UPSC Exam  >  UPSC Tests  >  Test: Average (औसत) - 2 - UPSC MCQ

Test: Average (औसत) - 2 - UPSC MCQ


Test Description

20 Questions MCQ Test - Test: Average (औसत) - 2

Test: Average (औसत) - 2 for UPSC 2025 is part of UPSC preparation. The Test: Average (औसत) - 2 questions and answers have been prepared according to the UPSC exam syllabus.The Test: Average (औसत) - 2 MCQs are made for UPSC 2025 Exam. Find important definitions, questions, notes, meanings, examples, exercises, MCQs and online tests for Test: Average (औसत) - 2 below.
Solutions of Test: Average (औसत) - 2 questions in English are available as part of our course for UPSC & Test: Average (औसत) - 2 solutions in Hindi for UPSC course. Download more important topics, notes, lectures and mock test series for UPSC Exam by signing up for free. Attempt Test: Average (औसत) - 2 | 20 questions in 25 minutes | Mock test for UPSC preparation | Free important questions MCQ to study for UPSC Exam | Download free PDF with solutions
Test: Average (औसत) - 2 - Question 1

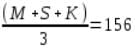
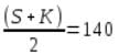
मिलन, सोम और कृति की औसत ऊंचाई 156 सेमी है। यदि सोम और कृति की औसत ऊँचाई 140 सेमी और मिलन और सोम की औसत ऊँचाई 160 सेमी है, तो मिलन की ऊँचाई का कृति की ऊँचाई से अनुपात कितना है?

Detailed Solution for Test: Average (औसत) - 2 - Question 1

माना मिलन की ऊंचाई M है, सोम की ऊंचाई S है और कृति की ऊंचाई K है।
दिया गया है,

M + S + K = 156 x 3
M + S + K = 468 ----- (1)
इसके साथ ही,

या, S + K = 280 ----- (2)
और
या, M + S = 320 ---- (3)
(2) और (3) को जोड़ने पर
M + 2S + K = 600 ----- (4)
(4) से (1) को घटाने पर,
S = 132
S का मान (2) में रखने पर,
K = 280 - 132 = 148
S का मान (3) में रखने पर,
M = 320 - 132 = 188
यहाँ से हमें सोम, कृति और मिलन की ऊँचाई क्रमशः 132 सेमी, 148 सेमी और 188 सेमी प्राप्त होती है।
आवश्यक अनुपात = 188 : 148 = 47 : 37

Test: Average (औसत) - 2 - Question 2

चार क्रमागत संख्याओं A, B, C और D का औसत 49.5 है। B और D का गुणनफल क्या है?

Detailed Solution for Test: Average (औसत) - 2 - Question 2

व्याख्या:
माना, चार क्रमागत संख्याएँ: A = x, B = x + 1, C = x + 2, D = x + 3
प्रश्न के अनुसार,
x+x+1+x+2+x+3/4=49.5
4x + 6 = 49.5 × 4
4x = 198 − 6
4x = 192
x = 192/4
x = 48
अब, B = 49, D = 51
इसलिए, B × D का गुणनफल = 49 × 51
B × D = 2499

Test: Average (औसत) - 2 - Question 3

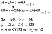
A, B एवं C के पास क्रमशः 40, x एवं y गेंदे है। यदि B,A को 20 गेंद देता है, तो B के पास गेंद की संख्या C की तुलना में आधी रह जाती है। यदि उनके पास 60 गेंद और अधिक होती, तो औसत 100 होता है। x एवं y का अनुपात है-

Detailed Solution for Test: Average (औसत) - 2 - Question 3

A:  B : C
40 :  x : y
40+20 :  x -2 : 2(x-20)

Test: Average (औसत) - 2 - Question 4

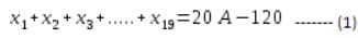
पहले 10 बक्सों में चॉकलेट की औसत संख्या 3,200 है, और अगले 12 बक्सों में 4,500 है। इन 22 बक्सों में कुल कितने चॉकलेट हैं?

Detailed Solution for Test: Average (औसत) - 2 - Question 4

मान लो x1, x2,.......,x10 पहले 10 बक्सों में चॉकलेट की संख्या x11, x12,.......,x22 और अगले 12 बक्सों में चॉकलेट की संख्या हो।

(1) और (2) को जोड़ने पर

x1 + x2 + x3 + ..... + x22 = 32000 + 54000
x1 + x2 + x3 + ..... + x22 = 86000

Test: Average (औसत) - 2 - Question 5

सुशील ने हिंदी में 103 अंक, विज्ञान में 111 अंक, संस्कृत में 98 अंक, गणित में 110 अंक, और अंग्रेजी में 88 अंक प्राप्त किए। यदि प्रत्येक विषय के अधिकतम अंक बराबर हैं और सुशील द्वारा सभी विषयों में 85 प्रतिशत अंक प्राप्त किए जाते हैं, तो प्रत्येक विषय के अधिकतम अंक ज्ञात कीजिए।

