप- परन्तु

Key Points

  • परन्तू शब्द में वर्तनी सम्बन्धी अशुद्धि है
  • संधि विच्छेद परम्+तु= परन्तु

Additional Information

  • सुनने और बोलने (श्रवण और उच्चारण) के कारण शब्दों में कई अशुद्धियाँ (त्रुटियाँ – गलतियाँ) आ जाती हैं।
  • हिन्दी की मात्राओं एवं व्याकरण के ज्ञान की कमी प्रायः इन शब्द और वर्तनी की अशुद्धियों का मुख्य कारण होती है।
KVS PRT Mock Test - 9 - Question 5

Which company was awarded the 2024 Google Cloud Sales Partner of the Year for India?

Detailed Solution for KVS PRT Mock Test - 9 - Question 5

Brio Technologies received the prestigious 2024 Google Cloud Sales Partner of the Year Award for India, acknowledging their excellence in driving digital transformation through AI and cloud services, as well as their expertise in infrastructure modernization and data & AI solutions.

KVS PRT Mock Test - 9 - Question 6

What is the data transfer rate for USB 2.0?

Detailed Solution for KVS PRT Mock Test - 9 - Question 6
Data Transfer Rate for USB 2.0:

  • USB 2.0: The data transfer rate for USB 2.0 is 480 Mbps (megabits per second).


Explanation:

  • USB 2.0: USB 2.0 is a widely used standard for connecting devices to a computer. It is an upgraded version of USB 1.1 and offers faster data transfer speeds.

  • Data Transfer Rate: The data transfer rate refers to the speed at which data can be transmitted between devices through the USB connection.

  • 480 Mbps: USB 2.0 supports a maximum data transfer rate of 480 Mbps. This means that data can be transferred at a speed of up to 480 megabits per second.

  • Comparison: The other options provided (512 Mbps and 520 Mbps) are not correct as they do not match the actual data transfer rate of USB 2.0.


Summary:

Therefore, the correct answer is option A: 480 Mbps. USB 2.0 has a data transfer rate of 480 Mbps, allowing for faster and more efficient data transfer between devices.

KVS PRT Mock Test - 9 - Question 7
Vygotskian method in which teachers and students collaborate in learning is called-
Detailed Solution for KVS PRT Mock Test - 9 - Question 7

Lev Vygotsky (1896-1934) was a Russian psychologist whose Socio-cultural Theory emphasizes the importance of culture and interaction in the development of cognitive abilities.

  • Vygotsky emphasizes reciprocal learning, participatory learning, collaborative learning, and peer group learning. 

Key Points

  • Teachers and students collaborate among themselves in learning and practicing four key skills: summarizing, questioning, clarifying, and predicting. The teacher’s role in the teaching-learning process is reduced over time.
  • It provides scope for reciprocal teaching in which students play the roles of teacher and when they face difficulties, the teacher helps them as a facilitator.
  • It provides learners scope to participate in creative activities and self-organization of ideas. 
  • It provides scope for new knowledge to be acquired and present knowledge to be expanded by the learner. 
  • In this approach, the teacher monitors and flexibly guide the students to the correct answer while encouraging critical thinking.
  • It encourages teamwork and collaboration. 

Thus by all these references, we can consider that reciprocal teaching is the method by which teachers and students collaborate.

Important Points

  • Discovery learning is a technique of inquiry-based learning and is considered a constructivist-based approach to education. It can occur whenever the student is not provided with an exact answer but rather the materials to find the answer themselves.
  • Expository teaching is a lecture presentation or telling strategy used during instruction. The teacher is in control of presenting the subject matter and directs the students through the lesson.

KVS PRT Mock Test - 9 - Question 8
The primary goal of continuous and comprehensive evaluation is-
Detailed Solution for KVS PRT Mock Test - 9 - Question 8

Continuous and Comprehensive Evaluation, commonly known as 'CCE' lays emphasis on the thought process and de-emphasize memorization as CCE includes all aspects of students' development.

  • It is the latest development in the teaching-learning process introduced as a school-based system of evaluation by the CBSE in 2009 with the enactment of the Right to Education Act.

