JEE Exam  >  JEE Questions  >  If x1 , x2 … . , xn and 1/h1,1/h2........ Start Learning for Free
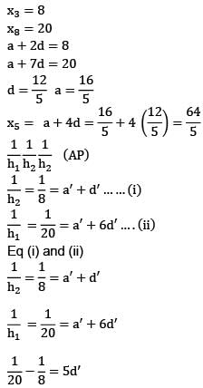
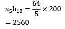
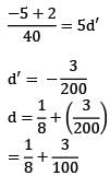
If x1 , x2 … . , xn and 1/h1, 1/h......1/hare two A. P. s such that x3 = h2 = 8 and x8 = h7 = 20 , then x5 . h10 equals: 
  • a)
    2650
  • b)
    2560
  • c)
    3200
  • d)
    1600
Correct answer is option 'B'. Can you explain this answer?
Verified Answer
If x1 , x2 … . , xn and 1/h1,1/h2......1/hnare two A. P. s such...



View all questions of this test
Most Upvoted Answer
If x1 , x2 … . , xn and 1/h1,1/h2......1/hnare two A. P. s such...



Free Test
Community Answer
If x1 , x2 … . , xn and 1/h1,1/h2......1/hnare two A. P. s such...
Explore Courses for JEE exam
Question Description
If x1 , x2 … . , xn and 1/h1,1/h2......1/hnare two A. P. s such that x3 = h2 = 8 and x8 = h7 = 20 , thenx5 . h10 equals:a)2650b)2560c)3200d)1600Correct answer is option 'B'. Can you explain this answer? for JEE 2025 is part of JEE preparation. The Question and answers have been prepared according to the JEE exam syllabus. Information about If x1 , x2 … . , xn and 1/h1,1/h2......1/hnare two A. P. s such that x3 = h2 = 8 and x8 = h7 = 20 , thenx5 . h10 equals:a)2650b)2560c)3200d)1600Correct answer is option 'B'. Can you explain this answer? covers all topics & solutions for JEE 2025 Exam. Find important definitions, questions, meanings, examples, exercises and tests below for If x1 , x2 … . , xn and 1/h1,1/h2......1/hnare two A. P. s such that x3 = h2 = 8 and x8 = h7 = 20 , thenx5 . h10 equals:a)2650b)2560c)3200d)1600Correct answer is option 'B'. Can you explain this answer?.
Solutions for If x1 , x2 … . , xn and 1/h1,1/h2......1/hnare two A. P. s such that x3 = h2 = 8 and x8 = h7 = 20 , thenx5 . h10 equals:a)2650b)2560c)3200d)1600Correct answer is option 'B'. Can you explain this answer? in English & in Hindi are available as part of our courses for JEE. Download more important topics, notes, lectures and mock test series for JEE Exam by signing up for free.
Here you can find the meaning of If x1 , x2 … . , xn and 1/h1,1/h2......1/hnare two A. P. s such that x3 = h2 = 8 and x8 = h7 = 20 , thenx5 . h10 equals:a)2650b)2560c)3200d)1600Correct answer is option 'B'. Can you explain this answer? defined & explained in the simplest way possible. Besides giving the explanation of If x1 , x2 … . , xn and 1/h1,1/h2......1/hnare two A. P. s such that x3 = h2 = 8 and x8 = h7 = 20 , thenx5 . h10 equals:a)2650b)2560c)3200d)1600Correct answer is option 'B'. Can you explain this answer?, a detailed solution for If x1 , x2 … . , xn and 1/h1,1/h2......1/hnare two A. P. s such that x3 = h2 = 8 and x8 = h7 = 20 , thenx5 . h10 equals:a)2650b)2560c)3200d)1600Correct answer is option 'B'. Can you explain this answer? has been provided alongside types of If x1 , x2 … . , xn and 1/h1,1/h2......1/hnare two A. P. s such that x3 = h2 = 8 and x8 = h7 = 20 , thenx5 . h10 equals:a)2650b)2560c)3200d)1600Correct answer is option 'B'. Can you explain this answer? theory, EduRev gives you an ample number of questions to practice If x1 , x2 … . , xn and 1/h1,1/h2......1/hnare two A. P. s such that x3 = h2 = 8 and x8 = h7 = 20 , thenx5 . h10 equals:a)2650b)2560c)3200d)1600Correct answer is option 'B'. Can you explain this answer? tests, examples and also practice JEE tests.
Explore Courses for JEE exam

Top Courses for JEE

Explore Courses
Signup for Free!
Signup to see your scores go up within 7 days! Learn & Practice with 1000+ FREE Notes, Videos & Tests.
10M+ students study on EduRev