Detailed Solution for Test: Average (औसत) - 2 - Question 5

व्याख्या: मान लीजिए कि सभी विषय के अधिकतम अंकों का योग x है।
प्रश्न के अनुसार,
x × 85/100 = (103 + 111 + 98 + 110 + 88)
⇒ x × 85/100 = 510
⇒ x = 510 × 100/85
⇒ x = 600
इसलिए, प्रत्येक विषय के अधिकतम अंक = 600/5 = 120
इस प्रकार, 120 सही उत्तर है।

Test: Average (औसत) - 2 - Question 6

10 लड़कों की औसत आयु 1.5 वर्ष बढ़ जाती है जब उनमें से एक की उम्र 16 वर्ष है, उसे एक नए लड़के द्वारा प्रतिस्थापित किया जाता है। नए लड़के की उम्र है:

Detailed Solution for Test: Average (औसत) - 2 - Question 6

नए लड़के की आयु = पुराने लड़के की आयु + 1.5 x 10
= 16 + 15 = 31 वर्ष

Test: Average (औसत) - 2 - Question 7

अर्जुन के अनुसार, घंटाघर की ऊंचाई 46 मीटर से 54 मीटर के बीच है। देव के अनुसार, उसी घंटाघर की ऊंचाई 46 मीटर से 53 मीटर के बीच है। तुषार का विचार है कि उस घंटाघर की ऊंचाई 50 मीटर से कम है। यदि वे सभी अपने अनुमान में सही हैं, तो घंटाघर की विभिन्न संभावित ऊंचाइयों का औसत क्या है?

Detailed Solution for Test: Average (औसत) - 2 - Question 7

मान लो क्लॉक टॉवर की ऊँचाई x है I
अर्जुन के अनुसार क्लॉक टॉवर की ऊँचाई = 46
देव के अनुसार क्लॉक टॉवर की ऊँचाई = 46
तुषार के अनुसार क्लॉक टॉवर की ऊँचाई = x < 50
दी गई सभी शर्तों को पूरा करने वाले मूल्य 47, 48 और 49 हैं।
इसलिए, आवश्यक औसत
= (47 + 48 + 49)/3
= 144/3
= 48 मी

Test: Average (औसत) - 2 - Question 8

पाँच धनात्मक संख्याओं का औसत 308 है। प्रथम दो संख्याओं का औसत 482.5 है और अंतिम दो संख्याओं का औसत 258.5 है। तीसरी संख्या क्या है?

Detailed Solution for Test: Average (औसत) - 2 - Question 8

माना कि तीसरी संख्या = x है।
औसत = पदों का योग/पदों की संख्या
प्रश्न के अनुसार,
5 × 308 = 2 × 482.5 + x + 2 × 258.5
⇒ x = (5 × 308) − (2 × 482.5) − (2 × 258.5)
⇒ x = 1540 − 965 − 517
⇒ x = 1540 − 1482
⇒ x = 58
इस प्रकार, तीसरी संख्या 58 है।

Test: Average (औसत) - 2 - Question 9

एक दुकानदार मार्च, अप्रैल, मई और जून के महीनों के लिए क्रमश: 48 रु/किलो, 46.50 रु/किलो, 52.50 रु/किलो और 54 रु/किलो में गेहूं खरीदता है । यदि दुकानदार प्रति माह 5000 रु खर्च करता है, तो प्रति किलो गेहूं की औसत लागत लगभग क्या है?

Detailed Solution for Test: Average (औसत) - 2 - Question 9

4 महीनों में गेहूं की खरीदी गई मात्रा

= (104.17 + 107.53 + 95.24 + 92.60) किलो = 399.54 किलो
4 महीनों में खर्च की गई कुल राशि = 4 × 5000 = रु. 20000
औसत लागत = खर्च की गई कुल राशि/गेहूं की खरीदी गई मात्रा
= 50.06 या रु. 50

Test: Average (औसत) - 2 - Question 10

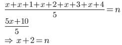
लगातार 5 संख्याओं की औसत संख्या n है यदि अगले दो संख्याओं को भी शामिल किया गया है, तो 7 संख्याओं की औसत संख्या क्या होगी?