Key Points

  • The primary goal of continuous and comprehensive evaluation is to assess children's understanding and modify the curriculum and pedagogy for students.
  • It provides immediate feedback to the teachers who can then decide whether a particular unit or concept needs re-teaching in the whole class or whether a few individuals are in need of remedial instruction so that they can modify the curriculum accordingly.
  • It creates interest among the learners for studies and ensures all-around development of students including cognitive, psychomotor, and affective domains.
  • CCE entails meticulous record-keeping by the teacher through Cumulative records, Anecdotal records, portfolios, etc., and entails integration with the teaching-learning process through diagnostic and remedial teaching.

Hence, it is concluded that the primary goal of continuous and comprehensive evaluation is to assess children's understanding and modify the curriculum and pedagogy for students.

KVS PRT Mock Test - 9 - Question 9
Which of the following best describes mathematics lab for middle school mathematics teaching and learning?
Detailed Solution for KVS PRT Mock Test - 9 - Question 9

The math lab provides an opportunity for the students to discover mathematics through doing. Many of the activities present a problem or a challenge, with the possibility of generating further challenges and problems. Key PointsFeatures of a mathematics laboratory:

  • A mathematics laboratory is a place where anybody can experiment and explore teaching and learning material. It is a place where one can find a collection of games, puzzles, etc.
  • It is a space for learning mathematics through play way activities and discovery methods with the help of different types, of multi-sensory aids, objects, and community resources.
  • The activities create interest among students or in anybody who wants to explore and test some of their ideas, and beliefs about mathematics.
  • A mathematics laboratory is a place to enjoy mathematics through informal exploration. It is a place where anyone can generate problems and struggle to get an answer.
  • It provides an opportunity for students to understand and internalize basic mathematical concepts through concrete objects and situations.

Hence option 1 is the correct one. Additional InformationOn the other hand, remaining all options are wrong as they don't indicate and point toward the true need and purpose of the math laboratories in the schools.

KVS PRT Mock Test - 9 - Question 10
The largest government run programme for Early Childhood Care and Education is
Detailed Solution for KVS PRT Mock Test - 9 - Question 10

Integrated Child Development Services (ICDS) Scheme: The scheme was launched on 2nd October 1975. The Integrated Child Development Services (ICDS) Scheme is one of the flagship programs of the Government of India and represents one of the world’s largest and unique programs for early childhood care and development.

Important Points

In the government sector, Integrated Child Development Services (ICDS) is the world‟s largest program imparting ECCE. 

Key Points

  • Objectives of the scheme-
    • Improvement in the health and nutritional status of children 0-6 years and pregnant and lactating mothers.
    • Reduction in the incidence of their mortality and school drop out.
    • Provision of a firm foundation for proper psychological, physical and social development of the child.
    • Enhancement of the maternal education and capacity to look after her own health and nutrition and that of her family.
    • Effective co-ordination of the policy and implementation among various departments and programs aimed to promote child development.
  • Beneficiaries are- 
    • Children 0-6 years
    • Pregnant and Lactating mothers
    • Women 15 - 44 years 

Hence, we can conclude that the largest government-run program for Early Childhood Care and Education is Integrated Child Development Services Scheme.

Additional Information

  • The Sarva Shiksha Abhiyan (SSA), the latest of all such programs, subsumes the strategies and programs, aimed at achieving universal elementary education of eight years.
  • Rajiv Gandhi National Crèche Scheme for the Children of Working Mothers which provides daycare facilities to the children in the age group of 0-6 years from families with a monthly income of less than Rs. 12,000/-
  • Meal Programme (MDM) is also called the school lunch or school meal program. As the name indicates, the children attending elementary sections of schools are the chief beneficiaries. 
KVS PRT Mock Test - 9 - Question 11
How can peer groups promote social skills in adolescents?
Detailed Solution for KVS PRT Mock Test - 9 - Question 11

Social development refers to the process through which children learn to interact with others around them. Often, it refers to how a child evolves friendships and other relationships, and how a child deals with the conflict with peers.

Key Points

Social Development at Adolescence: In the social sphere, adolescents undergo a lot of changes in their interpersonal relationships and they also begin to understand society and its diverse influences.

  • Adolescence is a stage when children become active members of their peer groups. Being an active member, they tend to spend more time with their peers and prefer to talk about their school's activities.
  • The dependence on parents noted during childhood gets transformed into dependence on friends and peers at adolescence.
  • Peer group play an important role in the socialization and development of children but sometimes the negative influence of peer group affect the academic performance of students.
  • Peer groups become more important than family and their influence concerning making food choices peaks.

