N2O5 decomposes to NO2 and O2 and follows first order kinetics. After ...
2N
2O
5 → 4NO
2 + O
2p − 2x - 4x - x
pt = p − 2x + 4x + x
pt = p + 3x

at t = 0, pt = p = 50 mmHg
at t = 50 mm, pt = 87.5 mmHg
p + 3x = 87.5
p = 87.5 − 3x
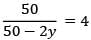
50 = 87.5 − 3x
12.5 = x

p − 2x = 50 − 2(12.5) = 25

Since K will remain same


50 = 50 × 4 − 8y
50 = 200 − 8y
8y = 150
y = 18.75
pt = p + 3y
= 50 + 3 (18.73) = 106.25 mmHg
N2O5 decomposes to NO2 and O2 and follows first order kinetics. After ...
Given: N2O5 → NO2 + O2 (first order kinetics)
After 50 minutes:
Initial pressure (P1) = 50 mmHg
Final pressure (P2) = 87.5 mmHg
To find: Pressure after 100 minutes
Concept Used:
The rate of a first-order reaction is directly proportional to the concentration of the reactant. The rate constant (k) is a measure of the reaction rate.
Mathematically, we can write:
k = 2.303/t log (P1/P2)
Where,
t = time taken for pressure change
P1 = initial pressure
P2 = final pressure
Calculation:
Given, t = 50 minutes, P1 = 50 mmHg, P2 = 87.5 mmHg
k = 2.303/50 log (50/87.5) = 0.0082 min^-1
Using the first-order rate equation:
ln (N2O5) = -kt + ln (N2O5)0
Where,
N2O5 = concentration of N2O5 at time t
N2O5)0 = initial concentration of N2O5
At t = 50 minutes,
ln (N2O5) = -0.0082 × 50 + ln (N2O5)0
ln (N2O5)0 = ln (N2O5) + 0.0082 × 50
At t = 100 minutes,
ln (N2O5) = -0.0082 × 100 + ln (N2O5)0
ln (N2O5) = -0.0082 × 100 + ln (N2O5) + 0.0082 × 50
ln (N2O5) = ln (N2O5) + 0.0082 × 50 - 0.0082 × 100
ln (N2O5) = ln (N2O5) - 0.0082 × 50
ln (N2O5) = ln (N2O5)0
Therefore, the concentration of N2O5 at 100 minutes is the same as the initial concentration.
The pressure of the gaseous mixture is proportional to the concentration of N2O5, NO2, and O2. Since the concentration of N2O5 remains constant, the pressure of the gaseous mixture remains constant as well.
Therefore, the pressure after 100 minutes = P2 = 87.5 mmHg.
Hence, the correct option is (a) 106.25 mmHg.