Detailed Solution for Test: Average (औसत) - 2 - Question 10

संख्याएं हैं x, x + 1, x + 2, x + 3, x + 4.
प्रश्नानुसार,

दो नयी संख्याएं  जोड़ने के बाद, औसत हो जाता है

तो, नया औसत है n + 1.
यह स्पष्ट है कि लगातार सात संख्याओं मे एक की वृद्धि हुई है।

Test: Average (औसत) - 2 - Question 11

13 मैचों के लिए एक खिलाड़ी का औसत स्कोर 42 रन है। यदि पहले 5 मैचों के लिए उसका औसत स्कोर 54 है, तब अंतिम 8 मैचों के लिए उसका औसत स्कोर (रनों में) क्या है?

Detailed Solution for Test: Average (औसत) - 2 - Question 11

हम जानते हैं कि
पदों का योग == औसत × पदों की संख्या
तब,
सभी मैचों के स्कोर का योग =13 × 42 = 546
पहले पाँच मैचों के स्कोर का योग = 5 × 54 = 270
अंतिम आठ मैचों का योग =546 − 270 = 276
अभीष्ट औसत = 276/8 = 34.5
अतः, 34.5 सही उत्तर है।

Test: Average (औसत) - 2 - Question 12

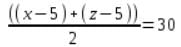
सीता, गीता तथा रीटा की 8 वर्ष पहले औसत आयु 24 वर्ष थी | इसके साथ ही, सीता और रीटा की 5 वर्ष पहले औसत आयु 30 वर्ष थी | तीनों के वर्तमान आयु के योग में गीता की वर्तमान आयु का कितना भाग है?

Detailed Solution for Test: Average (औसत) - 2 - Question 12

मान लो, x, y और z, सीता, गीता तथा रीता की क्रमशः वर्तमान आयु हैं |
प्रश्न के अनुसार:

x + y + z – 24 = 72
x + y + z = 96 --- (1)
साथ ही,

x + z - 10 = 60
x + z = 70
x + z = 70 को समीकरण (1) में रखने पर, हमें प्राप्त होता है
y + 70 = 96
y (गीता की आयु) = 26 वर्ष
अभीष्ट भिन्न = 26/96 = 13/48

Test: Average (औसत) - 2 - Question 13

एक संस्था के 120 सदस्यों की औसत आयु 60.7 वर्ष है। 30 नये सदस्यों के जोड़ने पर, औसत आयु 56.3 वर्ष हो जाती है। नये जुड़ने वाले सदस्यों की औसत आयु (वर्षों में) क्या है?

Detailed Solution for Test: Average (औसत) - 2 - Question 13

नये सदस्यों की औसत आयु  

= 281.5 – 242.8 = 38.7

Test: Average (औसत) - 2 - Question 14

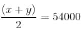
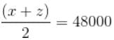
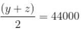
प्रश्न X, Y और Z जैसे तीन एसी के बारे में जानकारी देता है । X और Z का औसत क्रय मूल्य 48,000 रु है, X और Y का औसत क्रय मूल्य 54,000 रु है, और Y और Z का औसत क्रय मूल्य 44,000 रु है । X का वास्तविक क्रय मूल्य Y के वास्तविक क्रय मूल्य का कितना प्रतिशत है?

Detailed Solution for Test: Average (औसत) - 2 - Question 14

मान लो x, y और z क्रमश: X,Y और Z का वास्तविक क्रय मूल्य है ।
दिया गया है,

x + z = 96,000 ----- (1)

इसके अलावा,

x + y = 1,08,000 ---- (2)

और 

y + z = 88,000 ----- (3)

(1), (2) और (3) को जोड़ने पर, हमें मिलता है-
2x + 2y + 2z = 2,92,000
x + y + z = 1,46,000 ---- (4)
(4) से (3) घटाने पर,
x = 58,000 रु
(4) से (1) घटाने पर,
y = 50,000 रु
आवश्यक प्रतिशत =  = 116%

Test: Average (औसत) - 2 - Question 15

9 क्रमागत धनात्मक पूर्णांको का औसत 63 है। महत्तम और न्यूनतम पूर्णांकों का गुणनफल क्या है?

Detailed Solution for Test: Average (औसत) - 2 - Question 15

 

माना कि क्रमागत धनात्मक पूर्णांक हैं,
= x, x + 1, x + 2, x + 3, x + 4, x + 5, x + 6, x + 7, x + 8
प्रश्न के अनुसार,

⇒ 9x + 36 = 63 × 9
⇒ 9(x + 4) = 9(7 × 1)
⇒ x + 4 = 63 
⇒ x = 59
महत्तम संख्या = x + 8 = 59 + 8 = 67
न्यूनतम संख्या x = 67
महत्तम और न्यूनतम संख्या का गुणनफल = 59 × 67
= 3953 

Test: Average (औसत) - 2 - Question 16

100 प्रेक्षणों का समांतर माध्य 24 हैं। उन प्रेक्षणों में प्रत्येक में  6  जोड़ने पर तत्पश्चात प्रत्येक को 2.5 से गुणा करने पर उनका नया समांतर माध्य कितना हो जाएगा?