Additional Information

  • Early Childhood: Participation in various activities at school and at home.
  • Late Childhood: Relating with peers according to rules.
  • Adulthood: Getting into committed relationships.

Hence, we can conclude that at the adolescence stage, adolescents can develop creative interpersonal skills through friendship.

KVS PRT Mock Test - 9 - Question 12
Choose the incorrect statement regarding NIPUN Bharat Scheme?
Detailed Solution for KVS PRT Mock Test - 9 - Question 12

The correct answer is The 3-tier implementation strategy is National-->District-->School.

Important Points

  • The Ministry of Education has launched NIPUN (National Initiative for Proficiency with Reading & Understanding & Numeracy) in July 2021.
  • NIPUN Bharat Scheme will be implemented by the Department of School Education and Literacy.
  • NIPUN Bharat Scheme will be launched under National Education Policy(NEP) 2020.
  • The aim of NIPUN is to cover the needs of children who fall between the age group of 3 years to 9 years.
  • A five-tier implementation strategy will be used under the guardianship of the Samagra Shiksha Scheme.
  • The five-tier implementation strategy is National-->State-->District-->Block-->School.
  • The Samagra Shiksha Scheme was launched by combining three existing schemes:
  1. Sarva Shiksha Abhiyaan (SSA)
  2. Rashtriya Madhyamik Shiksha Abhiyaan (RMSA)
  3. Teacher Education (TE)
  • NISHTA (National Initiative for School Heads and Teachers Holistic Advancement) is being developed by NCERT for foundational Literacy and Numeracy.
  • NISHTA is the largest Teachers' Training program of its kind in the world.

Additional Information

  • The (National Education Policy)NEP 2020 replaced National Education Policy(NEP) 1986.
  • The Right to Education (RTE) Act 2009 enforces education as a fundamental right.
  • NCERT stands for National Council of Educational Research and Training.
  • Dinesh Prasad Saklani is the Director of NCERT.
  • The headquarters of NCERT is in New Delhi.
  • Shri Dharmendra Pradhan is the Education Minister of India.
KVS PRT Mock Test - 9 - Question 13
The teaching method in the secondary school that is the most conducive to the teaching of democracy and the democratic procedure is
Detailed Solution for KVS PRT Mock Test - 9 - Question 13

Methods of teaching: It is the pedagogy and general principles use for instruction The strategy has to be set up based on the educational philosophy, students learning capacity, subject matter, and the classroom demography. Sometimes infrastructure plays an important role in the teaching method.

Important Points

For teaching democracy and democracy procedures, the most conducive method is a role-playing method. Through role-play the teacher can create situations by assigning roles of leaders who represented their parties in elections. 

Key Points

Role-playing method: The word ‘role’ implies accepting a part in a sequence and play means acting it out. Roleplay is more flexible compared to drama.

  • The drama will have a fixed theme, the conversations being prefixed, the sequence of events being rigidly followed, etc.
  • The role play does not have any one of these. In a role-play, there may be a theme, but the conversations will have to be evolved by a group of students or actors.
  • Sometimes role play is organized without having necessary rehearsals.
  • Example: Play the role of a Panchayat President who is addressing the members of Gram Sabha.
  • Roleplay is very helpful in sensitizing the students to certain issues and making them understand the difficulties involved by placing them in the given roles. It develops in their confidence, communication skills, etc. which are also a part of life skills.

Hence, we can conclude that the teaching method in the secondary school that is the most conducive to the teaching of democracy and the democratic procedure is role-playing method.

KVS PRT Mock Test - 9 - Question 14
Most scientific and objective method of studying behaviour is
Detailed Solution for KVS PRT Mock Test - 9 - Question 14

Psychology is the scientific study of the mind and behavior. Psychology is a multifaceted discipline and includes many sub-fields of study such areas as human development, sports, health, clinical, social behavior, and cognitive processes.

Important PointsExperimental method: Experiments are generally conducted to establish a cause-effect relationship between two sets of events or variables in a controlled setting

  • The experimental method is the most scientific and objective way of studying behavior.
  • In this method, experiments are conducted in the laboratories under controlled conditions.
  • In experiments, usually, the effect of the independent variable on the dependent variable is studied.
  • There will be two variables, viz., Independent and dependent variables. 
  • For example, the effect of music on the level of blood pressure can be studied in laboratory settings. Here, the music is the independent variable and the BP is a dependent variable.

