Electronics and Communication Engineering (ECE) Exam  >  Electronics and Communication Engineering (ECE) Questions  >  To which one of the following difference equa... Start Learning for Free
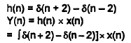
To which one of the following difference equationsthe impulse response,
h(n) = δ(n + 2) - δ(n - 2) corresponds to?
  • a)
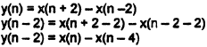
        y(n + 2) = x(n) - x(n - 2)
  • b)
        y(n - 2) = x(n) - x(n - 4)
  • c)
        y(n) = x(n+2) + x(n - 2)
  • d)
        y(n) = -x(n + 2) + x(n - 2)
Correct answer is option 'B'. Can you explain this answer?
Verified Answer
To which one of the following difference equationsthe impulse response...
View all questions of this test
Most Upvoted Answer
To which one of the following difference equationsthe impulse response...
Explanation:

The impulse response, h(n) = (n^2) - (n - 2), corresponds to the difference equation y(n - 2) = x(n) - x(n - 4).

Impulse response:
The impulse response of a system is the output of the system when an impulse input is applied. In this case, h(n) is the impulse response.

Difference equation:
A difference equation describes the relationship between the input and output of a system in discrete-time. It relates the current and past values of the input and output signals. In this case, we are given four difference equations:

a) y(n - 2) = x(n) - x(n - 2)
b) y(n - 2) = x(n) - x(n - 4)
c) y(n) = x(n + 2) - x(n - 2)
d) y(n) = -x(n + 2) - x(n - 2)

We need to determine which of these difference equations corresponds to the given impulse response.

Comparing the impulse response with the difference equations:
To determine the correct difference equation, we can compare the impulse response h(n) with the equation. We will substitute n = 0 into each equation and see which one matches the given impulse response.

a) y(n - 2) = x(n) - x(n - 2):
Substituting n = 0, we get h(-2) = (0^2) - (0 - 2) = -2.

b) y(n - 2) = x(n) - x(n - 4):
Substituting n = 0, we get h(-2) = (0^2) - (0 - 4) = 4.

c) y(n) = x(n + 2) - x(n - 2):
Substituting n = 0, we get h(0) = (0^2) - (0 - 2) = 2.

d) y(n) = -x(n + 2) - x(n - 2):
Substituting n = 0, we get h(0) = -(0^2) - (0 - 2) = -2.

Conclusion:
Comparing the values obtained from the substitution, we see that h(-2) = 4 matches the given impulse response, h(n) = (n^2) - (n - 2). Therefore, the correct difference equation is y(n - 2) = x(n) - x(n - 4), which corresponds to option 'B'.
Explore Courses for Electronics and Communication Engineering (ECE) exam

Top Courses for Electronics and Communication Engineering (ECE)

Question Description
To which one of the following difference equationsthe impulse response,h(n) = δ(n + 2) - δ(n - 2) corresponds to?a) y(n + 2) = x(n) - x(n - 2)b) y(n - 2) = x(n) - x(n - 4)c) y(n) = x(n+2) + x(n - 2)d) y(n) = -x(n + 2) + x(n - 2)Correct answer is option 'B'. Can you explain this answer? for Electronics and Communication Engineering (ECE) 2025 is part of Electronics and Communication Engineering (ECE) preparation. The Question and answers have been prepared according to the Electronics and Communication Engineering (ECE) exam syllabus. Information about To which one of the following difference equationsthe impulse response,h(n) = δ(n + 2) - δ(n - 2) corresponds to?a) y(n + 2) = x(n) - x(n - 2)b) y(n - 2) = x(n) - x(n - 4)c) y(n) = x(n+2) + x(n - 2)d) y(n) = -x(n + 2) + x(n - 2)Correct answer is option 'B'. Can you explain this answer? covers all topics & solutions for Electronics and Communication Engineering (ECE) 2025 Exam. Find important definitions, questions, meanings, examples, exercises and tests below for To which one of the following difference equationsthe impulse response,h(n) = δ(n + 2) - δ(n - 2) corresponds to?a) y(n + 2) = x(n) - x(n - 2)b) y(n - 2) = x(n) - x(n - 4)c) y(n) = x(n+2) + x(n - 2)d) y(n) = -x(n + 2) + x(n - 2)Correct answer is option 'B'. Can you explain this answer?.
Solutions for To which one of the following difference equationsthe impulse response,h(n) = δ(n + 2) - δ(n - 2) corresponds to?a) y(n + 2) = x(n) - x(n - 2)b) y(n - 2) = x(n) - x(n - 4)c) y(n) = x(n+2) + x(n - 2)d) y(n) = -x(n + 2) + x(n - 2)Correct answer is option 'B'. Can you explain this answer? in English & in Hindi are available as part of our courses for Electronics and Communication Engineering (ECE). Download more important topics, notes, lectures and mock test series for Electronics and Communication Engineering (ECE) Exam by signing up for free.
Here you can find the meaning of To which one of the following difference equationsthe impulse response,h(n) = δ(n + 2) - δ(n - 2) corresponds to?a) y(n + 2) = x(n) - x(n - 2)b) y(n - 2) = x(n) - x(n - 4)c) y(n) = x(n+2) + x(n - 2)d) y(n) = -x(n + 2) + x(n - 2)Correct answer is option 'B'. Can you explain this answer? defined & explained in the simplest way possible. Besides giving the explanation of To which one of the following difference equationsthe impulse response,h(n) = δ(n + 2) - δ(n - 2) corresponds to?a) y(n + 2) = x(n) - x(n - 2)b) y(n - 2) = x(n) - x(n - 4)c) y(n) = x(n+2) + x(n - 2)d) y(n) = -x(n + 2) + x(n - 2)Correct answer is option 'B'. Can you explain this answer?, a detailed solution for To which one of the following difference equationsthe impulse response,h(n) = δ(n + 2) - δ(n - 2) corresponds to?a) y(n + 2) = x(n) - x(n - 2)b) y(n - 2) = x(n) - x(n - 4)c) y(n) = x(n+2) + x(n - 2)d) y(n) = -x(n + 2) + x(n - 2)Correct answer is option 'B'. Can you explain this answer? has been provided alongside types of To which one of the following difference equationsthe impulse response,h(n) = δ(n + 2) - δ(n - 2) corresponds to?a) y(n + 2) = x(n) - x(n - 2)b) y(n - 2) = x(n) - x(n - 4)c) y(n) = x(n+2) + x(n - 2)d) y(n) = -x(n + 2) + x(n - 2)Correct answer is option 'B'. Can you explain this answer? theory, EduRev gives you an ample number of questions to practice To which one of the following difference equationsthe impulse response,h(n) = δ(n + 2) - δ(n - 2) corresponds to?a) y(n + 2) = x(n) - x(n - 2)b) y(n - 2) = x(n) - x(n - 4)c) y(n) = x(n+2) + x(n - 2)d) y(n) = -x(n + 2) + x(n - 2)Correct answer is option 'B'. Can you explain this answer? tests, examples and also practice Electronics and Communication Engineering (ECE) tests.
Explore Courses for Electronics and Communication Engineering (ECE) exam

Top Courses for Electronics and Communication Engineering (ECE)

Explore Courses
Signup for Free!
Signup to see your scores go up within 7 days! Learn & Practice with 1000+ FREE Notes, Videos & Tests.
10M+ students study on EduRev