Detailed Solution for Test: Average (औसत) - 2 - Question 16

नया समांतर माध्य = (24 + 6) x 2.5 = 75

Test: Average (औसत) - 2 - Question 17

16 छात्रों के समूह में, सबसे लंबे छात्र की आयु 16 वर्ष है और सबसे छोटे छात्र की आयु सबसे लंबे छात्र की आयु की (3/4) है। यदि सबसे लंबे और सबसे छोटे छात्रों की आयु को छोड़ दिया जाए, तो 14 छात्रों की औसत आयु, छात्रों की औसत आयु की तुलना में 1 वर्ष कम हो जाती है, जिसमें सबसे छोटे और सबसे लंबे छात्रों को शामिल नहीं किया जाता है। 16 छात्रों की औसत आयु क्या है?

Detailed Solution for Test: Average (औसत) - 2 - Question 17

माना x1, x2, ........, x16; 16 छात्रों की आयु है, जहां क्रमशः X1 और x2 सबसे लंबे और सबसे छोटे छात्रों की आयु है।
x1 = 16 और x2 = 3/4 × 16 = 12

मान लो कि A, 16 छात्रों की औसत आयु है।

(x1 + x2 + x3 + ....... + x16) = 16 A

सबसे लंबे और सबसे छोटे छात्रों की आयु को छोड़कर, हमें प्राप्त होता है-

(x3 + x4 + x5 + ....... + x16) = 16 A - (12 + 16)

(x3 + x4 + x5 + ...... + x16) = 16 A - 28

प्रश्न के अनुसार,

14A = 16A – 14
2A = 14
A = 7
16 छात्रों की औसत आयु = 7 वर्ष

Test: Average (औसत) - 2 - Question 18

बाल दिवस पर 200 बच्चों में मिठाइयां समान रूप से बांटी जानी थी। लेकिन उस दिन 40 बच्चे अनुपस्थित थे; इसलिए प्रत्येक बच्चे को 2 मिठाइयाँ अधिक मिलीं। कितनी मिठाइयां बांटी गई थी?

Detailed Solution for Test: Average (औसत) - 2 - Question 18

माना कि x मिठाइयां बांटी गई थी।

प्रश्न के अनुसार,

−4x = −6400
4x = 6400
x = 1600

Test: Average (औसत) - 2 - Question 19

4 लगातार विषम संख्याओं का औसत 64 है तो सबसे बड़ी संख्या का मान क्या है?

Detailed Solution for Test: Average (औसत) - 2 - Question 19

Short trick: 61, 63,64, 65, 67 (64 के बाद दो क्रमिक विषम संख्या लिखें तथा दो क्रमिक विषम संख्या 64 के पहले लिखें )
बड़ी संख्या = 67
माना क्रमागत विषम संख्याए = x + 1, x + 3, x + 5, x + 7
योग  = x + 1 + x + 3 + x + 5 + x + 7
4x + 16

हम जानते है 
योग = औसत   पदो की संख्या
4x+16 = 64 x 4
4x + 16 = 256
4x = 240
x = 60
आवश्यक संख्या =60+7
आवश्यक संख्या  = 67

Test: Average (औसत) - 2 - Question 20

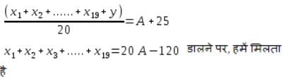
एक बैग के अंदर 20 सेब हैं। जब 120 ग्राम वजन वाले बैग के अंदर सेब में से एक के स्थान पर एक और सेब आता है, तो औसत वजन 25 ग्राम बढ़ जाता है। उस सेब का वजन क्या है जो 120 ग्राम सेब का स्थान लेता है?

Detailed Solution for Test: Average (औसत) - 2 - Question 20

मान लो, बैग के अंदर 20 सेबों का वज़न x1, x2, x3,.....x20 है I
मान लो x20 = 120 ग्राम
मान लो A, 20 सेबों का औसत वज़न है :


x20 = 120 डालने पर, हमें मिलता है

मान लो y नए सेब का वास्तविक वज़न है जो 120 ग्राम वाले सेब का स्थान लेता है I
प्रश्न के अनुसार,

(20A - 120 + y) = 20(A + 25)
20A - 120 + y = 20A + 500
y - 120 = 500
y = 620
इसलिए, 120 ग्राम सेब को बदलने वाले सेब का वजन 620 ग्राम है।

Information about Test: Average (औसत) - 2 Page
In this test you can find the Exam questions for Test: Average (औसत) - 2 solved & explained in the simplest way possible. Besides giving Questions and answers for Test: Average (औसत) - 2, EduRev gives you an ample number of Online tests for practice
Download as PDF