Key PointsImportant methods of Studying Human Behavior are as follows:

  •  Introspection Method
  •  Observation Method
  •  Experimental Method
  •  Clinical Method/Case History Method

Thus, it is concluded that the most scientific and objective method of studying behavior is the Experimental method.

Hint

  • Introspection Method: This method was introduced by EB Titchener. This is also known as the self-observation method. Introspection means ‘to look within'. It is not possible to understand the inner feelings and experiences of other persons. But the individual himself can observe and report.
  • Observational method: This method is very useful in areas where experiments cannot be conducted. In this method, the observer will observe and collect the data. Example: In the hospital, the nurse will make observations of patient’s temperature, pulse, BP, facial expressions, etc.

KVS PRT Mock Test - 9 - Question 15
Which of the following is NOT a challenge related to Cognitive Development in adolescents?
Detailed Solution for KVS PRT Mock Test - 9 - Question 15

Adolescents learn to think abstractly, how to think about interpersonal issues, how to recognize new information-processing techniques, and how to think critically and creatively.

Key Points Challenges related to Cognitive Development:- 

  • Adolescents are characterized by egocentrism or self-interest.
  • The adolescents' transition from dealing with ideas, concepts, and abstract theories to thinking in more abstract terms.
  • Adolescents who have the capacity for creative thought are better able to innovate and escape challenging circumstances.

​Thus, we conclude that society’s expectations pose a challenge for adolescents and are valuable in helping them to progress along the path to adulthood is NOT a challenge related to Cognitive Development in adolescents.

KVS PRT Mock Test - 9 - Question 16
_______aims to provide young people with accurate, age-appropriate, and culturally relevant information; promote healthy attitudes and develop skills to enable them to respond to real-life situations effectively.
Detailed Solution for KVS PRT Mock Test - 9 - Question 16

The term 'adolescence' has a Latin origin. It is derived from the verb adolescere, which means "to grow into adulthood" or "to achieve maturity". 

Key Points

  • For the best and all-around development of mental powers in adolescence, a proper education system should be made.
  • Adolescence Education aims to provide young people with accurate, age-appropriate, and culturally relevant information; promote healthy attitudes and develop skills to enable them to respond to real-life situations effectively.
  • Adolescents are able to control their emotions only through adolescent education.
  • Adolescence is called the stage of storm, so the goal of adolescence education is to guide adolescents on the path of progress by showing them the right path.
  • In adolescence, students are worried about careers, so the goal of education in adolescence is to identify the qualities of students and show them the right path.

Hence, we can conclude that adolescent Education aims to provide young people with accurate, age-appropriate, and culturally relevant information; promote healthy attitudes, and develop skills to enable them to respond to real-life situations effectively.

KVS PRT Mock Test - 9 - Question 17
What is meant by 'psychiatry domain'?
Detailed Solution for KVS PRT Mock Test - 9 - Question 17

Psychology is defined as the study that observes and measures mind and behavioural activities.

There are five types of 'psychiatry domain' or psychological domain, viz. biological domain, cognitive domain, development domain, social & personality domain, and mental & physical domain. 
The study of all the five domains is done to conduct research, make assumptions and draw conclusions. 

Key Points

  • The mental and physical domain is one of the domains of psychology includes abnormal psychology, health psychology and therapies. 
  • This domain has described the myth people are carrying in their minds about mental disorders, mental illnesses, and imbalance.
  • As mental illnesses can be diagnosed in the change of someone's mental skills or physical skills or how they perform a specific task, it helps the psychologists in treating them. 
  • It not only studies mental skills but also about physical skills as the physical skills of a person also tell a lot about him. Mental processes like how we perceive a concept, how we think, analyze, or take action which has the ability to influence our physical actions or skills we learn.
  • The therapies and counselling sessions are not only to treat mental disorders but it is also done to cope with the stress and to live a healthy life. 

Hence, it can be concluded that mental or physical skills are included in the psychiatry domain. 

Additional Information

  • Mental skills belong to the cognitive domain of psychology.
  • Physical and emotional development belongs to social and personality development that is one of the five domains of psychology.
KVS PRT Mock Test - 9 - Question 18

Identify the segment in the sentence which contains a grammatical error.

One must not boast about their success.

Detailed Solution for KVS PRT Mock Test - 9 - Question 18

The erroneous part of the sentence is: their success

Key Points

  • Replace 'their' with 'one's' to make the sentence correct.
  • One's is used to indicate that something belongs or relates to people in general.
  • 'Their' is a possessive determiner. It modifies a noun.
    • Example - These are their notebooks.
  • 'One's' is a possessive pronoun; it comes alone. It does not modify a noun.
    • Example - Pull oneself up by one's own bootstraps
  • In The given sentence 'one' is mentioned and it is applicable to people in general, therefore "one's" should be used.

Therefore, the correct answer is option 1.

Correted sentence: One must not boast about one's success.

KVS PRT Mock Test - 9 - Question 19

Identify the part of speech the underlined word belongs to.

Baloch separatism has been an ongoing issue in Pakistan since the birth of the nation in 1947.

Detailed Solution for KVS PRT Mock Test - 9 - Question 19

The correct answer is 'preposition'

Key Points

  • Since is used from a particular time in the past until a later time, or until now
    • Ex-He hasn't won a game since last year.
    • We use since to refer back to a previous point in time. We use since as a preposition with a date, a time, or a noun phrase.
  • We use since as a preposition, conjunction, and an adverb to refer to a time, and as a conjunction to introduce a reason.
    • Ex- Since we've got a few minutes to wait for the train, let's have a cup of coffee.
  • We use for with a period of time in the past, present, or future.
    • Ex- Rohit has been doing his homework for two hours.
  • In the given sentence since is used to indicate a specific point in time.(i.e 1947)

​As per the points mentioned above the correct answer is 'Option 1'

KVS PRT Mock Test - 9 - Question 20

Direction: Choose the appropriate option with the correct punctuation marks for the given sentence:

I have bought a book two pens a pencil and an eraser.

Detailed Solution for KVS PRT Mock Test - 9 - Question 20

The correct answer is 'I have bought a book, two pens, a pencil and an eraser.'.

Key Points

  • The most appropriate answer with correct punctuation inserted in the given sentence is 'I have bought a book, two pens, a pencil and an eraser.'.
  • Use commas to separate three or more words, phrases, or clauses written in a series.
    • Here, comma is used to separate a book, two pens and a pencil which are in a series.
  • A full stop, also known as a period, is chiefly used to end a sentence.
  • By referring to the above explanation, it can be concluded that option 4 is the appropriate option with the correct punctuation mark.
KVS PRT Mock Test - 9 - Question 21
पतीले में बहुत दूध है। वाक्य में प्रयुक्त रेखांकित विशेषण है -
Detailed Solution for KVS PRT Mock Test - 9 - Question 21

उपर्युक्त विकल्पों में से विकल्प "अनिश्चित परिमाणबोधक विशेषण" सही है तथा अन्य विकल्प असंगत है।
दूध का परिमाण किया जाने से बहुत
अनिश्चित परिमाणवाचक विशेषण का उदाहरण हैअनिश्चित संख्यावाचक विशेषण का नही

Key Points
  • "पतीले में बहुत दूध है।" वाक्य अनिश्चित परिमाणबोधक विशेषण वाक्य है।
  • अनिश्चित परिमाणबोधक विशेषण:-
    • वो विशेषण शब्द जो हमें किसी संज्ञा य सर्वनाम की अनिश्चित मात्रा या परिमाण का बोध कराते हैं, वे शब्द अनिश्चित परिमाणबोधक विशेषण कहलाते हैं। जैसे: थोड़ी जगह, बहुत पानी, कुछ फल, ज़रा सा रस आदि।
Additional Information
  • अनिश्चित संख्यावाचक विशेषण
    • ऐसे विशेषण जो हमें किसी संज्ञा या सर्वनाम का निश्चित बोध नहीं करा पाते एवं उनमें अनिश्चितता बनी रहती है, ऐसे विशेषण शब्द अनिश्चित संख्यावाचक विशेषण कहलाते हैं।
    • जैसे: कुछ, अनेक, बहुत, सारे, सब, कुछ, कई, थोडा, सैंकड़ों , अनेक, चंद, अनगिनत, हजारों आदि।
  • सार्वनामिक विशेषण
    • ऐसे सर्वनाम शब्द जो संज्ञा से पहले लगकर उस संज्ञा शब्द की विशेषण की तरह विशेषता बताते हैं, वे शब्द सार्वनामिक विशेषण कहलाते हैं।
    • यह शब्द सर्वनाम के लिए विशेषण का काम करते हैं।
    • जैसे:- मेरी पुस्तक, कोई बालक, किसी का महल, वह लड़का, वह बालक, वह पुस्तक, वह आदमी, वह लडकी आदि।
  • गुणवाचक विशेषण
    • जो विशेषण हमें संज्ञा या सर्वनाम के रूप, रंग आदि का बोध कराते हैं वे गुणवाचक विशेषण कहलाते हैं।
    • जैसे:- सुंदर, बलवान, विद्वान्, भला, उचित,अच्छा, ईमानदार, सरल, विनम्र, बुद्धिमानी, सच्चा, दानी, न्यायी, सीधा, शान्त आदि।
KVS PRT Mock Test - 9 - Question 22
इनमें से किस वाक्य में अकर्मक क्रिया है?
Detailed Solution for KVS PRT Mock Test - 9 - Question 22

श्याम हँसता है, वाक्य में "अकर्मक" क्रिया है।

Key Pointsअकर्मक क्रिया:
वें क्रियाएं जिनके साथ कर्म ना प्रयुक्त होता हो तथा क्रिया का प्रभाव में प्रयुक्त कर्ता पर पड़ता हो, उसे अकर्मक क्रिया कहते हैं।

जैसे: रीता रोती है, सीता खाती है, राम बैठा है आदि।

सकर्मक क्रिया:

  • वें क्रियाएं जिनका प्रभाव वाक्य में प्रयुक्त कर्ता पर न पड़ कर कर्म पर पड़ता है। अर्थात वाक्य में क्रिया के साथ कर्म का होना सकर्मक क्रिया कहलाता है।
  • जैसे:- सीता खाना बना रही है, रमेश बाजार जा रहा है, सुरेश पानी पी रहा है आदि ।

सकर्मक क्रिया के दो भेद होते हैं-

  • एक कर्मक क्रिया: जब वाक्य में क्रिया के साथ एक कर्म प्रयुक्त हो, तो उसे एक कर्मक क्रिया कहा जाता है, जैसे- राम आम खा रहा है।
  • द्विकर्मक क्रिया: जब वाक्य में क्रिया के साथ दो कर्म प्रयुक्त हो, तो उसे द्विकर्मक क्रिया कहा जाता है, जैसे- अध्यापक छात्रों को गणित पढ़ा रहें हैं।

Additional Informationक्रिया की परिभाषा:

  • जिस शब्द के द्वारा किसी कार्य के करने या होने का बोध होता है उसे क्रिया कहा जाता है। संस्कृत में क्रिया रूप को धातु कहते हैं। हिंदी में इन धातुओं के साथ ‘ना’ लगता है।
  • जैसे - खाना, पीना,पढ़ना।

उदाहरण:

  • विक्रम पढ़ रहा है।
  • शास्त्री जी भारत के प्रधानमंत्री थे।
  • महेश क्रिकेट खेल रहा है।
  • सुरेश खेल रहा है।
  • राजा राम पुस्तक पढ़ रहा है।
KVS PRT Mock Test - 9 - Question 23

Simplify the following.

813/4 + [(20 ÷ 5 of 3 × 6) + {(8 ÷ 24 of 3) × 4} - 10 ÷ 5] - (1/32)-2/5 .

Detailed Solution for KVS PRT Mock Test - 9 - Question 23

Given:

813/4 + [(20 ÷ 5 of 3 × 6) + {(8 ÷ 24 of 3) × 4} - 10 ÷ 5] - (1/32)-2/5 

Concept:

Calculations:

According to the question,

(81)3/4 + [(20 ÷ 5 of 3 × 6) + {(8 ÷ 24 of 3) × 4} - 10 ÷ 5] - (1/32)-2/5

⇒ [(81)1/4]3 + [(20 ÷ (5 × 3) × 6) + {(8 ÷ (24 × 3)) × 4} - 2] - [(1/32)1/5]-2

⇒ [3]3 + [((20 ÷ 15) × 6) + {(8 ÷ 72) × 4} - 2] - [1/2]-2

⇒ 27 + [((4/3) × 6) + {(1/9) × 4} - 2] - [2]2

⇒ 27 + [(4 × 2) + {4/9} - 2] - 4

⇒ 27 + [8 + {4/9} - 2] - 4

⇒ 27 - 4 + [6 + {4/9}]

⇒ 23 + [54 + 4]/9

⇒ 23 + 58/9

⇒ (207 + 58) / 9 = 265/9 or 29(4/9)

∴ The simplified value is 29(4/9).

KVS PRT Mock Test - 9 - Question 24

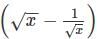
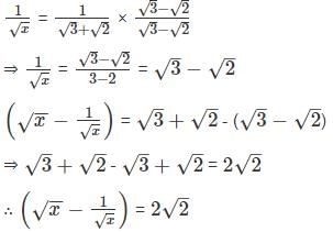
If x = 5 + 2√6 then find the value of

Detailed Solution for KVS PRT Mock Test - 9 - Question 24

Given:
x = 5 + 2√ 6
Formula used:
(a + b)2 = a2 + b2 + 2ab
Calculation:
x =  5 + 2√6 = 3 + 2 + 2 × √3 × √2
⇒ (√3)2 + (√2)2 + 2 × √3 × √2
(a + b)2 = a+ b2 + 2ab
⇒ x = (√3 + √2)2
Now, 

KVS PRT Mock Test - 9 - Question 25

If the quadrilateral has an inscribed circle, then the sum of a pair of opposite sides equals:

Detailed Solution for KVS PRT Mock Test - 9 - Question 25

Concept:

The lengths of tangents drawn from an external point to a circle are equal

Calculation:

Hence, the sum of the opposite side

⇒ AB + CD = (AE + EB) + (DG + GC)

Similarly, a sum of the two remaining

⇒ AD + BC = (AH + HD) + (BF + FC)

By using the above concept

AE = AH, BE = BF, DH = DG & CG = CF

⇒ AD + BC = (AE + DG) + (BE + CG)

⇒ AD + BC = (AE + EB) + (DG + GC)

Hence, AB + CD = AD + BC

∴ The Sum of a pair of opposite sides equals the sum of another pair of opposite sides.

KVS PRT Mock Test - 9 - Question 26

Abhi knew that plants adapt themselves to the conditions in the environment in which they live. He observed a plant with tall, conical and needle-like leaves. What kind of plant is it?

Detailed Solution for KVS PRT Mock Test - 9 - Question 26

Concept:

  • Plants adapt according to the environment they live in.
  • This adaptation helps the plant to survive and adjust to the environment and thereby propagate.

Explanation:

Adaptations of hilly plants:

  • The adaptation helps plants in hilly areas to face high-speed winds and cold.
  • They have a conical shape with needle shaped leaves.
  • The conical shape of the trees in hilly areas, helps the plant to survive by sliding off and getting rid of the snow or ice that falls on the trees.
  • The needle-shaped leaves of the tree do not allow the ice or snow to settle on the leaves and thus, can easily be shed off from the trees.
  • They have a wax coating to prevent any damage from snow.
  • They are flowerless. Instead of flowers, they have cones with seeds inside them.

Thus, Abhi observed a plant with tall, conical and needle-like leaves, it is a plant of hilly area.

KVS PRT Mock Test - 9 - Question 27

Which of the following is not a stem ?

Detailed Solution for KVS PRT Mock Test - 9 - Question 27

Concept-

  • The stem is the ascending part of the axis bearing branches, leaves, flowers, and fruits.
  • It develops from the plumule of the embryo of a germinating seed.
  • The stem bears nodes and internodes.
  • The main function of the stem is spreading out branches bearing leaves, flowers, and fruits.
  • It conducts water, minerals, and photosynthates.

Explanation-

  • Some stems perform the function of storage of food, support, protection, and of vegetative propagation.
  • The stem may not always be typically like what they are expected to be.
  • They are modified to perform different functions.
  • Underground stems of potato, ginger, turmeric, zaminkand, Colocasia are modified to store food in them.

Therefore turnip is not the stem.

Additional Information
Turnip

  • Roots in some plants change their shape and structure and become modified to perform functions other than absorption and conduction of water and minerals.
  • They are modified for support, storage of food, and respiration.
  • Taproots of carrot, turnip, and adventitious roots of sweet potato, get swollen and store food.
KVS PRT Mock Test - 9 - Question 28
Infectious disease spread through
Detailed Solution for KVS PRT Mock Test - 9 - Question 28

Concept:

  • The disease is a state of discomfort in which the normal functioning of the body is affected.
  • The disease may be defined as a disorder in the physical,
    physiological, psychological, or social state
    of a person caused due to nutritional deficiency, physiological disorder, genetic disorder, pathogen, or any other reason.

Key Points

  • The diseases may be classified into two broad categories
    • A. Congenital disease: The disease which is present from birth (e.g. hole in the heart in infants).
      • They are caused by some genetic abnormality or metabolic disorder or malfunctioning of an organ.
    • B. Acquired disease: The disease which may occur after birth during one’s lifetime.
  • Acquired diseases may generally be classified into :
    • Infectious diseases: The diseases which can be transmitted from a diseased person to a healthy person e.g. measles.
    • Degenerative disease: The diseases caused by the malfunction of some vital organs of the body e.g. heart failure.

Explanation:

  • Communicable diseases are caused by an infection which spreads through the medium of touch, sharing towels, handkerchiefs, etc. of the patient.
  • Influenza, polio, typhoid, measles, mumps, chickenpox, tuberculosis (T.B.), sexually transmitted infections, and AIDS (Acquired Immuno Deficiency Syndrome) are some communicable diseases.
  • Communicable diseases are caused by very tiny organisms called germs and parasites.
  • Germs are present everywhere around us and they can spread through four modes:
    (i) Food and water
    (ii) Air
    (iii) Contact
    (iv) Insects

Thus, infectious diseases spread through the air, water, and living organisms.

KVS PRT Mock Test - 9 - Question 29
The festival of Kumbh mela is organized in India over the course of how many years?
Detailed Solution for KVS PRT Mock Test - 9 - Question 29

The correct answer is 12.

Key Points

  • Kumbh Mela is famous for being the biggest and one of the most religious gatherings in India.
  • It is organized every 12 years in 4 Indian cities: Allahabad, Haridwar, Nasik, and Ujjain.
  • Ardh Kumbh Mela is organized every 6 years.
  • The Maha Kumbh Mela is held every 144 years most recently in 2001.
  • The Kumbh Mela is organized on the banks of Triveni Sangam in Allahabad, Ganga in Haridwar, the Godavari in Nashik, and Shipra in Ujjain.
  • It is recognized by the UNESCO's Representative List of Intangible Cultural Heritage of Humanity.

Additional Information

  • Kumbh Mela 2021
    • It has been started in early March and continues till April 30.
    • Kumbh Mela, the largest religious gathering in the world, is held every 12 years in rotation at the four holy places of Haridwar, Allahabad, Ujjain, and Nasik.
    • The 2021 Kumbh Mela will be held at Haridwar.
    • It will witness the coming together of millions of pilgrims, accompanied by sadhus and different akharas, to take a dip in the holy River the Ganges.
    • The theme of the Haridwar Maha Kumbh 2021 is the Green Clean Kumbh.
KVS PRT Mock Test - 9 - Question 30

Total number of bones in human body?

Detailed Solution for KVS PRT Mock Test - 9 - Question 30
  • The skeleton is the body part that forms the supporting structure of an organism.
  • An adult human skeleton consists of 206 bones in total.
  • At the time of birth, there are 270 bones which fuse with time to come to a total of 206 bones.
  • The total bones of our body can be divided into the axial skeleton (80) and the appendicular skeleton (126).
  • The accessory bones and sesamoid bones are included in the total bone count of our body.
  • The axial skeleton comprises the skull, chest and spine and consists of 80 bones.
  • The appendicular skeleton, on the other hand, includes the arms, legs, pelvic and pectoral girdles.

Additional Information

  • The ligament is a fibrous connective tissue that connects bone to other bone and provides joint strength and stability. In the human body, there are more than 900 ligaments.
  • Tendons are the fibrous connective tissue that connects muscle to bone.
  • Cartilage is a firm connective tissue that is more flexible than bone ad is found in many parts of the body like joints between bones.
  • The Joint is the part of the body where two or more bones meet and allow movement. There are generally 6 types of freely movable joints i.e. Pivot, Saddle, Condyloid, ball and socket, hinge, and gliding joint.
View more questions
Information about KVS PRT Mock Test - 9 Page
In this test you can find the Exam questions for KVS PRT Mock Test - 9 solved & explained in the simplest way possible. Besides giving Questions and answers for KVS PRT Mock Test - 9, EduRev gives you an ample number of Online tests for practice
Download as PDF